Abstract
Both genetic and environmental factors affect the risk of orofacial clefts. The present meta-analysis aimed to evaluate the association between methylenetetrahydrofolate reductase (MTHFR) C677T polymorphism and risk of nonsyndromic cleft lip/palate (NSCL/P) in cases-control studies. The PubMed/Medline, Scopus, Web of Science, and Cochrane Library databases were searched up to April 2019 with no restrictions. The odds ratios (ORs) and 95% confidence intervals (CIs) in all analyses were calculated by Review Manager 5.3 software. The funnel plot analysis was carried out by the Comprehensive Meta-Analysis version 2.0 software. Subgroup analysis, meta-regression, and sensitivity analysis were performed for the pooled analyses. Thirty-one studies reviewed in this meta-analysis included 4710 NSCL/P patients and 7271 controls. There was no significant association between MTHFR C677T polymorphism and NSCL/P susceptibility related to allelic model (OR = 1.04; P = 0.49), homozygote model (OR = 1.11; P = 0.35), heterozygote model (OR = 0.99; P = 0.91), dominant model (OR = 1.00; P = 0.96), or recessive model (OR = 1.08; P = 0.23). There was no significant association between MTHFR C677T polymorphism and NSCL/P susceptibility based on the ethnicity or the source of cases. There was a significant linear relationship between the year of publication and log ORs for the allele model. The results of the present meta-analysis failed to show an association between MTHFR C677T polymorphism and NSCL/P susceptibility. The subgroup analyses based on the ethnicity and the source of cases further confirmed this result.
Similar content being viewed by others
Introduction
Non-syndromic cleft lip/palate (NSCL/P) is a common birth defect worldwide1. In low- and middle-income countries, around 1/730 children is born with cleft lip/palate2. A multifactorial model of genetic inheritance has been recommended for NSCL/P based on the interaction of genetic and environmental factors1. Several lines of evidence have proven a significant association between polymorphism of genes connected to folate metabolism and increased risk of orofacial clefts3. Among genes related to folate metabolism, 5,10-methylenetetrahydrofolate reductase (MTHFR) reportedly has the highest association with NSCL/P. This gene is located on chromosome 1 at 1p36.3 and translates to MTHFR enzyme that catalyzes the conversion of 5,10-methylenetetrahydrofolate to 5-methyltetrahydrofolate, a cosubstrate for homocysteine remethylation to methionine4,5. MTHFR is a fundamental enzyme in folate metabolism and DNA synthesis, and MTHFR rs1801133 (C677T) is one of the most common polymorphisms which diminishes the enzyme activity6,7,8. Regulation of MTHFR activity is pivotal to maintain optimal cellular levels of methionine and S-adenosylmethionine5. Folate supplementation or its adequate dietary intake during pregnancy has been shown to prevent or decrease NSCL/P susceptibility9. Nutritional factors, such as the adequacy of folic acid in the mother’s diet, are clearly important, but other potential disturbances in ovulation or development of fetus may be due to the activity of key factors such as the MTHFR enzyme in folate metabolism10,11. In addition, the role of other polymorphisms of folate metabolism has been proven in recent meta-analyses7,12,13. There are six published meta-analyses related to our topic in the literature7,8,14,15,16,17. However, several other original articles have been recently published. Thus, we aimed to evaluate the association between MTHFR C677T and risk of NSCL/P in an updated meta-analysis of cases-control studies.
Materials and Methods
Protocol
The Preferred Reporting Items for Systematic Reviews and Meta-Analyses (PRISMA) guideline was applied for designing this meta-analysis18.
Search strategy
One author (N.G) accomplished the initial search and another author (M.S) re-checked the retrieved articles; disagreements between the two authors were resolved by a third author (M.M.I). A comprehensive search was conducted on the association between MTHFR rs1801133 C > T (C677T) polymorphism and NSCL/P susceptibility in PubMed/Medline, Scopus, Web of Science, and Cochrane Library databases up to April 2019. The search keywords were: (“cleft lip” or “cleft palate” or “orofacial cleft” or “oral cleft”) and (“methylenetetrahydrofolate reductase” or “MTHFR”). The databases were searched without any restrictions. Manual search of all references quoted in published meta-analyses/reviews related to the topic was done by another author (M.S).
Eligibility criteria
Inclusion criteria: (a) original studies; (b) studies reporting the relationship between MTHFR C677T polymorphism and the NSCL/P susceptibility; (c) studies designed as case-control studies; (d) studies providing sufficient data about the alleles and genotypes of MTHFR C677T polymorphism in case and control groups. Exclusion criteria: (a) studies not related to the relationship between MTHFR C677T polymorphism and the NSCL/P susceptibility; (b) duplicate studies/erratum; (c) review/meta-analysis, letter to editors, commentaries, and conference papers; (d) family-based studies; (e) case-parent triads studies; (f) studies inconsistent with the Hardy-Weinberg equilibrium (HWE) about the control group; (g) studies containing overlapping data.
Data extraction
Two authors (N.G and M.M.I) independently retrieved the data from each study included in this systematic review based on the eligibility criteria. Disagreements between the two authors were resolved through further discussion. The extracted data are presented in Tables 1 and 2.
Quality assessment
To evaluate the study quality, the control group of each study was tested for the HWE. One author (M.S) calculated the HWE for each study.
Statistical analysis
One author (M.S) analyzed the data and other authors independently re-checked them; disagreements were resolved by discussion. The odds ratios (ORs) with the corresponding 95% confidence intervals (CIs) in all analyses were calculated by Review Manager 5.3 to evaluate the strength of the association between MTHFR C677T polymorphism and the risk of NSCL/P. To examine this association, we used five genetic models namely the allele (T vs. C), homozygote (TT vs. CC), heterozygote (CT vs. CC), dominant (TT + CT vs. CC), and recessive (TT vs. CC + CT) models. The Z test was used for evaluation of the significance of the pooled OR using both fixed effects (FE) (Mantel–Haenszel) and random effects (DerSimonian and Laird) models19,20. Heterogeneity across the studies was evaluated using both the Cochrane Q test21,22 and I2 metric23,24 ranging from 0 to 100%25. There was statistically significant heterogeneity if P-value < 0.1 and I2 > 50%; in that case, the random-effect model was used to estimate the pooled ORs and CI values. Otherwise, we used the fixed-effect model. The Chi-square test was used for calculation of the HWE for the control group of each study.
Subgroup analysis was performed according to the ethnicity and the source of cases to explore potential heterogeneity. The meta-regression analysis is a technique used to assess heterogeneity between the studies. This statistical approach determines whether there is a significant association between the study period and number of individuals with the pooled OR. The Begg’s funnel plot was carried out by the Comprehensive Meta-Analysis version 2.0 software identifying the standard error of log (OR), and the precision of each study was plotted against its log (OR)25. In addition, the results of Egger’s linear regression were retrieved using this software26. To estimate the consistency or stability of the results, we used sensitivity analysis namely cumulative analysis and one study was removed. P-value (2-tailed) <0.05 was statistically significant.
Results
A total of 353 records were retrieved from the databases and after removing the duplicates, 187 records were screened (Fig. 1). Next, 117 records were excluded considering the eligibility criteria. Then, the full-texts of 70 articles were evaluated and 36 articles were excluded with reasons (five studies were systematic reviews/meta-analyses; one study was erratum; two studies were letter to editors/research letters; one study was editorial comment; three studies were family-based studies; five studies had irrelevant data; ten studies were case-control parents; three studies had no control group; five studies were case-parent triads; one study reported complex birth defects). On the other hand, by searching the references of meta-analyses, two other articles27,28 were found. Totally, 36 articles were included in this systematic review6,27,28,29,30,31,32,33,34,35,36,37,38,39,40,41,42,43,44,45,46,47,48,49,50,51,52,53,54,55,56,57,58,59,60,61 out of which, 5 studies6,58,59,60,61 had a deviation from the HWE for the control group and were excluded from the meta-analysis. Therefore, 31 articles were included and analyzed in this meta-analysis. In addition, one study62 was excluded for reducing bias compared with other previous meta-analyses, because it was a conference paper and therefore didn’t involve the eligibility criteria.
Table 1 shows the characteristics of each study included in this meta-analysis. The articles had been published from 1998 to 2019. Overall, the studies included 4,710 NSCL/P patients and 7,271 controls. Out of 31 studies, 10 studies were reported in mixed ethnicities, 10 studies had been conducted on Asians, and 11 studies had been conducted on Caucasians. In addition, the source of cases (patients) was population-based in 13 studies and hospital-based in 18 studies.
Table 2 shows the distribution of MTHFR C677T polymorphism genotype and allele in NSCL/P patients and controls. All studies followed the HWE for the control group.
Meta-analysis
The results of the pooled OR of the association between MTHFR C677T polymorphism and NSCL/P susceptibility are shown in Fig. 2 (T vs. C), Fig. 3 (TT vs. CC), Fig. 4 (CT vs. CC), Fig. 5 (TT + CT vs. CC), and Fig. 6 (T vs. CC + CT). Based on the results, there was no significant association between MTHFR C677T polymorphism and NSCL/P susceptibility related to allelic model [OR = 1.04; 95% CI: 0.93, 1.17; P = 0.49; I2 = 70% (Pheterogeneity or Ph < 0.00001)], homozygote model [OR = 1.11; 95% CI: 0.89, 1.38; P = 0.35; I2 = 52% (Ph = 0.0005)], heterozygote model [OR = 0.99; 95% CI: 0.85, 1.16; P = 0.91; I2 = 67% (Ph < 0.00001)], heterozygote model [OR = 0.99; 95% CI: 0.85, 1.16; P = 0.91; I2 = 67% (Ph < 0.00001)], dominant model [OR = 1.00; 95% CI: 0.86, 1.18; P = 0.96; I2 = 70% (Ph < 0.00001)], and recessive model [OR = 1.08; 95% CI: 0.96, 1.21; P = 0.23; I2 = 29% (Ph = 0.06)].
Subgroup analysis
The subgroup analysis was performed based on the ethnicity and the source of cases for the association between MTHFR C677T polymorphism and NSCL/P risk (Table 3). There was no significant association between MTHFR C677T polymorphism and NSCL/P susceptibility with regard to the ethnicity (Asian, Caucasian, and mixed ethnicities) or the source of cases (population-based and hospital-based).
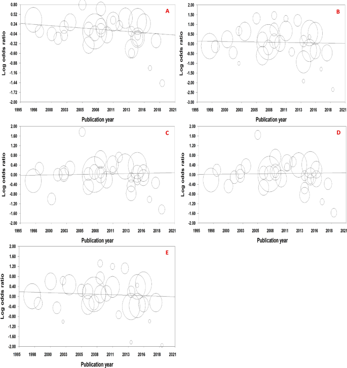
Meta-regression
Considering the year of publication and the number of individuals as independent variables and the log (OR) as the dependent variable, the fixed-effect meta-regression results are presented in Table 4, Figs. 7 and 8. To estimate the functional relationship of the log OR with the year of publication and the number of individuals, the analysis showed only a significant relationship for the allele model (T vs. C) for the year of publication with a regression coefficient of −0.01346. Therefore, there was a significant linear relationship between the year of publication and log ORs for the allele model (T vs. C), but not for the genetic models.
Publication bias
Figure 9 shows the funnel plots of all genetic models to evaluate the association between the NSCL/P risk and MTHFR C677T polymorphism in a fixed-effect model. There was no publication bias between the NSCL/P risk and MTHFR C677T polymorphism in the genetic models. The P-values of Begg’s/Egger’s tests were 0.21470/0.12123, 0.95933/0.97596, 0.22753/0.29895, 0.25480/0.28137, and 0.93228/0.91342 for T vs. C, TT vs. CC, CT vs. CC, TT + CT vs. CC, and TT vs. CC + CT, respectively.
Sensitivity analysis
Two analyses (one study excluded and cumulative analysis) were performed and the pooled ORs did not change qualitatively. Therefore, the analyses showed that the pooled ORs under all genetic models were stable and trustworthy.
Discussion
NSCL/P is one of the most common congenital anomalies with high rate of mortality. Its pathogenesis is difficult to be attributed to either environmental or genetic factors. The pathway of folate metabolism plays a significant role in the synthesis, repair, and methylation of DNA involved in NSCL/P pathogenesis63. MTHFR enzyme plays an important role in folate intake, and mutations of MTHFR gene significantly impact the stability and thus the function of the enzyme; MTHFR C677T is the most common mutation of this gene64. MTHFR C677T polymorphism is related to a reduction in MTHFR activity, raised plasma homocysteine concentration, and lower plasma level of folic acid, which consequently contribute to NSCL/P65. The present meta-analysis was performed to more precisely assess the relationship between MTHFR C677T polymorphism and NSCL/P susceptibility. In pooled analysis, the meta-analysis showed no significant association between MTHFR C677T polymorphism and NSCL/P risk.
Out of 31 studies included in the present meta-analysis, six studies27,34,39,44,45,52, five studies34,39,44,46,52, and four studies34,39,46,52 reported significantly increased risk of T allele, TT genotype, and CT genotype in NSCL/P patients compared with controls, respectively. Also, five studies36,47,49,55,57, two studies47,57, and four studies28,36,47,57 reported a significantly decreased risk of T allele, TT genotype and CT genotype in NSCL/P patients compared with controls, respectively. In addition, TT + CT genotype was reported to have a significantly increased risk in five studies34,39,44,46,52 and significantly decreased risk in four studies36,47,55,57 in NSCL/P patients compared with controls. Based on the recessive model, three studies39,46,54 reported significantly increased risk of TT genotype and one study57 reported its significantly decreased risk in NSCL/P patients compared with controls.
A recent meta-analysis with 24 case-control studies14 investigating the relationship between NSCL/P and MTHFR C677T polymorphism showed that the TT genotype was a risk factor for NSCL/P in Asians in homozygote (OR = 1.96, P < 0.001) and recessive (OR = 1.45, P = 0.028) models. Also, based on mothers with NSCL/P progeny versus control mothers with healthy progeny in 10 studies, the TT genotype of Caucasian mothers may increase progeny NSCL/P morbidity. Another recent meta-analysis of 22 case-control studies15 showed that MTHFR C677T polymorphism was associated with a higher risk of NSCL/P. Both meta-analyses also included studies with a deviation of HWE. However, in the present meta-analysis, we excluded such studies from the pooled analysis and therefore, reviewed 31 case-control studies and had lower heterogeneity compared with the meta-analysis with 22 studies15. Almost similar to the findings of a meta-analysis with 24 studies14, our results showed no association between MTHFR C677T and susceptibility to NSCL/P. In one meta-analysis15, definition of ethnicity was different from that in another study14 and our meta-analysis. The meta-regression showed a linear relationship with a negative slope between the year of publication and log ORs for the allele model and therefore by increasing years of publication, the risk of T allele decreased in NSCL/P patients compared with controls. There were two other meta-analyses with eight16 and nine7 case-control studies related to our topic. One of them16 reported no association and another one on Asian ethnicity showed a significant association between MTHFR C677T and susceptibility to NSCL/P. Luo et al.17 on nine studies in a meta-analysis didn’t show any evidence for significant association between infant or maternal MTHFR C677T polymorphism and NSCL/P risk, but suggested that maternal MTHFR 677TT polymorphism could increase the risk of having a NSCL/P offspring in the white population. Pan et al.8 on seventeen studies showed that this polymorphism was a risk factor involved in the development of NSCL/P in Asians that definition of ethnicities in this meta-analysis was different from our meta-analysis. The results showed that the effect of each factor alone on the association was low, but such a high heterogeneity among the studies could be due to simultaneous effect of several factors such as differences in the ethnicity of the study populations, source of cases, and number of individuals.
This study had several important limitations including high heterogeneity across studies, unadjusted ORs used in the studies, and intake of folic acid and other supplements that were not considered. Nevertheless, the present study included more studies with meta-regression without any deviation of HWE for controls in all studies compared with other meta-analyses. It did not have publication bias, and the results were stable.
In conclusion, the result of the present meta-analysis revealed that MTHFR C677T polymorphism is not associated with susceptibility to NSCL/P, and the subgroup analyses based on the ethnicity and the source of cases further confirmed this result. However, well-designed studies with larger sample size are required taking into account the role of micronutrients such as folic acid in NSCL/P risk.
References
Dixon, M. J., Marazita, M. L., Beaty, T. H. & Murray, J. C. Cleft lip and palate: understanding genetic and environmental influences. Nat. Rev. Genet. 12, 167–178 (2011).
Kadir, A. et al. Systematic Review and Meta-Analysis of the Birth Prevalence of Orofacial Clefts in Low- and Middle-Income Countries. Cleft Palate Craniofac J. 54, 571–581 (2017).
Rafik, A. & Nadifi, S. Updating genetics polymorphisms of non-syndromic clefts lip-palates. Am. J. Mol. Biol. 8, 178–185 (2018).
Goyette, P. et al. Gene structure of human and mouse methylenetetrahydrofolate reductase (MTHFR). Mamm. Genome 9, 652–656 (1998).
Yamada., K., Strahler, J. R., Andrews, P. C. & Matthews, R. G. Regulation of human methylenetetrahydrofolate reductase by phosphorylation. Proc. Natl Acad. Sci. USA 102, 10454–10459 (2005).
Ebadifar, A. et al. Maternal Supplementary Folate Intake, Methylenetetrahydrofolate Reductase (MTHFR) C677T and A1298C Polymorphisms and the Risk of Orofacial Cleft in Iranian Children. Avicenna J. Med. Biotechnol. 7, 80–84 (2015).
Zhao, M., Ren, Y., Shen, L., Zhang, Y. & Zhou, B. Association between MTHFR C677T and A1298C polymorphisms and NSCL/P risk in Asians: a meta- analysis. PLoS One 9, e88242 (2014).
Pan, Y. et al. Infants’ MTHFR polymorphisms and nonsyndromic orofacial clefts susceptibility: a meta-analysis based on 17 case-control studies. Am. J. Med. Genet. A 158, 2162–2169 (2012).
Li, S. S., Li, J., Xiao, Z., Ren, A. G. & Jin, L. Prospective study of MTHFR genetic polymorphisms as a possible etiology of male infertility. Genet. Mol. Res. 13, 6367–6374 (2014).
Li, S. et al. Folic Acid Use and Nonsyndromic Orofacial Clefts in China. Epidemiol. 23, 423–432 (2012).
Wehby, G. L. & Murray, J. C. Folic Acid and Orofacial Clefts: A Review of the Evidence. Oral. Dis. 16, 11–19 (2010).
Imani, M. M., Mozaffari, H. R., Sharifi, R. & Sadeghi, M. Polymorphism of reduced folate carrier 1 (A80G) and non-syndromic cleft lip/palate: A systematic review and meta-analysis. Arch. Oral. Biol. 98, 273–279 (2019).
Zhao, H. et al. Is MTHFD1 polymorphism rs 2236225 (c.1958G > A) associated with the susceptibility of NSCL/P? A systematic review and meta-analysis. Version 2. F1000Res 4,142 (2015).
Wang, Y. et al. Methylenetetrahydrofolate reductase rs1801133 C > T polymorphism is association with nonsyndromic cleft lip with or without cleft palate susceptibility: a meta-analysis. Int. J. Clin. Exp. Med. 10, 1734–1749 (2017).
Rai, V. Strong Association of C677T Polymorphism of Methylenetetrahydrofolate Reductase Gene With Nosyndromic Cleft Lip/Palate (nsCL/P). Indian. J. Clin. Biochem. 33, 5–15 (2018).
Verkleij-Hagoort, A., Bliek, J., Sayed-Tabatabaei, F., Ursem, N. & Steegers, E. Steegers-& Theunissen, R. Hyperhomocysteinemia and MTHFR polymorphisms in association with orofacial clefts and congenital heart defects: a meta-analysis. Am. J. Med. Gene Part. A 143A, 952–960 (2007).
Luo, Y. L. et al. Association between MTHFR polymorphisms and orofacial clefts risk: a meta-analysis. Birth Defects Res. A Clin. Mol. Teratol. 94, 237–244 (2012).
Moher, D., Liberati, A., Tetzlaff, J. & Altman, D. G. & PRISMA Group. Preferred reporting items for systematic reviews and meta-analyses: the PRISMA statement. PLoS Med. 6, e1000097 (2009).
Mantel, N. & Haenszel, W. Statistical aspects of the analysis of data from retrospective studies of disease. J. Natl Cancer Inst. 22, 719–748 (1959).
DerSimonian, R. & Laird, N. Meta-analysis in clinical trials. Control Clin. Trials 7, 177–188 (1986).
Zintzaras, E. & Ioannidis, J. P. Heterogeneity testing in meta-analysis of genome searches. Genet. Epidemiol. 24, 1–15 (2004).
Zintzaras, E. & Hadjigeorgiou, G. M. The role of G196A polymorphism in the brain-derived neurotrophic factor gene in the cause of Parkinson’s disease: a meta-analysis. J. Hum. Genet. 50, 560–566 (2005).
Higgins, J. P. & Thompson, S. E. Quantifying heterogeneity in a metaanalysis. Stat. Med. 21, 1539–1558 (2002).
Higgins, J. P., Thompson, S. G., Deeks, J. J. & Altman, D. G. Measuring inconsistency in meta analyses. Br. Med. J. 327, 557–560 (2003).
Begg, C. B. & Mazumdar, M. Operating characteristics of a rank correlation test for publication bias. Biometrics 50, 1088–1101 (1994).
Egger, M., Davey Smith, G., Schneider, M. & Minder, C. Bias in metaanalysis detected by a simple, graphical test. BMJ 315, 629–634 (1997).
Shaw, G. M., Rozen, R., Finnell, R. H., Todoroff, K. & Lammer, E. J. Infant C677T mutation in MTHFR, maternal periconceptional vitamin use, and cleft lip. Am. J. Med. Genet. 80, 196–198 (1998).
Martinelli, M. et al. C677T variant form at theMTHFR gene and CL/P: a risk factor for mothers? Am. J. Med. Genet. 98, 357–360 (2001).
Gaspar, D. A. et al. Role of the C677T polymorphism at the MTHFR gene on risk to nonsyndromic cleft lip with/without cleft palate: results from a case-control study in Brazil. Am. J. Med. Genet. 87, 197–199 (1999).
Grunert, R. R., Braune, A., Schnackenberg, E., Schloot, W. & Krause, H. R. Genetic differences in enzymes of folic acid metabolism in patients with lip-jaw-palate clefts and their relatives. Mund. Kiefer Gesichtschir 6, 31–33 (2002).
Shotelersuk, V., Ittiwut, C., Siriwan, P. & Angspatt, A. Maternal 677CT/1298AC genotype of the MTHFR gene as a risk factor for cleft lip. J. Med. Genet. 40, e64 (2003).
Van Rooij, L. A., Swinkels, D. W., Blom, H. J., Markus, H. M. & Stegers-Theunissen, R. P. Vitamin and homocysteine status of mothers and infants and the risk of nonsyndromic orofacial clefts. Am. J. Obstet. Gynecol. 189, 1155–1160 (2003).
Pezzetti, F. et al. Maternal MTHFR variant forms increase the risk in offspring of isolated nonsyndromic cleft lip with or without cleft palate. Hum. Mutat. 24, 104–105 (2004).
Wan, W. D. et al. Relationship between nonsyndromic cleft lip with or without cleft palate (NSCL/P) and genetic polymorphisms of MTHFR C677T and A1298C. Zhonghua Zheng Xing Wai Ke Za Zhi 22, 8–11 (2006).
Brandalize, A. P. et al. Polymorphisms in genes MTHFR, MTR and MTRR are not risk factors for cleft lip/palate in South Brazil. Braz. J. Med. Biol. Res. 40, 787–791 (2007).
Chevrier, C. et al. Fetal and maternal MTHFR C677T genotype, maternal folate intake and the risk of nonsyndromic oral clefts. Am. J. Med. Genet. A 143, 248–257 (2007).
Little, J. et al. Folate and clefts of the lip and palate–a U.K.-based case-control study: part II: biochemical and genetic analysis. Cleft Palate Craniofac J. 45, 428–438 (2008).
Mills, J. L. et al. Folate-related gene polymorphisms as risk factors for cleft lip and cleft palate. Birth Defects Res. A 82, 636–643 (2008).
Ali, A., Singh, S. K. & Raman, R. MTHFR 677TT alone and IRF6 820GG together with MTHFR 677CT, but not MTHFR A1298C, are risks for non-syndromic cleft lip with or without cleft palate in an Indian population. Genet. Test. Mol. Biomark 13, 355–360 (2009).
Guo, J. Z. et al. Relationship between genetic polymorphisms of MTHFR C677T and nonsyndromic cleft lip with or without palate. Beijing Da Xue Xue Bao 41, 432–436 (2009).
Sozen, M. A., Tolarova, M. M. & Spritz, R. A. The common MTHFR C677T and A1298C variants are not associated with the risk of non-syndromic cleft lip/palate in northern Venezuela. J. Genet. Genomics 36, 283–288 (2009).
Mostowska, A., Hozyasz, K. K., Wojcicki, P., Dziegelewska, M. & Jagodzinski, P. P. Associations of folate and choline metabolism gene polymorphisms with orofacial clefts. J. Med. Genet. 47, 809–815 (2010).
Chorna, L. B., Akopyan, H. R., Makukh, H. V. & Fedoryk, I. M. Allelic polymorphisms in the MTHFR, MTR and MTRR genes in patients with cleft lip and/or palate and their mothers. Cytolo Genet. 45, 177–181 (2011).
Han, Y. et al. Methylenetetrahydrofolate reductase C677T and A1298C polymorphisms and nonsyndromic orofacial clefts susceptibility in a southern Chinese population. DNA Cell Biol. 30, 1063–1068 (2011).
Semiç-Jusufagiç, A. et al. Association between C677T and A1298C MTHFR gene polymorphism and nonsyndromic orofacial clefts in the Turkish population: a case-parent study. Turkish J. Pediatr. 54, 617–625 (2012).
Kumari, P., Ali, A., Sukla, K. K., Singh, S. K. & Raman, R. Lower incidence of nonsyndromic cleft lip with or without cleft palate in females: is homocysteine a factor? J. Biosci. 38, 21–26 (2013).
Estandia-Ortega, B. et al. 5,10-Methylenetetrahydrofolate reductase single nucleotide polymorphisms and gene–environment interaction analysis in analysis in non-syndromic cleft lip/palate. Eur. J. Oral. Sci. 122, 109–113 (2014).
Jahanbin, A. et al. Analysis of MTHFR Gene C.677 C > T and C.1298 A > C Polymorphisms in Iranian Patients with Non-Syndromic Cleft Lip and Palate. Iran. J. Public. Health 43, 821–827 (2014).
Murthy, J., Gurramkonda, V. B., Karthik, N. & Lakkakula, B. V. MTHFR C677T and A1298C polymorphisms and risk of nonsyndromic orofacial clefts in a south Indian population. Int. J. Pediatr. Otorhinolaryngol. 78, 339–342 (2014).
Abdollahi-Fakhim, S. et al. Common Mutations of the Methylenetetrahydrofolate Reductase (MTHFR) Gene in Non-Syndromic Cleft Lips and Palates Children in North-West of Iran. Iran. J. Otorhinolaryngol. 27, 7–14 (2015).
Bezerra, J. F. et al. Genetic and non-genetic factors that increase the risk of non-syndromic cleft lip and/or palate development. Oral. Dis. 21, 393–399 (2015).
de Aguiar, P. K. et al. rs1801133C > T polymorphism in MTHFR is a risk factor for nonsyndromic cleft lip with or without cleft palate in the Brazilian population. Birth Defects Res. A Clin. Mol. Teratol. 103, 292–298 (2015).
Jiang, C. et al. Lack of Association Between MTHFR, MTR, MTRR, and TCN2 Genes and Nonsyndromic CL ± P in a Chinese Population: Case-Control Study and Meta-Analysis. Cleft Palate Craniofac J. 52, 579–587 (2015).
Ramírez-Chau, C., Blanco, R., Colombo, A., Pardo, R. & Suazo, J. MTHFR c.677 C > T is a risk factor for non-syndromic cleft lip with or without cleft palate in Chile. Oral. Dis. 22, 703–708 (2016).
Taslim, T., Joenoes, H., Sulistyani, L. D., Latief, B. S. S. & Ibrahim, E. MTHFR C677T polymorphism in indonesian patients with oral cleft. JIDMR 10, 723–728 (2017).
Xu, X., Pan, H., Yu, L. & Hong, Y. Association of MTHFR polymorphisms with nsCL/P in Chinese Uyghur population. Egypt. J. Med. Hum. Genet. 17, 311–316 (2016).
Rafik, A., Rachad, L., Kone, A. S. & Nadifi, S. MTHFR C677T polymorphism and risk of nonsyndromic cleft lip with or without cleft palate in the Moroccan population. Appl. Clin. Genet. 12, 51–54 (2019).
Aşlar, D., Özdiler, E., Altuğ, A. T. & Taştan, H. Determination of Methylenetetrahydrofolate Reductase (MTHFR) gene polymorphism in Turkish patients with nonsyndromic cleft lip and palate. Int. J. Pediatr. Otorhinolaryngol. 77, 1143–1146 (2013).
Gaspar, D. A. et al. Maternal MTHFR interacts with the offspring’s BCL3 genotypes, but not with TGFA, in increasing risk to nonsyndromic cleft lip with or without cleft palate. Eur. J. Hum. Genet. 12, 521–526 (2004).
Wang, W., Jiao, X. H., Wang, X. P., Sun, X. Y. & Dong, C. MTR, MTRR, and MTHFR Gene Polymorphisms and Susceptibility to Nonsyndromic Cleft Lip With or Without Cleft Palate. Genet. Test. Mol. Biomarkers 20, 297–303 (2016).
Nan, X., Liu, M. & Yuan, G. Relationship between genetic polymorphism of MTHFR C677T and nonsyndromic cleft lip with or without cleft palate in Shanxi Province of China. Zhonghua Zheng Xing Wai Ke Za Zhi 30, 265–269 (2014).
Tolarova, M. M. et al. A common mutation in the MTHFR gene is a risk factor for non-syndromic cleft lip and palate anomalies. Am. J. Hum. Genet. 63, A27 (1998).
Hopper, R. A. Cleft lip and Palate: Embryology, Principles and Treatment, In: C. H. Thorne (Ed.), Grabb Smith’s Plast. Surg., seventh, Lippincott Williams & Wilkins, Philadelphia. pp. 173–199 (2013).
Thaler, C. J. Folate Metabolism and Human Reproduction. Geburtshilfe Frauenheilkd. 74, 845–851 (2014).
Frosst, P. et al. A candidate genetic risk factor for vascular disease: a common mutation in methylenetetrahydrofolate reductase. Nat. Genet. 10, 111–113 (1995).
Acknowledgements
This work was performed in partial fulfillment of the requirements for the degree of general dentistry by “Negin Golchin” at Faculty of Dentistry, Kermanshah University of Medical Sciences, Kermanshah, Iran. The authors gratefully acknowledge the Research Council of Kermanshah University of Medical Sciences (Grant number: 980686) for the financial support.
Author information
Authors and Affiliations
Contributions
Conceptualization, M.M.I. and Ma.S.; Data curation, M.M.I., N.G. and Ma.S.; Formal analysis, Ma.S.; Funding acquisition, M.M.I.; Investigation, N.G. and Ma.S.; Methodology, M.M.I.; Project administration, M.M.I, Mo.S. and F.R.; Resources, H.A., P.L.-J. and H.R.M.; Software, M.S.; Supervision, M.M.I.; Validation, P.L.J. and M.S.; Visualization, M.M.I., Ma.S. and R.S.; Writing – original draft, Ma.S; Writing – review & editing, M.M.I., N.G., Mo.S., F.R., H.A., Ma.S., P.L.-J., H.R.M. and R.S.
Corresponding author
Ethics declarations
Competing interests
The authors declare no competing interests.
Additional information
Publisher’s note Springer Nature remains neutral with regard to jurisdictional claims in published maps and institutional affiliations.
Rights and permissions
Open Access This article is licensed under a Creative Commons Attribution 4.0 International License, which permits use, sharing, adaptation, distribution and reproduction in any medium or format, as long as you give appropriate credit to the original author(s) and the source, provide a link to the Creative Commons license, and indicate if changes were made. The images or other third party material in this article are included in the article’s Creative Commons license, unless indicated otherwise in a credit line to the material. If material is not included in the article’s Creative Commons license and your intended use is not permitted by statutory regulation or exceeds the permitted use, you will need to obtain permission directly from the copyright holder. To view a copy of this license, visit http://creativecommons.org/licenses/by/4.0/.
About this article
Cite this article
Imani, M.M., Golchin, N., Safaei, M. et al. Methylenetetrahydrofolate reductase C677T polymorphism is not associated with the risk of nonsyndromic cleft lip/palate: An updated meta-analysis. Sci Rep 10, 1531 (2020). https://doi.org/10.1038/s41598-020-58357-0
Received:
Accepted:
Published:
Version of record:
DOI: https://doi.org/10.1038/s41598-020-58357-0











