Abstract
Oral rehydration solutions (ORSs) is the key treatment of acute diarrhea in children, as it restores the electrolyte balance by stimulating the intestinal sodium/glucose transporter SGLT1 to induce fluid absorption. The World Health Organization (WHO) and The European Society for Paediatric Gastroenterology Hepatology and Nutrition (ESPGHAN) proposed ORSs with different chemical compositions. The main agent of childhood acute gastroenteritis is rotavirus (RV). We evaluate the effects of ORS with different concentration of glucose and sodium on RV induced secretion. Ussing chambers technique was used for electophysiology experiments to evaluate ion fluid flux. ESPGHAN ORS (sodium 60 mmol/L and glucose 111 mmol/L) induced a more potent proabsorptive effect in Caco-2 cells than WHO ORS, and this effect depended on the sodium/glucose ratio. Titration experiments showed that RV-induced fluid secretion can be reverted to a proabsorptive direction when sodium and glucose concentration fall in specific ranges, specifically 45–60 mEq/L and 80–110 mM respectively. The results were confirmed by testing commercial ORSs. These findings indicated that ORS proabsorptive potency depends on sodium and glucose concentrations. Optimal ORS composition should be tailored to reduce RV-induced ion secretion by also considering palatability. These in vitro data should be confirmed by clinical trials.
Similar content being viewed by others
Introduction
In 1978, an editorial in the Lancet reported “The discovery that sodium transport and glucose transport are coupled in the small intestine so that glucose accelerates absorption of solute and water, is potentially the most important medical advance of this century1”. Millions of lives of children and adults were saved by the use of a simple mixture of salt-glucose2.
Diarrhea is already an important cause of death primarily in children younger than 5 years. Approximately 1,3 million deaths are caused by diarrheal diseases among all ages, with the main impact on children younger than 5 years3,4. Fatal gastroenteritis occurs mainly in developing countries because of poor hygiene and malnutrition (300,000 deaths/year in sub-Saharan Africa), although fatality should not be neglected in the high-income countries (approximately 700 deaths/year in 2015)5,6. Rotavirus is the most frequent diarrheal disease causing high mortality in children younger than 5 years(150.000 deaths in 2015) with also an significant rate in older ones (200.000 deaths among all ages)6. The severity of gastroenteritis corresponds to the degree of dehydration defined by the amount of water and electrolyte losses. Hence, the current management of diarrhea in children involves the prevention and management of dehydration as first line therapy.
Oral rehydration solution (ORS) is a balanced mixture of glucose and electrolytes that stimulates fluid absorption and counteracts dehydration and metabolic acidosis and is used for the rehydration. ORS efficacy exploits the Na+/glucose cotransporter (SGLT1), located on the apical membrane of intestinal epithelial cells7.
The first ORS composition was jointly proposed by the United Nations Children’s Fund (UNICEF) and the World Health Organization (WHO). This formula was based on glucose/salt solution to counteract dehydration during diarrhea independently by the etiology and the age of patients8. This ORS is designed to counteract cholera diarrhea, because the latter was the major cause of death. WHO ORS contains Na+, K+, NaHCO3 in respectivity concentration of 90, 20 and 10 mEq/L plus 110 mml/L of glucose9. This ORS occasionally caused hypernatremia in children10,11; therefore, a reduced osmolarity ORS was adopted lowered both sodiumand glucose12. Subsequently, hyposmolar ORSs have been proposed as the standard for developed countries, which may be also indicated in nonmalnourished children in developing countries13.
A “salty solution”, such as WHO ORS, is less palatable than hyposmolar ORS14 and is not needed for non-cholera diarrhea. The European Society for Paediatric Gastroenterology, Hepatology, and Nutrition (ESPGHAN) recommends a solution containing 60 mEq/L Na+ for developed and developing countries13,15. Hyposmolar ORS is now supported by several guidelines from different parts of the world16. Many children with acute gastroenteritis presenting with mild to moderate dehydration and infants and younger children tend to refuse such salty solution. Hence, flavored ORS have been made available to overcome taste issues and effectively replace fluid losses.
However, the efficacy of ORS composition also depends on several factors, and our research try to find an optimal compromise between taste and fluid absorption.
The specific aim of this study was to investigate the effects of ORSs with different concentration of glucose and sodium in in-vitro model of ion secretion induced by Rotavirus (RV), the most frequent cause of acute gastroenteritis in children This model reflects the chloride secretion induced by the virus on intestinal epithelial cells through the measure ofelectrical parameters generated in a polar epithelium mounted in Ussing chambers. In the first half of the 20th century, biological research focused on ion channels and their activity. In 1951, Hans Ussing developed an apparatus as simple as innovative that still bears his name today17. The measure of ion transport across epithelial barriers was first studied in frog skin, but soon this technique was applied to the intestinal epithelium whose function is essentially based on the Na+, K+ and Cl− and H2O equilibrium by specific channels located on the apical and basolateral membranes of the enterocytes18. Potential difference (PD) reflects the transepithelial passage of ions. An increase in PD is the typical effect of enterotoxins and reflects active chloride secretion. Using this model, we described the effects of RV infection on ion transport19. In this paper, we applied the validated in vitro model to describe the mechanisms of RV diarrhea in human enterocytes to test different composition of ORS. Ion movements across the epithelium are affected by ion concentrations in the intestinal lumen and generate changes in electrical parameters that are measurable.
Results
Effects of standard ORSs in basal condition
We first compared the effects of WHO hyposmolar ORS with ESPGHAN ORS in Caco-2 cell monolayers in basal condition.
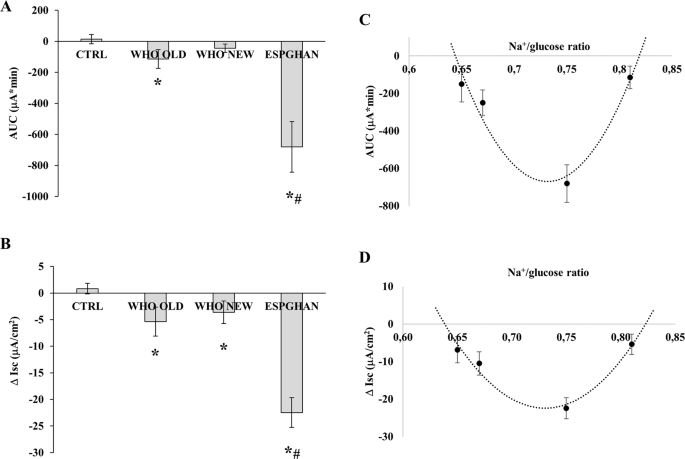
Short circuit current (Isc expressed in µA/cm2) and area under the curve (AUC) measured in Ussing chambers were evaluated as parameter of the secretory/absorptive response and indicating the potency of the effect, respectively. AUC and Δ Isc were negative in all conditions compared to controls indicating a pro-absorptive effect (Fig. 1A,B). The WHO hyposmolar ORS showed a lower absorptive effect than the other two ORSs in inducing fluid absorption in basal condition. A significant decrease in both AUC and Δ Isc was observed when Caco-2 cells were exposed to WHO original ORS and ESPGHAN ORS, although the latter showed a significantly higher efficiency. As shown in Fig. 1A,B, ESPGHAN ORS induced a more efficient absorption in terms of potency and the peak effect was also the highest.
AUC (A) and Δ Isc (B) were measured in Caco-2 cell monolayers exposed to WHO original, WHO hyposmolar, and ESPGHAN ORSs. (*p < 0.05 vs CTRL; #p < 0.05 vs WHO ORSs). AUC (C) and Δ Isc (D) values of four ORSs with different Na+/glucose ratio were used for correlation analysis. The second degree polynomial equation calculated for AUC is y = 87704x2 − 128305x + 46255 with R² = 0.9335 and for Δ Isc is y = 2637.8x2 − 3854x + 1385.4 with R² = 0.9513.
Two components are essential for the pro-absorptive tone of the enterocyte, namely sodium and glucose. Both activate SGLT-1 which uses the energy from the downstream sodium ion (Na+) gradient created by the ATPase pump to transport glucose across the apical membrane, against an uphill glucose gradient. Hence, the Na+/glucose ratio is crucial for ORS effectiveness. The Na+/glucose ratio is 0.75 and 0.81 for ESPGHAN and original WHO ORS, respectively. We correlated the Na+/glucose ratio with ORS potency. In addition, we tested two commercial ORSs with the Na+/glucose ratio of 0.65 and 0.67. As shown in Fig. 1C,D, we found a correlation between the Na+/glucose ratio and AUC and Δ Isc. The second degree polynomial equation identified for AUC and Δ Isc have R2 of 0.9335 and 0.9513, respectively, indicating that the regression model is appropriate. According to this model, the optimal ratio for the maximum effectiveness and the range of effectiveness can be calculated. The two regression models fit together because both parabola vertices were identified at 0.73 the optimal ratio for AUC and Δ Isc parameters. The calculated ranges of effectiveness were similar, being 0.644/0.818 and 0.638/0.822 for AUC and Δ Isc, respectively.
The addition of increasing glucose concentrations induced a proabsorptive effect without difference between 80–110 mM dose (Fig. S1).
Rotavirus-induced secretory diarrhea in vitro
Figure 2A shows a representative graph of the secretory state of Caco-2 cell monolayers induced by RV infection indicating the area under the curve (AUC) as the potency of the effect (dashed area), whereas the maximal increase (Δ Isc) is considered the peak effect (double-headed arrow). Figure 2B,C represent the significant ion secretory effect induced by RV in Caco-2 cells for both parameters.
(A) A representative experiment showing the Isc increase monitored in Caco-2 cell monolayer infected with RV. The area under the curve (AUC, dashed area) represents the potency of the effect, the maximal increase (Δ Isc, double-headed arrow) is considered the peak effect. (B) AUC and (C) Δ Isc in RV-infected cells is significantly increased compared to controls (*p < 0.05).
Effects of standard ORSs on RV-induced secretion
ESPGHAN ORS significantly inhibited RV-induced ion secretion (Fig. 3A,B). The obtained negative Isc values indicated that ESPGHAN ORS is effective in reversing RV-induced ion secretion into ion absorption.
Because glucose could be a limiting factor, we performed a titration experiment using lab-prepared ORSs fixing sodium concentration at 60 mEq/L and titrating glucose concentration in a range of 70 to110 mM. In RV-infected cells, both AUC and Δ Isc data indicated a dose-response proabsorptive effect with a significant linear correlation (Fig. 4). A significant dose-response reduction of ion secretion induced by RV was observed and at higher glucose concentrations, ion secretion was converted into absorption with a dose-response effect. Based on this data, 80–110 mM of glucose concentration is associated with an optimal absorptive effect. Similar to that observed in active ion secretion, the addition of 80–110 mM of glucose in basal condition promoted ion absorption with a dose-related effect (Fig. S1).
Titration analysis of increasing glucose concentration of ORSs with 60 mEq/L of sodium in RV-infected cells (ORS 1–5 in Table 1). Both AUC (○) and Δ Isc (◆) data showed a significant linear correlation (AUC y = −0,308x + 23,46 with R² = 0.9573; Δ Isc y = −7,074x + 511,8 with R² = 0.926). All results are significantly different compared to RV-infected cells (AUC = + 218.7 and Δ Isc = + 9.8; p < 0.05).
Next, we investigated the optimal Na+ concentration range by fixing glucose at 110 mM and modifying Na+ concentration in the range of 50–90 mEq/L. Na+ concentration ≤60 mEq/L induced a proabsorptive effect in RV-infected cells, whereas higher doses were only effective in limiting the RV-induced ion secretion (Fig. 5).
Titration analysis of increasing sodium concentration of ORSs with 110 mM of glucose in RV-infected cells (ORS 5–8 in Table 1). No significant correlation was observed for AUC (○) or Δ Isc (◆) relative to sodium doses; however, a concentration of ≤60 mEq/L induced a proabosrptive effect in RV-infected cells, whereas higher doses limited to reduce the RV-induced ion secretion. All results are significantly different to RV-infected cells (AUC = + 218.7 and Δ Isc = +9.8; p < 0.05).
Effects of commercial ORSs in RV-induced secretion
Finally, we tested commercially available ORSs in glucose ranges of 80–110 mM and Na+ range of 45–60 mEq/L. Data are plotted as AUC and Δ Isc in relation to Na+ concentration and indicate that all ORSs are effective in RV-induced ion secretion and promote proabsorptive ion flux (Fig. 6).
Four commercially ORSs (ORS a–d in Table 1) were tested in RV-infected cells. ORSs have glucose concentration in a range of 76–110 mM and sodium in the range of 45–60 mEq/L. All tested ORSs induce a significantly proabsorptive effect compared to RV-induced ion secretion (AUC = + 218.7 and Δ Isc = + 9.8; p < 0.05). No significant difference was observed among ORSs.
Taken together these data suggest a range of efficacy of the ORSs for both glucose and Na+. Indeed, the best results in terms of potency and peak effect are obtained for solutions with 80–110 mM of glucose and 45–60 mEq /L of Na+.
Effects of standard ORSs on secretory diarrhea induced by Cholera toxin
Cholera toxin induces a potent and stable increase in both AUC and Δ Isc suggesting a significant ion secretion (Fig. 7). ESPGHAN ORS was used to test transepithelial fluid transport in this condition. A complete inhibition of fluid secretion induced by cholera toxin was observed with a proaborptive effect induced by ESPGHAN ORS (Fig. 7).
Discussion
Proximal to distal intestinal segments, from the duodenum to the distal colon, have specific mechanisms for either electrolyte absorption or secretion. Fluid transport across intestinal epithelial cells is a finely tuned process with net absorption predominating in normal conditions. However, a basal level of fluid secretion is necessary for accomplishing the digestive functions. Large water volumes are secreted and reabsorbed through the small intestinal epithelium during the digestive processes. During diarrhea, the balance is impaired, and an excess of fluids is secreted causing a net loss of water and electrolytes ultimately leading to dehydration. This is the cause of death for approximately 500 to 1 million of children annually20. Dehydration is strongly associated with secretory diarrhea with microorganisms including RV that produce the NSP4 enterotoxin.
The Na+/glucose cotransporter SGLT1 is an active pump that stoichiometrically transports two sodium ions and one glucose molecule together across the cell membrane. ORSs include both sodium and glucose because, without glucose, intestinal sodium is not actively absorbed7. Several antisecretory agents were evaluated to limit the secretory diarrhea in in vitro model without affecting ORSs efficacy21. The optimal concentrations of sodium and glucose in ORS are controversial. WHO and UNICEF have previously published criteria for ORS composition specifying that glucose should at least equal that of sodium within the range of 60–90 mEq/L22. ESPGHAN recommends an ORS with sodium concentration of 60 mEq/L and glucose concentration ranging 74–111 mmol/l13,15,23,24. We have used a standard validated model to test transepithelial ion transport in condition of RV chloride secretion, since RV is the most frequent and dangerous agent of childhood diarrhea worldwide.
ORSs were first designed to counteract diarrhea by Vibrio cholerae. More recently, other gastrointestinal agents have been recognized as major agents of gastroenteritis and benefit by ORSs effects, being diarrhea under the control of the same ion secretion mechanisms.
This is the first in vitro study investigating ORSs composition and their effects on transepithelial ion transport in basal and in conditions of RV infection. The basal hydro-electrolyte tone of enterocytes depends on the sodium/glucose ratio and an optimal proabsorptive effect is observed with Na+/glucose ratio between 0.64 and 0.82. ESPGHAN ORS has the most effective ratio (0.75).
This value corresponds to 3 sodium ions and 4 glucose molecules, which is different to the ratio of SGLT-1, i.e., 2 sodium ions and 1 glucose molecule. Because sodium is an abundant component of the extracellular medium, more glucose probably boosts pump activity.
The proabsorptive effect of ESPGHAN ORS was also observed in RV-infection model. Titration experiments allowed us to identify efficacy ranges for both sodium and glucose (80–110 mM glucose and 45–60 mEq/L of sodium). Practical guidelines of ESPGHAN for the management of gastroenteritis in children support the use of hyposmolar solution (74–111 mM glucose and 60 mEq/L sodium)24. Three of the four commercial ORSs chosen tested in our in vitro model already have a lower sodium concentration in order to improve palatability. Commercially available ORSs formulations are substantially different containing several functional factors, i.e., zinc and/or prebiotics to promote the intestinal functions. We and others have shown that zinc promotes ion absorption25. However, it does that in a well concentration range that has a narrow safety spectrum26. In addition, aromas and sweeteners are often present as ingredients in order to improve the palatability. Both palatability and osmolarity are key elements for efficacy. On the one hand, palatability is a major limit of intake, although very dehydrated children drink “salty” ORS in the attempt to replace sodium loss. On the other hand, hyposmolar solutions support net fluid absorption27,28. Therefore, optimal concentrations should consider both chemical composition and palatability.
Of course, our findings in an in vitro study on the direct interaction between ORS and the enterocyte need to be considered as a proof of concept of the critical aspect of ORS composition and may provide the basis for optimizing the composition of ORS formula. This needs to be confirmed by clinical trials. However, our data challenge the classical composition of ORS in a time in which RV is still a major agent of gastroenteritis and a killer in childhood.
Materials and Methods
Cell line
Caco-2 cells were used as they differentiate in mature enterocytes of upper villus forming monolayers. Cells were grown in high glucose DMEM with 10% fetal calf serum (FBS), 1% non-essential amino acids, 50 mU/ml penicillin, and 50 mg/ml streptomycin. Caco-2 cells were grown for 15–18 days after confluence on polycarbonate Snapwell filters (pore size 0,4 micron) (Costar Italia, Milan, Italy).
Oral rehydration solutions (ORSs)
The composition of all ORSs used in this study are listed in Table 1. Caco-2 cell monolayers were stimulated with ORSs 30 minutes before RV infection.
Virus strain and infection protocol
Caco-2 cell monolayers were infected with the simian rotavirus strain SA11 (RV) at a multiplicity of infection (MOI) of 25. RV was previously activated with 20 ug/mL trypsin for 1 hour at 37 °C. Viral suspension was added to the apical side of the Caco-2 cell monolayers for 1 hour at 37 °C, and the cells were then rinsed 3 times and incubated in fetal calf serum–free medium for 1 hour. Finally, Caco-2 cells were mounted in the Ussing chamber system as described below. The model has been used to test the effects of antimicrobial drugs29 and has become a standard tool for studying the direct effects of drugs and toxins in human enterocytes. After infection, cell monolayers were mounted in Ussing chambers to test the effect of several ORSs. The cells were incubated with ORSs after RV infection, and electrical parameters were then measured in Ussing chambers.
Ion transport studies
Caco-2 cells monolayers were short-circuited by a voltage clamp in Ussing chambers (Physiological Instruments, San Diego, CA). The Ussing chamber system is used to measure ion transport in polarized tissue, such as gut mucosa or in a monolayer of cells grown on permeable supports. Electrical parameters measured in Ussing systems include transmembrane voltage (Vt expressed in mV), epithelial membrane resistance expressed as tissue ionic conductance (G measured in mS/cm2), and short circuit current (Isc expressed in µA/cm2; the current required to bring Vt to 0 mV). Every 20 sec, current pulses were passed across the epithelium, and the current was recorded and transepithelial resistance (R) was calculated.
Isc was used as parameter of the secretory/absorptive response in all experimental conditions. In order to obtain a more reliable evaluation of the overall secretory/absorptive response, Isc data points between the time period of 10 to 50 mins were used to calculate the integrated response. Area under the curve (ʃIsc dt; named AUC) was calculated by a numerical integration procedure after subtraction of baseline Isc and was used as a measure of the integrated response of Caco-2 cell monolayers in experimental conditions. In addition, the peak of Isc response obtained in the time period considered (after subtraction of baseline Isc; named Δ Isc) was used as a measure of the secretory/absorptive response. Negative value of AUC and Δ Isc indicate a proabsorptive effect and positive ones indicate an active ion secretion. AUC is a parameter indicating the potency of the effect, whereas the maximal increase in Isc (Δ Isc) is considered as the peak effect.
Statistical analysis
We used GraphPad Prism Software (San Diego, CA) to evaluate the two-tailed unpaired Student’s t test and a two-tailed paired Student’s t test to evaluate statistical significance. An alpha value of 0.05 was set for statistical significance. p values for each analysis are indicated in figure legends.
In addition, we find a correlation between biological effects observed and ORSs parameters. After plotting mean value on Excel graph, trendline tool was applied. The best fitted equation was considered for R2 value > 0,9. The equations and R2 are indicated in the text.
References
Nalin, D. R. et al. Comparison of sucrose with glucose in oral therapy of infant diarrhoea. Lancet (London, England) 2, 277–9 (1978).
Binder, H. J., Brown, I., Ramakrishna, B. S. & Young, G. P. Oral Rehydration Therapy in the Second Decade of the Twenty-first Century. Curr. Gastroenterol. Rep. 16, 376 (2014).
Tate, J. E. et al. Global, Regional, and National Estimates of Rotavirus Mortality in Children <5 Years of Age, 2000-2013. Clin. Infect. Dis. 62, S96–S105 (2016).
Wang, H. et al. Global, regional, and national life expectancy, all-cause mortality, and cause-specific mortality for 249 causes of death, 1980–2015: a systematic analysis for the Global Burden of Disease Study 2015. Lancet 388, 1459–1544 (2016).
Burnett, E., Parashar, U. D. & Tate, J. E. Global impact of rotavirus vaccination on diarrhea hospitalizations and deaths among children <5 years old: 2006–2019. J. Infect. Dis. https://doi.org/10.1093/infdis/jiaa081 (2020).
GBD Diarrhoeal Diseases Collaborators, C. et al. Estimates of global, regional, and national morbidity, mortality, and aetiologies of diarrhoeal diseases: a systematic analysis for the Global Burden of Disease Study 2015. Lancet. Infect. Dis. 17, 909–948 (2017).
Chen, L., Tuo, B. & Dong, H. Regulation of Intestinal Glucose Absorption by Ion Channels and Transporters. Nutrients 8 (2016).
Hirschhorn, N. The treatment of acute diarrhea in children. An historical and physiological perspective. Am. J. Clin. Nutr. 33, 637–63 (1980).
World Health Organization. ORAL REHYDRATION SALTS Production of the new ORS. 1–123 (2006).
Fayad, I. M., Hirschhorn, N., Abu-Zikry, M. & Kamel, M. Hypernatraemia surveillance during a national diarrhoeal diseases control project in Egypt. Lancet (London, England) 339, 389–93 (1992).
Avery, M. E. & Snyder, J. D. Oral therapy for acute diarrhea. The underused simple solution. N. Engl. J. Med. 323, 891–4 (1990).
Thillainayagam, A. V., Hunt, J. B. & Farthing, M. J. Enhancing clinical efficacy of oral rehydration therapy: is low osmolality the key? Gastroenterology 114, 197–210 (1998).
Recommendations for composition of oral rehydration solutions for the children of Europe. Report of an ESPGAN Working Group. J. Pediatr. Gastroenterol. Nutr. 14, 113–5 (1992).
Messahel, S. & Hussain, T. Oral rehydration therapy: a lesson from the developing world. Arch. Dis. Child. 93, 183–4 (2008).
Guarino, A. et al. European Society for Paediatric Gastroenterology, Hepatology, and Nutrition/European Society for Paediatric Infectious Diseases evidence-based guidelines for the management of acute gastroenteritis in children in Europe. J. Pediatr. Gastroenterol. Nutr. 46, S81–122 (2008).
Lo Vecchio, A. et al. Comparison of Recommendations in Clinical Practice Guidelines for Acute Gastroenteritis in Children. J. Pediatr. Gastroenterol. Nutr. 63, 226–35 (2016).
Ussing, H. H. Transport through biological membranes. Annu. Rev. Physiol. 15, 1–20 (1953).
Herrmann, J. R. & Turner, J. R. Beyond Ussing’s chambers: Contemporary thoughts on integration of transepithelial transport. American Journal of Physiology - Cell Physiology 310, C423–C431 (2016).
De Marco, G. et al. Rotavirus induces a biphasic enterotoxic and cytotoxic response in human-derived intestinal enterocytes, which is inhibited by human immunoglobulins. J. Infect. Dis. 200, 813–9 (2009).
Bump, J. B., Reich, M. R. & Johnson, A. M. Diarrhoeal diseases and the global health agenda: measuring and changing priority. Health Policy Plan. 28, 799–808 (2013).
Lexmond, W. S., Rufo, P. A., Fiebiger, E. & Lencer, W. I. Electrophysiological Studies into the Safety of the Anti-diarrheal Drug Clotrimazole during Oral Rehydration Therapy. PLoS Negl. Trop. Dis. 9, 1–10 (2015).
WHO Drug Information Vol. 16, No. 2, 2002. Available at, http://apps.who.int/medicinedocs/en/d/Js4950e/. (Accessed: 26th January 2016).
Guarino, A., Albano, F. & Guandalini, S. Oral rehydration: toward a real solution. J. Pediatr. Gastroenterol. Nutr. 33(Suppl 2), S2–12 (2001).
Sandhu, B. K. Practical guidelines for the management of gastroenteritis in children. J. Pediatr. Gastroenterol. Nutr. 33(Suppl 2), S36–9 (2001).
Berni Canani, R., Buccigrossi, V. & Passariello, A. Mechanisms of action of zinc in acute diarrhea. Curr. Opin. Gastroenterol. 27, 8–12 (2011).
Canani, R. B. et al. Zinc Inhibits Cholera Toxin – Induced, but Not Escherichia coli Heat-Stable Enterotoxin – Induced, Ion Secretion in Human Enterocytes. J. Infect. Dis. 191, 1072–1077 (2005).
Kiers, J. L. et al. Effect of osmolality on net fluid absorption in non-infected and ETEC-infected piglet small intestinal segments. Res. Vet. Sci. 81, 274–9 (2006).
World Health Organization. Clinical Management of Acute Diarrhoea. World Health Organization; United Nations Children’s Fund. WHO/UNICEF joint statement: clinical management of acute diarrhea. (2004). Available at, http://apps.who.int/iris/bitstream/10665/68627/1/WHO_FCH_CAH_04.7.pdf. (Accessed: 30th January 2016).
Buccigrossi, V. et al. Chloride secretion induced by rotavirus is oxidative stress-dependent and inhibited by Saccharomyces boulardii in human enterocytes. PLoS One 9, e99830 (2014).
Acknowledgements
The authors would like to thank Prof. Stefano Guandalini for critical review. This paper is dedicated to the memory of Prof. Luigi Maiuri.
Author information
Authors and Affiliations
Contributions
V.B., A.G. conceived the project; V.B., A.G. supervised the research; C.R., A.M., S.T., V.C. performed the experiments; V.B., C.R., A.M. analyzed the data; V.B., A.G. prepared the figures and the manuscript; V.B., A.L.V., E.B., A.G. reviewed the manuscript.
Corresponding author
Ethics declarations
Competing interests
The study was in part funded by Milte Italia S.p.A. The funding sponsors had no role in the design of the study; in the collection, analyses, or interpretation of data; in the writing of the manuscript, and in the decision to publish the results.
Additional information
Publisher’s note Springer Nature remains neutral with regard to jurisdictional claims in published maps and institutional affiliations.
Supplementary information
Rights and permissions
Open Access This article is licensed under a Creative Commons Attribution 4.0 International License, which permits use, sharing, adaptation, distribution and reproduction in any medium or format, as long as you give appropriate credit to the original author(s) and the source, provide a link to the Creative Commons license, and indicate if changes were made. The images or other third party material in this article are included in the article’s Creative Commons license, unless indicated otherwise in a credit line to the material. If material is not included in the article’s Creative Commons license and your intended use is not permitted by statutory regulation or exceeds the permitted use, you will need to obtain permission directly from the copyright holder. To view a copy of this license, visit http://creativecommons.org/licenses/by/4.0/.
About this article
Cite this article
Buccigrossi, V., Lo Vecchio, A., Bruzzese, E. et al. Potency of Oral Rehydration Solution in Inducing Fluid Absorption is Related to Glucose Concentration. Sci Rep 10, 7803 (2020). https://doi.org/10.1038/s41598-020-64818-3
Received:
Accepted:
Published:
Version of record:
DOI: https://doi.org/10.1038/s41598-020-64818-3
This article is cited by
-
Electrospinning Encapsulation of Electrolytes and Their In Vitro Transdermal Release Modeling
Food and Bioprocess Technology (2026)
-
Fluid management in children with volume depletion
Pediatric Nephrology (2024)
-
Effect of preoperative oral rehydration before cesarean section on ultrasound assessment of gastric volume and intraoperative hemodynamic changes: a randomized controlled trial
BMC Anesthesiology (2023)









