Figure 7
From: Control of the Thermoelectric Properties of Mg2Sn Single Crystals via Point-Defect Engineering

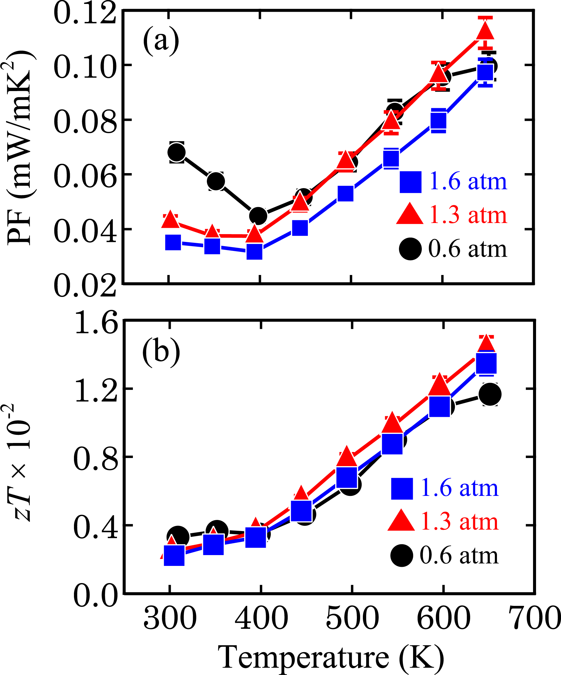
Temperature dependence of (a) power factor, PF, and (b) dimensionless figure of merit, zT, of the prepared ingots.
From: Control of the Thermoelectric Properties of Mg2Sn Single Crystals via Point-Defect Engineering

Temperature dependence of (a) power factor, PF, and (b) dimensionless figure of merit, zT, of the prepared ingots.