Abstract
The invasion of Spodoptera frugiperda has imposed a serious impact on global food security. Matrine is a botanical pesticide with a broad spectrum of insecticidal activity which was recommended for controlling Spodoptera frugiperda. In order to discover effective insecticide for Spodoptera frugiperda, two matrine derivatives modified with carbon disulfide and nitrogen-containing groups were systhesized. And their inhibition activities on Sf9 cell were evaluated. The structural configuration of compounds were characterized by IR, HPLC, MS, NMR and XRD, with yields of 52% and 65%, respectively. The IC50 of the two newly synthesized compounds on Sf9 cell reduced to 0.648 mmol/L and 1.13 mmol/L, respectively, compared with that of matrine (5.330 mmol/L). In addition, microscopic observation of Sf9 cell treated with the compounds showed that the number of adherent cells decreased, the cells shrunk, vacuolated and apoptotic bodies appeared. The two newly synthesized compounds exhibited better inhibitory effect on Sf9 cell than that of the parent matrine, suggesting that the positive effect of the introduction of 1-pyrrolidinecarbodithioate and diethylcarbamodithioate groups to matrine. The morphological observation of Sf9 cell induced by derivatives indicated that apoptosis induction may be a mechanism that inhibits insect cell proliferation and exerts insecticidal effect.
Similar content being viewed by others
Introduction
The invasion of Spodoptera frugiperda (S. frugiperda) with strong resistance and migration ability has imposed a serious impact on global food security. Relevant reports and studies have shown that it is an omnivorous pest with great appetite which may result in reduced or lost harvest1. With the help of air currents and monsoons, S. frugiperda which were divided into corn-strain and rice-strain, can spread across continents2,3,4. Therefore, it is extremely difficult to make the prevention and control of S. frugiperda due to its severe harm, fast mobility, wide spreading range, strong drug resistance, etc.
The severity of the insect pests has aroused great attention from the people, and many effective methods for controlling S. frugiperda were used5. Due to the resistance of S. frugiperda, many traditional synthetic insecticides have not been recommended for use, including organophosphorus, pyrethroids, carbamates and so on, among which its resistance to pyrethroid pesticide has reached hundreds of times6,7. Researchers have begun exploring natural ingredients as active compounds for the prevention and control of S. frugiperda. Studies on the insecticidal activities of natural compounds and their derivatives against S. frugiperda have been reported, such as botanical essential oils and sesquiterpenoids. It was found that methylchavirol has an effect on development and metabolism of the insect, while pepper oil has an effect on embryo development8,9. And the examination of 18 sesquiterpenoids showed that the drimanic family with C-9 carbonyl and C-8 and C-9 epoxides have significant antifeedant activity against S. frugiperda and Epilachna paenulata, suggesting the important of structure–activity relationship for exploring pesticides10. However, a few active ingredients have been investigated to effectively control S. frugiperda, so there is an urgent need to develop highly effective biological pesticides.
It has been reported that new amides and Bt toxins have a potential to control S. frugiperda11,12,13. As a biological pesticide with lactam structure, matrine has been recommended as a biological pesticide for controling S. frugiperda. However, the promotion of matrine as a biological pesticide is severely hampered by insignificant activity, slow efficacy and low bioavailability. It is a common method to develop new pesticides by modifying the structure of natural compounds14. A series of novel quinolinomatrine derivatives which were designed and synthesized from natural product insecticide exhibited good insecticidal and acaricidal activities15. The introduction of trifluoroethoxy-containing carbonyl thiourea, trifluoroethyl ether, propargyl ether and diacylhydrazine bridge groups can significantly improve the insecticidal activity of anthranilamide16,17,18,19. According to the special insecticidal mechanism of pyridalyl against lepidopterous larvae, 1,1-dichloropropene derivatives bearing structurally diverse substituted heterocycle rings that replace the pyridine ring of pyridalyl have been designed and synthesized, and the compounds displayed significant insecticidal activity against prodenia litura and diamondback moths20. In addition, our previous studies showed that introducing carbon disulfide and cyclohexylamine groups can improve the toxicity of matrine to Lipaphis erysimi and Mulberry Root-Knot Nematode, while the introduction of indole and cyclohexylamine groups can increase the inhibition activity of matrine on Sf9 cell21,22.
Studying the cytotoxicity of insecticides is helpful to further study insecticidal mechanism. For example, β-Asarone extracted from Acorus calamus Linn exhibited inhibitory activity on Sf9 cell through apoptosis induction23. Vip3Aa protein showed a high toxicity against lepidopteran insect larvae and promoted apoptosis of Sf9 cell through mitochondrial dysfunction24,25. And synthesized proVip3Aa toxin caused cell disruption and death via apoptosis26. Moreover, recombinant virus AcMNPV-Ac34-EGFP could activate the JNK apoptotic signaling pathway to inhibit the proliferation of Sf9 cell, and curcumin could induce nucleophagy by blocking the activation of PI3K/AKT/TOR pathways27,28. Research on the insecticidal mechanism is of great significance to the development of insecticides.
Carbon disulfide is used as an intermediate for pesticides, and nitrogen-containing substances are used as active modification groups29,30. Particularly, nitrogen-containing heterocycles proved to have strong systemic conductivity and unique biological activity31,32. This research aims to improve the inhibitory activity of matrine on S. frugiperda cells by modifing the structure of matrine. Two new compounds were designed and synthesized by introducing 1-pyrrolidinecarbodithioate and diethylcarbamodithioate groups, and their insecticidal effects on Sf9 cell were also explored in vitro.
Results
Chemical synthesis
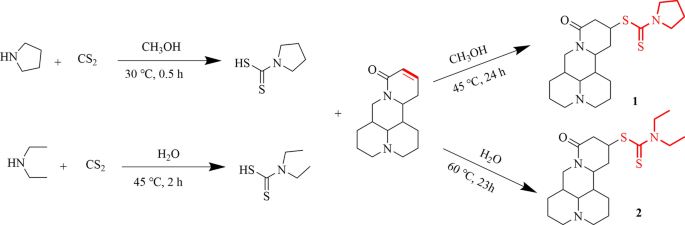
The synthesis of two compounds were carried out by two nucleophilic additions in one-pot (Fig. 1). Firstly, the amine reacted with carbon disulfide to synthesize intermediate compounds (1-pyrrolidinecarbodithioic acid, diethylcarbamodithioic acid). Secondly, the intermediate compounds reacted with sophocarpine to produce the target products. Experiments showed that carbon disulfide could also react with sophocarpine at the first step, but the yields were low. Compounds 1 and 2 were reacted in ethanol and ultrapure water, respectively. The unreacted reactant and solvent were separated, and crystals were obtained after purification with the yields of 52% and 65%, respectively.
Synthesis of matrine derivative compounds 1 and 2.
Spectroscopic characterization
The IR spectra of compounds 1 and 2 are shown in Fig. 2. The strong peak at 1635 cm−1 and 1639 cm−1 were assigned to carbonyl group absorption. Additionally, due to the introduction of the groups, the peak at about 1600 cm−1 which was assigned to carbon–carbon double bond of sophocarpine disappeared. And the characteristic bands at about 1068 cm−1 and 1067 cm−1 can be assigned to the ν(C=S) absorption. It indicates that the active groups were introduced into matrine.
IR spectra of the obtained matrine derivative compounds 1 and 2.
HPLC chromatograms of sophocarpine, compounds 1 and 2 are shown in Fig. 3a–c. The retention time of sophocarpine, compounds 1 and 2 were at 6.776, 7.894 and 7.618 min, respectively. Combined with IR spectra analysis, active groups were introduced into matrine, and the obtained compounds were pure.
HPLC chromatograms of sophocarpine (a), and compounds 1 (b) and 2 (c).
The mass spectrum of compounds 1 ~ 2 are showed in Supplementary Figs. 1S and 2S online. The molecular formula were determined as C20H31N3OS2 and C20H33N3OS2 on the basis of ESI–MS ion peaks at m/z 393.19 ([M + H]+, calcd 394.8) and 395.21 ([M + H]+, calcd 396.7) respectively.
The composition of compounds 1 and 2 are determined by NMR spectroscopy, as shown in Supplementary Figs. 3S–6S online. The C13 of compounds 1 and 2 showed two triplet at about 2.8 ppm in 1H NMR spectroscopy, and a singlet at about 42 ppm in the 13C NMR spectroscopy. The chemical shift peak at about 166 ppm was attributed to the carbon atom of carbonyl from matrine. Even if the chemical structure difference is very small, the peak can be separated in carbon and hydrogen spectrum. The chemical shift of carbon–sulfur double bond (C=S) in compounds 1 and 2 were observed at 190.91 ppm and 193.53 ppm, respectively. And the multiplets at 1.94–2.01 ppm in the 1H NMR spectroscopy and singlet at 20.89 ppm in the 13C NMR spectroscopy can be assigned to the C24, 25 of the compound 1. The C24, 25 of compound 2 showed a triplet at 1.27 ppm in 1H NMR spectrum, and a singlet at 11.71 ppm and 12.66 in the 13C NMR spectroscopy, respectively. This is because the pyrrolidinyl group is cyclic, while the diethylamine group is chain. Thus, the FT-IR and LR–ESI–MS analysis results both demonstrate the successful synthesis of matrine derivatives.
Structural descriptions
X-Ray diffraction patterns of compounds 1 and 2 were collected by a XtaLAB PRO MM007HF diffractometer. The crystals were kept at 100.00 (10) K during data collection. Table 1 summarized the pertinent crystallographic data and refinement details of compounds 1 ~ 2. The crystal data of these two substances have never been published previously.
The crystallographic data of compounds 1 and 2 have been deposited with the Cambridge Crystallographic Data Centre as supplementary publication number CCDC 1576162 and 1576161, respectively. Some key crystallographic data of compounds 1 and 2 were provided in Tables 1 and 2. In addition, our previous work had reported the crystallographic data of sophocarpine28. Therefore, the single crystal diffraction analysis will be compared with the previous data. After the Michael addition reaction, the carbon–carbon double bonds of sophocarpine disappeared, causing the bond length in the lactam ring to stretch, and the bond angle also changed to varying degrees which also indicated that the pyrrolidine and diethylamine groups were successfully introduced.
In compound 1, matrine and carbon disulfide were linked by S19-C13 with the bond length of 1.812 (2) Å, forming the bond angle of C12-C13-S19 110.41 (17)°. In addition, carbon disulfide and pyrrolidine were linked by C20-N22 with the bond length of 1.332 (3) Å, forming the bond angle of C20-N22-C23 [123.1(2)°] (Fig. 4a). Similarly, the bond lengths of S19-C13 and C20-N22 of compound 2 were 1.817 (3) Å and 1.339 (4) Å, forming the bond angles of C12-C13-S19 [113.1 (2)°] and C20-N22-C23 [121.1(3)°] (Fig. 4c). In the pyrrolidine group of compound 1, the bond angles of C23-N22-C26 and C25-C26-N22 were 111.51 (18)° and 103.2 (2)°, respectively. However, in the compound 2 with a chain diethylamine, the bond angles of C23-N22-C26 and C25-C26-N22 were 115.5 (3)° and 112.6 (3)°, respectively.
Crystal structure (a, c) and the pack pictures (b, d) of compounds 1 and 2.
The molecules were arranged in order to form a crystal structure, and there was no hydrogen bond between the molecules in compound 1 (Fig. 4b). The oxygen atom in the molecule of compound 2 and the hydrogen atom in the molecule of H2O formed an O18–H3 bond with the bond length of 1.847 Å. And it was found that every two molecules were linked by three H2O molecules, and every four H2O molecules formed an eight-membered ring through hydrogen bonding. The eight-membered ring were alternately connected by H2O containing O1W and O2W atoms, forming the bond with O1W–H1 [0.842 Å], O1W–H2 [0.740 Å], O1W–H4 [2.009 Å] and O2W–H1 [2.032 Å], O2W–H2 [2.157 Å], O2W–H3 [0.867 Å], O2W-H4 [0.788 Å], respectively (Table 2). Finally, compound 2 was connected to the H2O molecule and folded into an ordered supramolecular network structure (Fig. 4d).
Cytotoxic effect on Sf9 insect cell
Figure 5 displayed the growth curve of Sf9 cell treated with 1.0% DMSO and blank control group (Fig. 5a), from which it can be seen that the growth curve of Sf9 cell treated with 1.0% DMSO was almost replicated that of the blank control group. It was observed that the number of cells entered a logarithmic growth phase in 24 h. The observation and analysis of Inverted Phase Contrast Microscopy (IPCM) showed that the Sf9 cell treated with 1.0% DMSO were in a good condition at 24, 48, and 72 h, showing complete adherence, vigorous cell proliferation, and in a long or fusiform shape (Fig. 6a–c). Thus, it indicates that 1.0% DMSO can be used as a solvent for the test compounds.
The growth curve of Sf9 cell treated with 1.0% DMSO compared with the blank control group (a), inhibition rate of Sf9 cell after treatment with matrine (b), and compounds 1 (c) and 2 (d).
Analysis of proliferation and cell morphological changes (200 ×) of Sf9 cell in 1.0% DMSO as the control (a–c) or induced by matrine (d–f), compound 1 (g–i), or compound 2 (j–l) at 24, 48 and 72 h.
The effects of matrine on Sf9 cell are showed in Fig. 5b. Matrine promoted the proliferation of Sf9 cell at a concentration less than 3.0 mmol/L, but inhibited the proliferation at a concentration above 3.0 mmol/L. The inhibition rate of matrine at 4.5 mmol/L was 30.20% at 72 h. Moreover, the inhibition rate gradually improved with increasing treatment time and concentration, suggesting that inhibition activity of matrine against Sf9 cell were concentration-dependent and time-dependent. The half maximal inhibitory concentration (IC50) of matrine to Sf9 cell was 8.586, 5.402 and 5.336 mmol/L at 24 h, 48 h and 72 h, respectively (Table 3). Compared with the blank control group, most of the cells treated with matrine were in a normal growth state at 24 h and 48 h, while the number of adherent cells was reduced at 72 h, when the cell membrane was translucent and some cells shrank in size (Fig. 6d–f).
As can be clearly seen from Fig. 5c, compound 1 showed remarkable inhibitory effects against Sf9 cell. The 24 h inhibitory rate of the compound 1 on Sf9 cell was above 90% at 2.5 mmoL/L, and the 24 h inhibition rate reached about 100% when the concentration was 3.0 mmoL/L. Compared with matrine, the IC50 of compound 1 was greatly reduced, being 1.271, 0.938 and 0.648 mmol/L at 24 h, 48 h and 72 h, respectively (Table 3). The results of IPCM observation of the cells treated with 2.5 mmoL/L compound 1 for 24 h showed that the number of adherent cells decreased sharply, and the volume of the cells shrank to a circular shape, although a small number of cells were still dividing in Fig. 6g. The cells shrank and shed at 48 h, when the cell membrane became brighter, the cytoplasm color darkened, and apoptotic bodies appeared, indicating that apoptosis occurred after 48 h of induction (Fig. 6h). Furthermore, the cells were severely vacuolated, and there were no normal cells in the visual field at 72 h (Fig. 6i).
Compound 2 at medium–low concentration (less than 1.4 mmol/L) showed a low inhibitory effect on Sf9 cell, and the 24 h inhibition rate was less than 50%. However, the inhibition rate reached 86.34% when the cells were treated with compound 2 at 1.6 mmol/L for 72 h (Fig. 5d). And the IC50 of compound 2 against Sf9 cell attained 4.646, 1.389 and 1.130 mmol/L at 24 h, 48 h and 72 h, respectively (Table 3). Combined with IPCM analysis, compound 2 significantly inhibited the proliferation of Sf9 cell. The number of adherent cells decreased, and the volume of some cells shrank and became round after treated with compound 2 at 1.6 mmol/L for 24 h (Fig. 6j). The number of adherent cells continued to decline gradually, and most of the cells became round and shrank after induction for 48 and 72 h (Fig. 6k–l). In addition, the cells exhibited vacuolated and chromatin-colored, indicating occurance of apoptosis at 72 h (Fig. 6l).
In summary, compared with matrine, both compounds 1 and 2 showed significant inhibitory effects on Sf9 cell, suggesting that the introduction of 1-pyrrolidinecarbodithioate and diethylcarbamodithioate groups can effectively enhance the inhibitory effect of matrine on Sf9 cell. Although the structures of the compounds 1 and 2 are similar, differing only in the nitrogen function groups introduced, i.e., heterocyclic nitrogen ring in compound 1 and a chain structure of amine in compound 2, the activity of the compound 1 was found to be much higher than that of compound 2, likely owing to the unique biological activity of the nitrogen-containing heterocycles31,32.
Conclusions
Two matrine derivatives containing carbon disulfide and nitrogen-containing groups were successfully synthesized, and their structures were confirmed by various structure characterization techniques. The in vitro activity tests indicated that two matrine derivative compounds 1 and 2 exhibited significant cytotoxic activity against Sf9 cell, suggesting the introduction of 1-pyrrolidinecarbodithioate and diethylcarbamodithioate groups to matrine molecular structure could greatly increase the insecticidal activity of matrine significantly. The results of this work provides a new direction for controlling S. frugiperda and a method for improving pesticide activity of matrine through structural modification.
Materials and methods
Materials
Sophocarpine (purity ≧ 98%) and matrine (purity ≧ 98%) were purchased from Baoji Fangsheng Biological Development Co., Ltd. Pyrrolidine was purchased from Shanghai Macklin Biochemical Co., Ltd. Carbon disulfide, petroleum ether, and anhydrous methanol were purchased from Tianjin Damao Chemical Reagent Factory. Diethylamine was purchased from Shanghai Aladdin Biochemical Technology Co., Ltd. Absolute ethanol, ethyl acetate and dichloromethane were purchased from Tianjin Kaitong Chemical Reagent Co., Ltd., Tianjin Beilian Fine Chemical Development Co., Ltd., and Tianjin Best Chemical Co., Ltd., respectively. Fetal bovine serum (FBS), antibiotics and phosphate buffer solution (PBS) were purchased from Gibco. Dimethyl sulfoxide (DMSO) and Thiazole blue (MTT) were purchased from SIGMA and Guangzhou Qiyun Biotechnology Co., Ltd., respectively.
Analytical methods
Infrared spectra were measured by Spectrum 100 (PerkinElmer) with KBr disk. Mass spectral data were collected by Bruker amaZon speed. 1H NMR and 13C NMR spectra were obtained on a Bruker AVANCE III HD 500 MHz spectrometer (Bruker). X-Ray diffraction patterns of compounds were collected using an XtaLAB PRO MM007HF diffractometer. An Agilent HPLC 1200 was used for HPLC analysis under the main chromatographic conditions, including a CNW Athena C18-WP (4.6 mm × 250 mm, 5 µm) column, a detection wavelength of 220 nm, and a mobile phase of 10:80:10 (v/v/v) ethanol/Acetonitrile/KH2PO4 (ϕ = 0.3%) at a flow rate of 1.0 mL min−1.
Synthesis of compound 1
Anhydrous methanol (2.00 mL) and carbon disulfide (1.00 mL) were added into a 50 mL three-neck flask equipped with a condensation and reflux device, and stirred vigorously at 30 °C. Pyrrolidine (0.42 mL) was slowly added into the mixture. The reaction was violent, and white smoke was observed. White smoke disappeared after 0.5 h. Sophocarpine (0.31 g) and anhydrous methanol (2.00 mL) were added with stirring and continued reacting for 24 h at 45 °C. Finally, a slightly black and yellow viscous product was obtained. The reaction mixture was collected after adding 10 mL of anhydrous methanol and filtered by Buchner funnel. The concentrated filtrate was separated by column chromatography and eluted with ethanol: ethyl acetate (1:10, v/v). After the initial product was obtained, it was purified by crystallization with mixture of ethanol-petroleum ether (1:4, v/v).
Synthesis of compound 2
Purified water (2.00 mL) and of diethylamine (1.00 mL) were added into a 50 mL three-necked flask equipped with a condensing and refluxing device, and stirred vigorously at 45 °C. Carbon disulfide (0.60 mL) was slowly added into the mixture. A large amount of white smoke and a large amount of white solids were observed in the flask after 2 h. Sophocarpine (0.615 g) and purified water (2.00 mL) were added into the three-neck flask to react at 60 °C for 23 h. A yellow viscous material was obtained. The reaction mixture was obtained after adding 10 mL of dichloromethane and filtered on a Buchner funnel. The concentrated filtrate was separated by column chromatography and eluted with ethyl acetate: methanol (10:1, v/v). The target product obtained by column chromatography was evaporated and concentrated, and crystallized in petroleum ether.
Data for compound 1
Yield: 52%, Colorless. Selected IR data (KBr disk, cm−1): ν (C=O, Carbonyl) 1635 s; ν (C=S, Carbon–sulfur double bond) 1068 s. 1H NMR (500 MHz, CDCl3) δ 1.22–1.53 (m, 4 H), 1.53–1.76 (m, 4 H), 1.94–2.01 (m, 4 H), 2.05 (t, J = 6.6 Hz, 2 H), 2.14–2.27 (m, 4 H), 2.63 (tt, J = 6.7, 17.4 Hz, 4 H), 2.78 (dd, J = 5.2, 17.3 Hz, 1 H), 3.10 (t, J = 12.7 Hz, 1 H), 3.59 (t, J = 6.9 Hz, 2 H), 3.86–4.02 (m, 4 H), 4.37 (dt, J = 4.4, 12.7 Hz, 1 H). 13C NMR (126 MHz, CDCl3) δ 20.89, 21.31, 24.43, 26.18, 27.84, 31.97, 35.75, 37.80, 41.97, 42.57, 50.94, 52.12, 55.04, 57.47, 64.17, 166.87, 190.91. LR–ESI–MS: calculated for C20H31N3OS2 [M + H]+: 393.2, found: 394.8. HPLC: 7.894 min.
Data for compound 2
Yield: 65%, Colorless. Selected IR data (KBr disk, cm-1): ν (C=O, Carbonyl) 1639 s; ν (C=S, Carbon–sulfur double bond) 1067 s. 1H NMR (500 MHz, CDCl3) δ 1.27 (t, J = 6.8 Hz, 6 H), 1.39–1.55 (m, 4 H), 1.55–1.78 (m, 4 H), 1.99 (t, J = 11.4 Hz, 2 H), 2.05–2.29 (m, 4 H), 2.66 (tt, J = 6.8, 17.3 Hz, 4 H), 2.81 (dd, J = 5.1, 17.3 Hz, 1 H), 3.11 (t, J = 12.6 Hz, 1 H), 3.71 (t, J = 7.2 Hz, 2 H), 3.95–4.05 (m, 4 H), 4.38 (dt, J = 4.4, 12.7 Hz, 1 H). 13C NMR (126 MHz, CDCl3) δ 11.71, 12.66, 20.90, 21.33, 26.73, 27.85, 31.88, 35.75, 37.74, 41.97, 42.70, 46.97, 49.39, 52.17, 57.45, 64.09, 166.92, 193.55. LR–ESI–MS: calculated for C20H37N3O3S2 [M + H]+: 395.4, found: 396.7. HPLC: 7.618 min.
Cell line and culture conditions
The fresh medium was configured at the composition of stock liquid: FBS: antibiotic = 90:10:1(v/v/v), and the stock liquid was configured by Grace’s Insect Medium with 0.35 g/L sodium bicarbonate. The growth status of Sf9 cell was observed by IPCM. When the degree of cell fusion exceeded 80%, the old culture solution was discarded and the cells were rinsed with PBS buffer solution. After rinsing the cells, the PBS buffer solution was discarded, and fresh medium was added to pipette and resuspend the Sf9 cell. Finally, the cells were removed from the ultra-clean bench and returned to a conventional biochemical incubator for incubation at 27 °C. Passaging the cells every 3 days to ensure that the cells are in the logarithmic growth phase as needed in the experiments.
Evaluation of cells viability by 3-(4,5-dimethylthiazole-2yl)-2,5-diphenyl (MTT) assays
Sf9 cell in good condition were selected to prepare a cell suspension with a density of 6 × 104–8 × 104 cells/mL. And then the Sf9 cell were incubated in a 96-well plate with 100 µL cell suspensions in each well at 27 °C for 24 h. Different concentrations of test compound were added to the test group, and 1.0% DMSO was added to the control group. The experiment was set up with 6 repetitive experiments, and the data of 24, 48, 72 h were recorded. Adding 10 μL of MTT solution (prepared in PBS) to the corresponding wells, followed by incubation in the dark for 4 h in an incubator at a constant temperature. All liquid was discarded and 150 μL of DMSO was added to dissolve the crystalline formazan. After the crystals were completely dissolved, the 96-well plate was removed from the bench. The absorbance (OD value) of the corresponding well was detected at 429 mm with a microplate reader. Cell viability was calculated by the following equation: Inhibition rate (%) = (1 − ODtrest)/(ODcontrol) × 100%.
Morphological observation by inverted phase contrast microscopy (IPCM)
1.5 ~ 2.0 mL of cell suspension was added to each well in a 6-well plate, and the cells entered the logarithmic growth phase after 24 h of culture. One well was set as the blank control group, and the test compound was added to the remaining wells. The 6-well plate was placed in a biochemical incubator to continue culturing the cells, and the cell morphology was observed and recorded with IPCM after 24, 48, and 72 h, respectively.
Statistical analysis
The chemical structures were drawn by Chemdraw. Infrared spectras were processed by Origin 2019. Mass spectrums were processed by Qualitative Analysis of Mass Huter Acquisition Date. The NMR spectroscopys were analyzed by MestReNova. Single crystal diffraction data were obtained by Olex 2. The inhibition rates were performed using origin 9.0 and SPSS statistics software, and the standard deviation (SD) of six independent experiments were calculated. Histograms were drawn from the inhibition rates of Sf9 cell induced by different concentrations of compounds at 24, 48, and 72 h. And a linear fit was performed on the inhibition rates at 24 h, 48 h, and 72 h induction time to determine the IC50 of the compounds on the Sf9 cell.
References
Groote, H. D. et al. Spread and impact of fall armyworm (Spodoptera frugiperda J.E. Smith) in maize production areas of Kenya. Agric. Ecosyst. Environ. 292, 106804–106814 (2020).
Dos Santos, L. F. C. et al. Leaf damage by Spodoptera frugiperda J. E. Smith (Lepidoptera: Noctuidae and its relation to leaf morphological traits in maize landraces and commercial cultivars. J. Plant. Dis. Prot. 127(1), 103–109 (2020).
Haenniger, S. et al. Sexual communication of Spodoptera frugiperda from West Africa: adaptation of an invasive species and implications for pest management. Sci. Rep. 10(1), 2892–2911 (2020).
Wu, Q., Jiang, Y. & Wu, K. Analysis of migration routes of the fall armyworm Spodoptera frugiperda (J. E. Smith) from Myanmar to China. Plant. Protection. 45(2), 1–9 (2019).
Kumela, T. et al. Farmers’ knowledge, perceptions, and management practices of the new invasive pest, fall armyworm (Spodoptera frugiperda) in Ethiopia and Kenya. Int. J. Pest. Manage. 2018, 1–9 (2018).
Yu, S. Insecticide resistance in the fall armyworm, Spodoptera frugiperda (J. E. Smith). Pestic. Biochem. Phys. 39(1), 84–91 (1991).
Yu, S., Nguyen, S. & Abo-Elghar, G. Biochemical characteristics of insecticide resistance in the fall armyworm, Spodoptera frugiperda (J. E. Smith). Pest. Biochem. Phys. 77(1), 1–11 (2003).
De Menezes, C. W. G. et al. Biocontrol potential of methyl chavicol for managing Spodoptera frugiperda (Lepidoptera: Noctuidae), an important corn pest. Environ. Sci. Pollut. Res. Int. 27(5), 5030–5041 (2020).
Guedes, C. A. et al. Evaluation of Piper marginatum (Piperales: Piperaceae) oil and geraniol on the embryonic development of Spodoptera frugiperda (Lepidoptera: Noctuidae) in comparison to formulated products. J. Econ. Entomol. 113(1), 1–10 (2020).
Montenegro, I. J. et al. Antifeedant effect of polygodial and drimenol derivatives against Spodoptera frugiperda and Epilachna paenulata and quantitative structure-activity analysis. Pest. Manag. Sci. 74, 1623–1629 (2018).
Batista-Pereira, L. G. et al. Insecticidal Activity of Synthetic Amides on Spodoptera frugiperda. Z. Naturforsch. C. 61(3–4), 196–202 (2006).
Castral, T. C. et al. Synthesis of a combinatorial library of amides and its evaluation against the fall armyworm Spodoptera frugiperda. J. Agric. Food. Chem. 59(9), 4822–4827 (2011).
Monnerat, R. et al. Evidence of field-evolved resistance of Spodoptera frugiperda to Bt corn expressing Cry1F in Brazil that is still sensitive to modified Bt toxins. PLoS ONE 10(4), e0119544–e0119556 (2015).
Doe, M. et al. Structure, synthesis and biological activity of 14-methoxy-1,2- dehydrocacalol methyl ether, a new modified furanoeremophilane type sesquiterpene from Trichilia cuneata. Cheminform. 35(47), 714–715 (2004).
Huang, J. L., Lv, M., Thapa, S. & Xu, H. Synthesis of novel quinolinomatrine derivatives and their insecticidal/acaricidal activities. Bioorg. Med. Chem. Lett. 28(10), 1753–1757 (2018).
Wang, B. L. et al. Synthesis, insecticidal activities, and SAR studies of novel pyridylpyrazole acid derivatives based on amide bridge modification of anthranilic diamide insecticides. J. Agric. Food. Chem. 61(23), 5483–5493 (2013).
Zhao, Y. et al. Design, synthesis and biological activities of novel anthranilic diamide insecticide containing trifluoroethyl ether. Chinese. J. Chem. 29(1), 51–56 (2013).
Huang, Z. Q. et al. Synthesis, crystal structure, and biological activity of novel anthranilic diamide insecticide containing propargyl ether group. J. Heterocyclic. Chem. 4(53), 1036–1045 (2016).
Zhou, Y. Y., Wei, W., Zhu, L. L., Li, Y. X. & Li, Z. M. Synthesis and insecticidal activity study of novel anthranilic diamides analogs containing a diacylhydrazine bridge as effective Ca2+ modulators. Chem. Biol. Drug. Des. 92(5), 1914–1919 (2018).
Li, J., Wang, Z. Y., Wu, Q. Y. & Yang, G. F. Design, synthesis and insecticidal activity of novel 1,1-dichloropropene derivatives. Pest. Manag. Sci. 71(5), 694–700 (2015).
Cheng, X. A. et al. Semi-synthesis and characterization of some new matrine derivatives as insecticidal agents. Pest. Manag. Sci. 76(8), 2711–2719 (2020).
Cheng, X. A. et al. Synthesis, characterization and in vitro biological evaluation of two matrine derivatives. Sci. Rep. 8(1), 15686–15698 (2018).
Yooboon, T. et al. Cytotoxic effects of β"sarone on Sf9 insect cells. Arch. Insect. Biochem. 102(3), e21596–e21607 (2019).
Hou, X. Y. et al. Mitochondria and lysosomes participate in Vip3Aa-induced Spodoptera frugiperda Sf9 Cell Apoptosis. Toxins. 12(2), 116–131 (2020).
Nimsanor, S. et al. Intracellular localization and cytotoxicity of Bacillus thuringiensis Vip3Aa against Spodoptera frugiperda (Sf9) cells. J. Invertebr. Pathol. 171, 107340–107349 (2020).
Zhang, B. Y., Liang, A. H. & Fu, Y. J. Ac34 protein of AcMNPV promoted progeny virus production and induced the apoptosis in host Sf9 cells. Biotechnol. Lett. 41(1), 147–158 (2019).
Yang, R. P. et al. Starvation-induced autophagy in Spodoptera frugiperda Sf9 ovarian cells: response of Sf9 cells to autophagy. Physiol. Entomol. 44(2), 116–122 (2019).
Veeran, S., Cui, G. F., Shu, B. S., Yi, X. & Zhong, G. H. Curcumin-induced autophagy and nucleophagy in Spodoptera frugiperda Sf9 insect cells occur via PI3K/AKT/TOR pathways. J. Cell. Biochem. 120, 2119–2137 (2019).
DeMartino, A. W., Zigler, D. F., Fukuto, J. M. & Ford, P. C. Carbon disulphide: just toxic or also bioregulatory and/or therapeutic?. Chem. Soc. Rev. 46(1), 21–39 (2017).
Logvinova, M. Y. et al. Relationship between the structure and modifying activity in rubber compounds of molecular complexes of resorcinol and nitrogen-containing heterocyclic compounds. Int. Polym. Sci. Technol. 40(1), 35–39 (2013).
Kartsev, V. G. The first international conference “chemistry and biological activity of nitrogen-containing heterocycles and alkaloids”. Pharm. Chem. J. 36(4), 219–220 (2002).
Shi, L. L. et al. Quinoxalinone as a privileged platform in drug development. Mini-Rev. Med. Chem. 18(5), 392–413 (2018).
Acknowledgements
This work was supported by the National Natural Science Foundation of China (Nos. 21406274, 31970047), the Natural Science Foundation of Guangdong Province (2017A030313140), Guangdong Special Commissioners of Science and Technology (KA1810303), Guangdong Quality Engineering Project and Teaching Team Project (KA190573931, KA190574204) and National Undergraduate Training Program for Innovation and Entrepreneurship (201811347001).
Author information
Authors and Affiliations
Contributions
X.A.C., and X.H.J. designed the experiments; H.Q.H., J.M.Y., X.J.Q., F.Y.D. and H.H.Z. performed the experiment and analyzed the date. H.Q.H. wrote the main manuscript. C.B.X., Z.M.L., Y.H.W., X.J.L. contributed to the writing of the manuscript. All authors reviewed the manuscript.
Corresponding authors
Ethics declarations
Competing interests
The authors declare no competing interests.
Additional information
Publisher's note
Springer Nature remains neutral with regard to jurisdictional claims in published maps and institutional affiliations.
Supplementary information
Rights and permissions
Open Access This article is licensed under a Creative Commons Attribution 4.0 International License, which permits use, sharing, adaptation, distribution and reproduction in any medium or format, as long as you give appropriate credit to the original author(s) and the source, provide a link to the Creative Commons licence, and indicate if changes were made. The images or other third party material in this article are included in the article's Creative Commons licence, unless indicated otherwise in a credit line to the material. If material is not included in the article's Creative Commons licence and your intended use is not permitted by statutory regulation or exceeds the permitted use, you will need to obtain permission directly from the copyright holder. To view a copy of this licence, visit http://creativecommons.org/licenses/by/4.0/.
About this article
Cite this article
He, H., Qin, X., Dong, F. et al. Synthesis, characterization of two matrine derivatives and their cytotoxic effect on Sf9 cell of Spodoptera frugiperda. Sci Rep 10, 17999 (2020). https://doi.org/10.1038/s41598-020-75053-1
Received:
Accepted:
Published:
Version of record:
DOI: https://doi.org/10.1038/s41598-020-75053-1
This article is cited by
-
Moringa olifera leave extracts yielded from irradiated and unirradiated seeds cause toxicity and induce dysregulation of enzymatic activities in fall armyworm, Spodoptera frugiperda (JE Smith, 1797) [Lepidoptera: Noctuidae]
Discover Applied Sciences (2024)
-
Azadirachtin affected the intestinal structure and microbiota of adult Harmonia axyridis (Coleoptera: Coccinellidae) while controlling Spodoptera frugiperda (Lepidoptera: Noctuidae)
Journal of Pest Science (2023)
-
Hemocytic cell line from the moth Glyphodes pyloalis (Lepidoptera: Crambidae) response to essential oils from Artemisia annua (Asterales: Asteraceae)
In Vitro Cellular & Developmental Biology - Animal (2022)








