Abstract
The molecular imprinting technique is a new method for preparing molecularly imprinted polymers (MIPs) with specific molecular recognition sites for individual target molecules. In this study, Ag2S-MIP-TiO2 nanocomposite was synthesized by a sol-gel-deposition method with ethyl p-hydroxybenzoate as an imprinting molecule. The obtained powder was characterized by XRD and other analytical methods. The results show that the obtained Ag2S-MIP-TiO2 nanocomposite demonstrates better catalytic performance than pure anatase TiO2. The degradation efficiency of ethyl p-hydroxybenzoate during 1.5 h of the photocatalytic reaction is 92.22%, which is 42% higher than pure TiO2. The selectivity factor for the treatment of ethyl p-hydroxybenzoate compared to phenol using Ag2S-MIP-TiO2 reached 3.571, which is 72% higher than pure TiO2.
Similar content being viewed by others
Introduction
Ethyl p-hydroxybenzoate (E-pHB) is widely used in the preservation of food and cosmetics for its antibacterial property, where it prevents microbial growth. Owing to broader usage of E-pHB, it has recently been detected in wastewater effluent. E-pHB is found resulting in long-term pollution to water environment, due to the difficulty of degradation1. Nano-TiO2 is environmentally friendly in removing E-pHB photocatalytically, however, the extent of degradation with TiO2 requires improvements by modification2,3,4,5.
Molecular imprinting technology is a technique for obtaining Molecular Imprinted Polymers (MIPs) which creates the same spatial structure and binding site and perfectly matches the target molecule6. Dickey first proposed the term “molecular imprinting” in 19497. The German Wulff research team first synthesized highly selective MIPs in 1972, making molecular imprinting technology a research hotspot8. Deng et al. successfully synthesized MIP-PPy/TiO2 by a sol-gel method where methyl orange was employed as a template molecule9. The first-order k value of the molecularly imprinted TiO2 for the degradation of methyl orange was 2.3 times higher compared to pure TiO2. Wei Shengpei et al. used surface molecular imprinting technique to prepare nitrogen-doped TiO2 molecularly imprinted polymer10. It was found that nitrogen doping can cause a red shift of the light absorption band of the material with good selectivity. Thus, combining molecular imprinting technology with nano-TiO2 can significantly improve the photocatalytic activity of pure TiO2, thereby enhancing its capability of treating wastewater selectively11,12.
Silver sulfide (Ag2S) is another narrow band semiconductor material with broad application prospects in multiple fields as antibacterial/microbial agent and photocatalysis13,14. In this study, Ag2S as a hybrid material was added to MIP-TiO2 to improve its photocatalytic activity and to treat wastewater selectively. Overall, this investigation provided a new strategy for the preparation of traditional sol-gel based TiO2 photocatalytic materials to increase the selectivity and photocatalytic activity of TiO2 significantly.
Results and Discussion
XPS and XRD characterization
The full spectrum of XPS on TiO2 and Ag2S-MIP-TiO2 samples are shown in Fig. 1(a). The peak positions of TiO2 correspond to the orbits of O1s, Ti2p, and C1. The characteristic peaks of Ag and S elements appeared in the spectrum of Ag2S-MIP-TiO2, which are derived from the doping of silver nitrate and thiourea. The shape of the peak of Ag2S-MIP-TiO2 is more than the absorption peak of Ag and S as compared to pure TiO2, indicating that silver and sulfur element are successfully doped into Ag2S-MIP-TiO2. It can be seen from Table 1 that a considerable amount of carbon element appears in the XPS spectrum of the two catalysts, which is due to the artificial addition for the calibration of the instrument during the test. The area ratio of Ti:Ag:S of Ag2S-MIP-TiO2 is 1:0.23:0.02, and the atomic ratio is 1:0.06:0.07, which is the same as that of the doping ratio, but the ratio of silver and sulfur element is too large. This might be due to the increase in the error caused by the sample itself and the excessive doping of Ag and S. It can be seen from Table 1 that the atomic ratio of Ti:O is 2.1:1, indicating that the main component is TiO2.
Ag2S can be obtained by the chemical reaction of thiourea and silver nitrate. In this study, the effect of nitrogen element in thiourea is neglected as in the gel drying and calcination stage, 1% of nitrogen element is extremely volatile so that the catalyst synthesized is a Ag2S-MIP-TiO2. The main reactions involved are as follows:
Figure 2(e) shows the XRD patterns of TiO2, MIP-TiO2, Ag2S-TiO2, and Ag2S-MIP-TiO2 samples. The four samples demonstrated strong diffraction peaks at 25.281°, 37.8°, and 48.049°, which correspond to the crystal planes of (1-0-1), (0-0-4), (2-0-0), etc. of the standard diffraction card of anatase TiO2 (PDF#21-1272). No characteristic peaks from the (2-1-1) crystal plane of brookite and (1-1-0) crystal plane of rutile indicated the presence of anatase crystals. The characteristic peak of (1-1-0) crystal plane of Ag2S was noted at 25.726°, which was covered by strong diffraction peaks in the vicinity of (1-0-1) crystal plane of anatase TiO2 at 25.281°. Therefore, the addition of Ag2S did not affect the crystallization of TiO2. The average particle diameters of TiO2, MIP-TiO2, Ag2S-TiO2, and Ag2S-MIP-TiO2 were determined by X-ray diffraction line width method (Scherrer formula) as 16.7, 16.1, 15.5, and 15.4 nm respectively15. It indicates that the addition of Ag2S or imprinted molecules could reduce the particle size of TiO2. TiO2 with a particle size of less than approximately 25 nm has a significant quantum size effect so that Ag2S-MIP-TiO2 can provide better photocatalytic activity16.
UV-Vis characterization
As shown in Fig. 1(d), the absorption of ultraviolet light by MIP-TiO2, Ag2S-TiO2, and Ag2S-MIP-TiO2 is reduced as compared to TiO2, and the utilization of ultraviolet light is lowered, which reduce the activity of the materials. The absorption of Ag2S at 400–700 nm indicates the ability of Ag2S to absorb the visible light. The band structure of catalyst was investigated by the direct bandgap semiconductor light absorption edge equation as shown below17.
Where α is the value of light absorption (abs), Hv is the incident light energy (eV), A and Eg are constants, and Eg represents the forbidden bandwidth (eV).
Figure 1(d) was obtained using UV-vis data and Eq. 5. A linear fit was performed with the data around 3.2 eV, and the intercept of the transverse axis of different fitted lines was obtained as the indirect forbidden band width of the powder. As shown in Table 2, the forbidden bandwidths of TiO2, MIP-TiO2, Ag2S-TiO2, Ag2S-MIP-TiO2, and Ag2S, in turn, decreased from 3.2 to 2.28 eV. This suggested that the addition of Ag2S reduced the forbidden bandwidth of Ag2S-TiO2 and Ag2S-MIP-TiO2, which formed a new energy level enabling the capturing of ultraviolet light with lower energy.
As the size of the crystallites of semiconductor TiO2 was reduced to a certain extent, the electron energy level near the Fermi level changes from quasi-continuous to splitting energy level, which makes the energy gap of the material wider. As the particle size of TiO2 decreases, the bandgap becomes wider. In the UV-Vis, the absorption peak can be seen to move in the short wavelength direction, i.e., the blue shift phenomenon. The presence of enabling level is reduced, when the electron confinement moves in a small volume, the particle size is reduced such that the electron wave function overlaps, there is an additional energy level such that the energy level spacing of the electron transition is reduced, the external force enabling gap is reduced, or there are vacancy and impurities. The reduction of the enabling level can cause the absorption peak to move toward the long wavelength, i.e., the red shift phenomenon on the UV-Vis. The blue and red shifts can also be explained by the following Eq. 618:
where, E(r) represents an absorption bandgap, Eg is a constant, r is the radius of the particle, μ represents the reduced mass of the particles, e represents the energy of the electron and ERy* indicates the effective Rydberg quantity.
The second item, (π2h2)/(2μr2), represents the amount of blue shift, and the third item, (1.78e2)/(εr), represents the amount of red shift. It can be noted that the interaction of the two causes the blue or red shift of the absorption peak on UV-Vis. When the amount of blue shift is higher than the red shift, it is possible to make the absorption peak as blue shift. Therefore, with the introduction of Ag2S, the phenomenon of the red shift may not also be observed.
FT-IR characterization
Figure 1(b) shows the FT-IR spectra of TiO2 and Ag2S-MIP-TiO2, which exhibit absorption peaks around 1100 and 3700 cm−1. The absorption peak near 1190 cm−1 could be ascribed to the bending vibration of the O-H bond of the crystal water19. The peak around 3700 cm−1 is due to the free hydroxyl group. Due to MIP, the light absorption intensity of Ag2S-MIP-TiO2 at 3700 cm−1 became stronger, demonstrating that MIP assists the catalyst in forming stronger intermolecular forces with target contaminating molecules. In this figure, no absorption peak could be noted between 1750 and 1735 cm−1 arising from -C=O-, as well as an absorption peak of benzene ring skeleton between 1625 and 1450 cm−1, indicating that the imprinted molecule is completely eluted. After complete elution, the template molecule left the imprinted cavity on Ag2S-MIP-TiO2, which increased its ability to adsorb and identify target contaminants selectively, making TiO2 have higher catalytic activity and selective ability to remove E-pHB.
SEM and TEM observations
As shown in Fig. 2(a–d), the morphology of all four samples show a specific size in the nm range, which confirm that the solution could render the Tyndall effect in the precursor phase20. It could be seen from Fig. 2(a) that TiO2 is well dispersed. The addition of Ag2S allows particles to disperse better (Fig. 2(c)), and when compare to pure TiO2 particles, they are smaller in size. Bubble-like nanoholes could be noted in some parts of the SEM image of Ag2S-MIP-TiO2 which may be due to the easy agglomeration of Ag2S21, leading to the agglomeration of imprinted molecules, and leaving an imprinted cavity of nanoscale after elution at high temperatures. In summary, the porous structure of Ag2S-MIP-TiO2 making it lighter in density and weight, and is more capable of capturing target contaminants.
Figure 2(e,f) shows the TEM images of the four samples. From the left side of the image, it could be noted that the crystal surfaces of all four samples are blurred and do not show any apparent isotropic growth states. The lattice stripes on the right side are clear and tidy, indicating the presence of a reasonable degree of crystallization. The grain sizes of TiO2, MIP-TiO2, Ag2S-TiO2, and Ag2S-MIP-TiO2 were estimated to be 19–29 nm, 18–34 nm, 13–24 nm, and 13–25 nm, respectively using ImageJ software. The lattice spacing of TiO2, MIP-TiO2, Ag2S-TiO2, and Ag2S-MIP-TiO2 are 0.33 nm, 0.31 nm, 0.27 nm, and 0.25 nm, respectively. The pitch corresponds to the pitch of the (101) crystal plane of the main diffraction peak. It can be seen that the addition of Ag2S causes TiO2 photocatalyst to have a reduced grain size with better crystallinity.
BET characterization
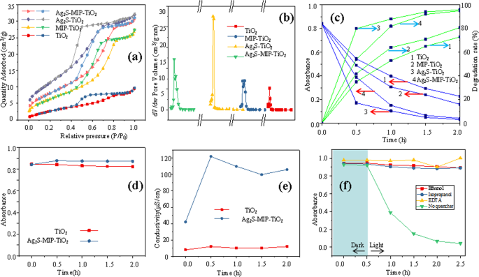
Figure 3(a) shows the N2 adsorption-desorption curve and pore size distribution of different catalysts. The four powders demonstrated distinct adsorption of H3 hysteresis loopback, which proved the existence of mesopores22. According to IUPAC’s definition of mesoporous materials, the four materials revealed adsorption hysteresis loops at a relative pressure between 0.4 and 0.8, which is consistent with the Langmuir IV curve, indicating that the materials are mesoporous adsorbents. As shown in Fig. 3(b), the pore sizes of the four materials are similar, ranging from 2 to 20 nm, which is consistent with the mesoporous nature of the material. The specific surface areas of TiO2, MIP-TiO2, Ag2S-TiO2, and Ag2S-MIP-TiO2 were 9.75, 24.79, 39.80, and 28.93 m2/g, respectively; and the average pore diameters were 3.92, 5.69, 3.56, and 4.51 nm, respectively. The following equation 7 was used to investigate the effect of specific surface area on the catalytic activity23.
Where Σ is the surface atomic fraction of a solid, surface effect; S is the specific surface area (m2/g), and ρ0 is the skeletal density (g/cm³), where all the four samples were considered to be 1 g/cm³, δ is the atomic spacing (nm), which is replaced by the average lattice spacing for the ease of comparison.
By comparing all four powders, it could be noted that the larger the specific surface area, the stronger the surface effect. The specific surface area of Ag2S-MIP-TiO2 is 2.97 times higher as compared to TiO2, and the surface effect is 2.25 times higher as compared to TiO2. The surface effect of Ag2S-TiO2 was observed to be the strongest, indicating that the smaller the grain size, the higher the surface energy and the stronger the photocatalytic activity, which is consistent with the results of XRD analysis. Since Ag2S-MIP-TiO2 showed smaller particle size than TiO2, it has more atoms on the surface and larger specific surface area, which improved the ability of Ag2S-MIP-TiO2 to capture pollutant molecules, thereby enhanced the photocatalytic ability to degrade organic matter.
Analysis of photocatalytic degradation
As shown in Fig. 3(c), Ag2S-MIP-TiO2 and Ag2S-TiO2 demonstrate noticeable degradation effects on E-pHB, and the absorbance dropped within the first 30 min. The degradation effect increased with an increase in the illumination time, and the degradation rate could reach about 90% at 1 h after the reaction started, which is much higher than the degradation effect of MIP-TiO2 and TiO2. It indicates that Ag2S-MIP-TiO2 has a higher capability to degrade E-pHB and hence a higher catalytic activity. In Fig. 3(c), the photocatalytic performance of Ag2S-MIP-TiO2 is lower than Ag2S-TiO2. This may be due to the elution of the imprinted template molecules when MIP-TiO2 is prepared, which causes the catalyst itself to be polluting and is not conducive to rapid dispose of targeted pollutant wastewater. Molecular imprinting may hinder the process of light absorption of TiO2, thereby reducing the photocatalytic activity of MIP-TiO2 greatly. The selectivity and activity of MIP-TiO2 may interact with each other, sometimes increasing the selectivity of TiO2 but reducing its catalytic activity.
The reason for the selection of phenol is that both the structure of phenol and ethyl p-hydroxybenzoate possesses a benzene ring and a hydroxyl group on the benzene ring. The comparison of similar contaminants more reasonably reflects the selectivity, and thus phenol was used for selective studies. The selectivity factor of the target photo contaminant by the imprinted photocatalyst was obtained by analyzing the kinetic parameters of the degradation reaction24. As shown in Table 3, the selectivity factor, α of Ag2S-MIP-TiO2 is 3.571, which is 1.73 times compared to MIP-TiO2. It could be seen that the addition of Ag2S improved the photocatalytic activity and selectivity of MIP-TiO2. This could be due to the contribution of Ag2S to a certain partial agglomeration on the dispersion of the imprinted molecules in the precursor stage of TiO2, which formed a partially dispersed nano-imprinted cavity, and provided a binding site for the interaction with target contaminants. These binding sites adsorb and encapsulate target contaminants in the nanoscale imprinted cavity. Hence, the selectivity of Ag2S-MIP-TiO2 was improved.
From Fig. 4, the two absorption peaks of E-pHB could be observed at 213 nm and 256 nm, which correspond to the characteristic absorption peaks of –OH and –COOC3H7 groups on the benzene ring, respectively. When E-pHB was treated, the rate of decrease in the absorbance of the stock solution at the wavelength of 213 nm is much lower than the rate of decrease in the absorbance at 256 nm, confirming that in the degradation of E-pHB by Ag2S-MIP-TiO2, the –OH group were degraded followed by the –COOC3H7 group.
To distinguish the main active substances of the reaction, an active material quenching experiment was carried out. Both isopropanol and ethanol are quenchers of •OH, which have a reaction rate constant of 1.9 × 109 with •OH25,26,27, while ethylenediaminetetraacetic acid (EDTA) is a widely accepted capturing agent for holes28. 0.1 mol·L−1 of ethanol, isopropanol, and EDTA were added to the reaction solution to quench the hydroxyl radicals and photogenerated hole, which might be generated by the photocatalytic reaction. Figure 3(f) reflects the absorbance versus time curve of the reaction solution of Ag2S-MIP-TiO2 under each control experiment. It could be seen from this figure that in the reaction solution with ethanol, isopropanol, and EDTA, the residual ratio of ethyl p-hydroxybenzoate is above 90%, indicating that both hydroxyl radicals and holes demonstrate a significant influence on the photocatalytic reaction.
The mechanism of the photocatalytic degradation of organic pollutants by Ag2S-MIP-TiO2 is shown in Fig. 5(b). Under the irradiation of the ultraviolet light source, Ag2S generates photo-generated carriers, and MIP-TiO2 could identify the target pollutants selectively. The synergistic effect of the two catalysts causes increased electron transport efficiency of Ag2S-MIP-TiO2 and the recombination efficiency of electrons and holes decreased. Further, •OH was generated from the photogenerated carriers, and the organic matter was finally oxidized to CO2 and H2O29,30.
Adsorption and conductivity analysis
To investigate the adsorption performance of the material, an isotherm adsorption experiment under dark conditions was carried out before the photocatalytic reaction. The obtained results are shown in Fig. 3(d), and it could be noted that pure TiO2 and Ag2S-MIP-TiO2 reached the adsorption equilibrium after 30 min, and the dark adsorption effect was poor, and even negative adsorption occurred. This could be due to the weak adsorption performance of the catalyst, and a small amount of soluble impurities lead to the increase of absorbance. An excessive adsorption performance might result in the catalyst being encapsulated by organic matter, which is not conducive to the continuous reaction. The weak and rapid adsorption performance was beneficial to the continuous and efficient photocatalytic reaction of the catalyst. Under the constant conditions of reaction pH and temperature, the physical adsorption and chemisorption of E-pHB by pure TiO2 and Ag2S-MIP-TiO2 were not strong, and the adsorption effect was negligible so that the dark adsorption experiment was not carried out subsequently.
To examine the overall changes of the photocatalytic reaction system, the change in the conductivity of the reaction system was monitored before and after the photocatalytic reaction. The obtained results are shown in Fig. 3(e). The conductivity of TiO2 and Ag2S-TiO2 mixed with the reaction solution was 10 and 42 μS/cm, respectively, indicating that the addition of Ag2S increased the conductivity of the reaction system. After 0.5 h of photoreaction, the conductivity of Ag2S-TiO2 reaction solution increased to 120 μS/cm and stabilized gradually, while the conductivity of TiO2 reaction solution always changed smoothly. In the reaction solution, only Ag2S-TiO2, water, and very little E-pHB were added; these substances did not affect changing the conductivity directly within 0.5 h of photoreaction. It indicates that a large amount of conductive materials was formed in the reaction solution within 0.5 h of photoreaction. The photogenerated carriers and ·OH generated by photoreaction increased the conductivity of the reaction solution. Since the amount of catalyst was constant, the subsequent conductivity was stabilized gradually. The conductivity of Ag2S-TiO2 reaction solution was higher than that of pure TiO2 reaction solution, indicating that the addition of Ag2S could change the conductivity of the photocatalytic reaction solution, thereby increasing the transfer rate of photogenerated carriers.
Recyclability study
Figure 5(a) displays the recovery times with the corresponding degradation rate of 2 h. After four recovery cycles, the degradation rate of pollutants gradually decreased, but the rate remained above 80%. Compared with the recovery rate of pure TiO2 under the same conditions, the degradation rate of Ag2S-MIP-TiO2 powder was always higher than pure TiO2, and its declining rate was always lower than pure TiO2. This revealed that Ag2S-MIP-TiO2 powder not only had higher photocatalytic activity, but also had excellent recyclability, and its relative recycle rate to pure TiO2 was enhanced. Moreover, higher recyclability not only reflected the nature of Ag2S-MIP-TiO2 as a catalyst but also showed that Ag2S-MIP-TiO2 was chemically stable.
In conclusion, a nanocomposite of Ag2S-MIP-TiO2 was synthesized using the sol-gel technique. The photocatalyst was observed to be anatase with good crystallinity and showed obvious quantum size effect. The Ag2S-MIP-TiO2 composite demonstrated better photocatalytic effect than TiO2, as it introduced a new impurity level from Ag2S to TiO2. The new impurity level reduced the crystal size of TiO2, reduced the forbidden bandwidth, and became conducive to the transition of electrons. Hence, the application of Ag2S could reduce the energy required for electronic transitions, which led to the improvement of the photocatalytic effect of TiO2. The Incorporation of Ag2S into MIP-TiO2 increased the active binding sites of TiO2, causing an increase in the target pollutant molecules, thereby increasing the photocatalytic activity and selectivity factors. It was observed that the activity of Ag2S-MIP-TiO2 compared to TiO2 increased by about 30% with an improvement in the selectivity factor by 1.73 for MIP-TiO2. This study explored the effect of the conductivity of molecularly imprinted polymers on the photocatalytic behavior innovatively, and also Ag2S-TiO2 composite molecularly imprinted polymer was successfully prepared with high selectivity and high photocatalytic activity. Overall, this study provides a new method of water treatment and for the synthesis of high-efficiency photocatalytic materials.
Methods
Preparation of catalysts
As shown in Fig. 6, each powder was synthesized from the liquids using three beakers, A, B, and C. MIP indicates E-pHB (target imprinted molecule) being added. Taking the synthesis method of Ag2S-MIP-TiO2 as an example, an appropriate 20 ml of n-tetrabutyl titanate, 1.954 g of E-pHB, and 10 ml of glacial acetic acid were dissolved in 40 ml of absolute ethanol and stirred to form solution A. A mixture of 20 ml of absolute ethanol and 0.1311 g of thiourea was stirred uniformly to form solution B. An appropriate amount of deionized water, 20 ml of absolute ethanol, and 0.994 g of silver nitrate was stirred to obtain solution C. The solution C was then charged into the dropping funnel, and mixed with solution A under vigorous stirring in controlled conditions. The solution B was then added dropwise to the solution A under vigorous stirring for 2 h. Following this, the solution was maintained at a constant temperature and kept away from light for 2 days and oven-dried to obtain crystals. The obtained crystals were then ground into a powder using a mortar and hen kept in a muffle furnace for 1 h, as the furnace was heated at 3 °C/min until 200 °C, and followed by 500 °C for 2 h to form the Ag2S-MIP-TiO2 photocatalyst.
Characterization of the catalyst
The elemental composition of the sample was analyzed by X-ray photoelectron spectroscopy (XPS, USA, EscaLab 250Xi, Thermo Fisher Scientific). The catalyst was subjected to UV-Visible diffuse reflectance spectroscopy (UV-Vis, Hitachi, model U-3900). The composition of the sample was analyzed by Fourier transform infrared spectrometer (FI-IR, FT-IR650, Shimadzu Corporation, Japan). The crystal phase of the sample was analyzed by Xrertpro X-ray diffractometer (XRD, PANalytical B. V., Netherlands). The morphology and particle size of the samples were observed using scanning electron microscopy (SEM, S4800N, Hitachi, Japan) and transmission electron microscope (TEM, FEI Tecnai G2 F20 S-TWIN, USA).
Photocatalytic experiment
Using the changes in absorbance and concentration, the removal rates could be obtained using Beer-Lambert’s law, and the selectivity factor could be obtained based on the change in the reaction kinetic parameters. 3 g/L of TiO2, MIP-TiO2, Ag2S-TiO2, and Ag2S-MIP-TiO2 were added to 70 ml E-pHB (10 mg/L) and 70 ml phenol solution (10 mg/L) in quartz glass test tubes in sequence. The reaction solution was irradiated with a 500 W mercury lamp which was used as an ultraviolet light source. The sample was taken at intervals of 30 min. After the solution was centrifuged for 10 min, the supernatant was taken in a clean and dry quartz cuvette, and the absorbance of the supernatant was measured using UV-Vis spectrophotometer. The absorbance of E-pHB and phenol was measured at 256 nm and 213 nm, respectively.
Adsorption performance and conductivity study
Isothermal adsorption experiments were carried out at 30 °C and a stirring rate of 150 r/min by adding respectively 3 g/L of TiO2 and Ag2S-MIP-TiO2 to 70 ml E-pHB solution (10 mg/L). TiO2 and Ag2S-TiO2 were added to E-pHB solution in the same way as above. After mixing evenly, the photocatalytic reaction was carried out under ultraviolet light. The TDS value of the reaction solution was measured by TDS pen at intervals of 30 min and converted into conductivity. The changes in the conductivity of the reaction solution were investigated during the photocatalytic reaction.
Recyclability study
To carry out ultraviolet photocatalytic reaction, an appropriate amount of Ag2S-MIP-TiO2 and TiO2 powder were added to E-pHB solution in the same method as mentioned above. After the reaction, the waste liquid was centrifuged for 10 min, and the supernatant was discarded. The obtained powder was washed three times each with absolute ethanol and deionized water. The turbid bottom liquid was poured into a cuvette and placed in an oven at 120 °C for 2 h. The recovered powder was then added to a quartz glass tube in the same amount, 3 g/L, to carry out the photocatalytic experiment, and the absorbance was measured twice an hour at the intervals of 30 min.
Data availability
The datasets generated the current study are available from the corresponding author on reasonable request.
References
Di Giovannandrea, R. et al. Determination of ethyl-p-hydroxybenzoate in sow pancreatic juice by reversed-phase high-performance liquid chromatography. Journal of Chromatography B: Biomedical Sciences and Applications 751(2), 365–369 (2001).
Vinodgopal, K., Darrel, E. W. & Prashant, V. K. Environmental photochemistry on semiconductor surfaces: photosensitized degradation of a textile azo dye, acid orange 7, on TiO2 particles using visible light. Environmental Science & Technology 30(5), 1660–1666 (1996).
Chen, H. et al. Facile biphasic synthesis of TiO2–MnO2 nanocomposites for photocatalysis. Ceramics International 42(16), 19425–19428 (2016).
Luttrell, T. et al. Why is anatase a better photocatalyst than rutile?-Model studies on epitaxial TiO2 films. Scientific reports 4, 4043 (2014).
Ohno, T., Mitsui, T. & Matsumura, M. Photocatalytic activity of S-doped TiO2 photocatalyst under visible light. Chemistry letters 32(4), 364–365 (2003).
Shen, X. et al. Synthesis of molecular imprinted polymer coated photocatalysts with high selectivity. Chemical Communications 11, 1163–1165 (2007).
Dickey, F. H. The preparation of specific adsorbents. Proceedings of the National Academy of Sciences of the United States of America 35(5), 227 (1949).
Wulff, G., Sarhan, A. & Zabrocki, K. Enzyme-analogue built polymers and their use for the resolution of racemates. Tetrahedron Letters 14(44), 4329–4332 (1973).
Deng, F. et al. Preparation of conductive polypyrrole/TiO2 nanocomposite via surface molecular imprinting technique and its photocatalytic activity under simulated solar light irradiation. Colloids and Surfaces A: Physicochemical and Engineering Aspects 395, 183–189 (2012).
Wei, S., An, Y., Zhang, Y., Tian, J. & Qin, H. Selective Photodegradation of Nitrogen Doped TiO2 Molecularly Imprinted Polymer under Visible Ligh. Environmental Science & Technology 40(10), 36–42 (2017). (In Chinese).
Zhu, L. et al. Evaluation of photocatalytic selectivity of Ag/Zn modified molecularly imprinted TiO2 by multiwavelength measurement. Science of The Total Environment 703, 134732 (2020).
Li, H. et al. Surface imprinting on nano-TiO2 as sacrificial material for the preparation of hollow chlorogenic acid imprinted polymer and its recognition behavior. Applied Surface Science 264, 644–652 (2013).
Yang, W. et al. Microwave‐assisted synthesis of porous Ag2S–Ag hybrid nanotubes with high visible‐light photocatalytic activity. Angewandte Chemie International Edition 51(46), 11501–11504 (2012).
Xie, Y. et al. Ag2S quantum dots-sensitized TiO2 nanotube array photoelectrodes. Materials Science and Engineering: B177(1), 106–111 (2012).
Zenoozi, S. et al. Verification of Scherrer formula for well-shaped poly (3-hexylthiophene)-based conductive single crystals and nanofibers and fabrication of photovoltaic devices from thin film coating. Macromolecular Research 25(8), 826–840 (2017).
Almquist, C. B. & Biswas, P. Role of synthesis method and particle size of nanostructured TiO2 on its photoactivity. Journal of Catalysis 212(2), 145–156 (2002).
Vendange, V. & Colomban, P. Elaboration and thermal stability of (alumina, aluminosilicate/iron, cobalt, nickel) magnetic nanocomposites prepared through a sol-gel route. Materials Science and Engineering: A 168(2), 199–203 (1993).
Nanda, K. K. et al. Effective mass approximation for two extreme semiconductors: Band gap of PbS and CuBr nanoparticles. Journal of applied physics 95(9), 5035–5041 (2004).
Jiang, D. et al. Double-shell Fe2O3 hollow box-like structure for enhanced photo-Fenton degradation of malachite green dye. Journal of Physics and Chemistry of Solids 112, 209–215 (2018).
Hirsch, R. J., Narurkar, V. & Carruthers, J. Management of injected hyaluronic acid induced Tyndall effects. Lasers in Surgery and Medicine: The Official Journal of the American Society for Laser Medicine and Surgery 38(3), 202–204 (2006).
Zhu, L. et al. Hydrothermal synthesis of porous Ag2S sensitized TiO2 catalysts and their photocatalytic activities in the visible light range. Chinese Journal of Catalysis 33(2-3), 254–260 (2012).
Hiemenz, P. Principles of colloid and surface chemisty. M. Dekker.
Zhang, L., Mou, J. Nanomaterials and nanostructures. Science Press: 431–433.
Sharabi, D. & Yaron, P. Preferential photodegradation of contaminants by molecular imprinting on titanium dioxide. Applied Catalysis B: Environmental 95(1-2), 169–178 (2010).
Keenan, C. R. & Sedlak, L. D. Factors affecting the yield of oxidants from the reaction of nanoparticulate zero-valent iron and oxygen. Environmental Science & Technology 42(4), 1262–1267 (2008).
Buxton, G. V. et al. Critical review of rate constants for reactions of hydrated electrons, hydrogen atoms and hydroxyl radicals (⋅ OH/⋅ O− in aqueous solution. Journal of Physical and Chemical Reference Data 17(2), 513–886 (1988).
Chen, Y. et al. Role of primary active species and TiO2 surface characteristic in UV-illuminated photodegradation of Acid Orange 7. Journal of Photochemistry and Photobiology A: Chemistry 172(1), 47–54 (2005).
Minero, C. et al. Photocatalytic transformation of organic compounds in the presence of inorganic anions. 1. Hydroxyl-mediated and direct electron-transfer reactions of phenol on a titanium dioxide− fluoride system. Langmuir 16(6), 2632–2641 (2000).
Hashimoto, K., Kawai, T. & Sakata, T. Photocatalytic reactions of hydrocarbons and fossil fuels with water. Hydrogen production and oxidation. The Journal of Physical Chemistry 88(18), 4083–4088 (1984).
Zhu, L., Meng, Z. & Oh, W. MWCNT-based Ag2S-TiO2 nanocomposites photocatalyst: ultrasound-assisted synthesis, characterization, and enhanced catalytic efficiency. Journal of Nanomaterials 2012, 5 (2012).
Acknowledgements
This work is supported by the National Natural Science Foundation of China (51672196).
Author information
Authors and Affiliations
Contributions
Mr. Xian Liu wrote the main manuscript text and Mr. Xide Meng prepared Figures 1–3. Pro. Lei Zhu and Pro. Xun Wang gave us the main ideas and financial assistance. All authors reviewed the manuscript.
Corresponding authors
Ethics declarations
Competing interests
The authors declare no competing interests.
Additional information
Publisher’s note Springer Nature remains neutral with regard to jurisdictional claims in published maps and institutional affiliations.
Rights and permissions
Open Access This article is licensed under a Creative Commons Attribution 4.0 International License, which permits use, sharing, adaptation, distribution and reproduction in any medium or format, as long as you give appropriate credit to the original author(s) and the source, provide a link to the Creative Commons license, and indicate if changes were made. The images or other third party material in this article are included in the article’s Creative Commons license, unless indicated otherwise in a credit line to the material. If material is not included in the article’s Creative Commons license and your intended use is not permitted by statutory regulation or exceeds the permitted use, you will need to obtain permission directly from the copyright holder. To view a copy of this license, visit http://creativecommons.org/licenses/by/4.0/.
About this article
Cite this article
Liu, X., Zhu, L., Wang, X. et al. Photocatalytic Degradation of Wastewater by Molecularly Imprinted Ag2S-TiO2 with High-selectively. Sci Rep 10, 1192 (2020). https://doi.org/10.1038/s41598-020-57925-8
Received:
Accepted:
Published:
Version of record:
DOI: https://doi.org/10.1038/s41598-020-57925-8
This article is cited by
-
Highly efficient ZnO/WO3 nanocomposites towards photocatalytic gold recovery from industrial cyanide-based gold plating wastewater
Scientific Reports (2023)
-
In situ generation of hydroxyl radicals by B-doped TiO2 for efficient photocatalytic degradation of acetaminophen in wastewater
Environmental Science and Pollution Research (2023)
-
Insights into the evaluation of photocatalytic quenching experimental results by degrading a dye
Research on Chemical Intermediates (2022)
-
Molecular imprinting produces high photoelectric effect facilitating the efficient photocatalytic degradation of salicylic acid by TiO2
Reaction Kinetics, Mechanisms and Catalysis (2022)
-
The photocatalytic selectivity between molecularly imprinted TiO2 and target contaminants
Journal of Nanoparticle Research (2020)








