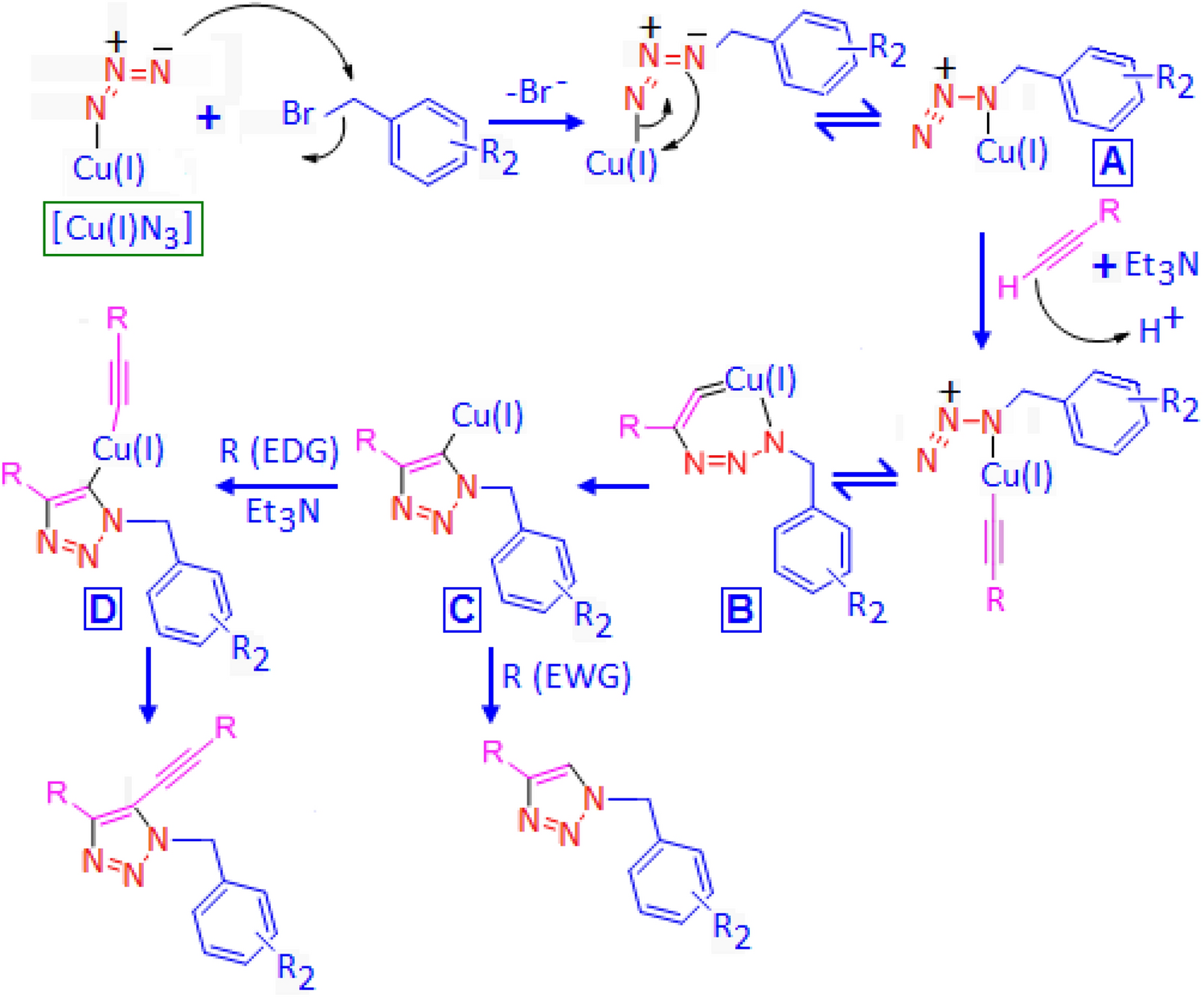
Figure 3

Proposed mechanism for CANP mediated azide-alkyne cyclo addition reaction using alkyne molecule with electron donating group (EDG) and electron withdrawing group (EWG).

Proposed mechanism for CANP mediated azide-alkyne cyclo addition reaction using alkyne molecule with electron donating group (EDG) and electron withdrawing group (EWG).