Correction to: Scientific Reports https://doi.org/10.1038/s41598-019-45663-5, published online 15 July 2019
This Article contains errors.
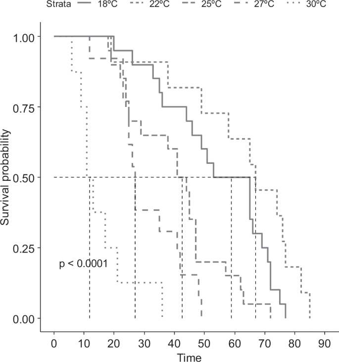
The authors had originally considered only the period of oviposition in the analyses. However, for the longevity analyses it is important that both pre-oviposition and oviposition data is used. The authors re-did these analyses using both sets of data. This affects the female longitudinal results in Table 2 and female risk estimates in in Table 3, as well as the survival curve for female adults displayed in Figure 2b.
The correct versions of Tables 2 and 3 appear below as Tables 1 and 2. The correct version of Figure 2b appears below as Figure 1.
These changes do not affect conclusions of the Article.
Author information
Authors and Affiliations
Corresponding author
Rights and permissions
Open Access This article is licensed under a Creative Commons Attribution 4.0 International License, which permits use, sharing, adaptation, distribution and reproduction in any medium or format, as long as you give appropriate credit to the original author(s) and the source, provide a link to the Creative Commons license, and indicate if changes were made. The images or other third party material in this article are included in the article’s Creative Commons license, unless indicated otherwise in a credit line to the material. If material is not included in the article’s Creative Commons license and your intended use is not permitted by statutory regulation or exceeds the permitted use, you will need to obtain permission directly from the copyright holder. To view a copy of this license, visit http://creativecommons.org/licenses/by/4.0/.
About this article
Cite this article
Barbosa, L.R., Santos, F., Soliman, E.P. et al. Author Correction: Biological parameters, life table and thermal requirements of Thaumastocoris peregrinus (Heteroptera: Thaumastocoridae) at different temperatures. Sci Rep 10, 903 (2020). https://doi.org/10.1038/s41598-020-57955-2
Published:
Version of record:
DOI: https://doi.org/10.1038/s41598-020-57955-2
