Figure 1

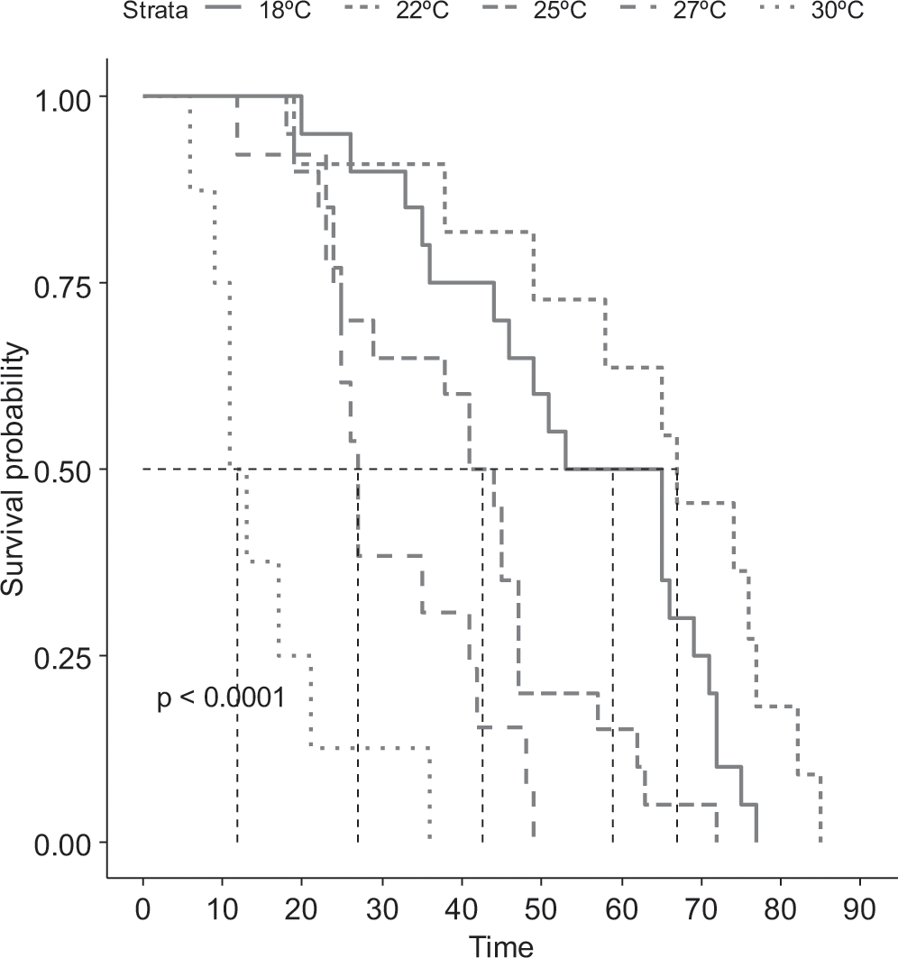
Kaplan–Meier survival curve for Thaumastocoris peregrinus (Heteroptera: Thaumastocoridae) female adults at different temperatures.

Kaplan–Meier survival curve for Thaumastocoris peregrinus (Heteroptera: Thaumastocoridae) female adults at different temperatures.