Abstract
The study is intended to deliver the incidence of heavy metals in the feathers of shorebirds from two important Central Asian Flyway (CAF) migratory shorebirds wintering sites such as the Point Calimere Wildlife Sanctuary (PWLS) and Pichavaram Mangrove Forest (PMF), India. Feathers of fifteen species of shorebirds and seven different metals viz., Cu, Cr, Co, Pb, Hg, Ni and Zn were analyzed. Zn was highest in Dunlin, Little-ringed Plover, Marsh Sandpiper, and Common sandpiper, Ni showed highest in Little ringed plover, and Common sandpiper, Co, Cr, and Cu were maximum in Little stint, Marsh sandpiper, and Dunlin, respectively. The Hg was higher in Black-winged stilt, Common redshank, Curlew Sandpiper, Eurasian curlew, Lesser Sand-plover, Temminck’s stint, Kentish plover, Spotted redshank, and Wood sandpiper, the Pb found highest in Kentish plover, Painted stork, Spotted redshank, Wood sandpiper, Eurasian Curlew, and Lesser sand-plover. The concentration of metals showed significant variations among the species of shorebirds studied (P < 0.001). The mercury negatively correlated with the other metals than the other six metals studied in both the wetlands. The order of metal concentration in the feathers of shorebirds was Zn > Ni > Co > Cr > Cu > Pb > Hg. Nevertheless, the current study revealed that the level of metals in the shorebirds is alarming; since the PWLS and PMF are located along the CAF routes, it needs intensive studies on various pollutions to manage both the resident as well as migratory shorebirds.
Similar content being viewed by others
Introduction
Shorebirds are traveling thousands of kilometers annually to fulfill their energetic demands1. Several shorebirds migrate annually from their breeding grounds to wintering grounds to meet out their energetic demands. In India, several wintering grounds support many shorebirds species during their migration, especially in India's southern parts, for example, Point Calimere Wildlife Sanctuary (PWLS), Kodikkarai and Pichavaram Mangrove Forests (PMF), Tamil Nadu, India. These wintering grounds act as important stopover sites and as the CAF and EAAF migratory routes for several shorebird species during their migration2,3,4,5,6,7,8. However, of late, these wetlands have been polluted by various developmental processes, applying various fertilizers and pesticides in farmlands, and undertaking intensive anthropogenic practices9,10. Among the pollutants, the most prevalent are heavy metals.
In wildlife, aquatic organisms are under severe threat due to pollution, especially metals, in which the tertiary consumer is affected adversely being at the top of the trophic structure, especially shorebirds. Heavy metals have highly contaminated the environment posing severe risks to humans and wildlife11,12. In addition to that, the loss of coastal biodiversity, including shorebirds, are occurred beyond any reasonable doubt13. These losses happen so intensely for the past 50 years, positively correlated with the global economic growth14,15,16. Heavy metal accumulation could influence the shorebird physiology, adversely affecting their feeding habits, growth, age, reproductive stage, moulting, migration and distribution17,18,19.
Studies have reported that over the past twenty years, emerging of factories and unindustrialized farming activities in several regions affected with severe environmental pressures and threats for various properties of soil and sediments20, aquatic ecosystems21, fish22, various tissues in birds23,24,25. Naturally, heavy metals are not biodegradable elements in an ecosystem; the metal could magnify in the superior levels of food chains through food and feeding preferences of several organisms26. Heavy metals are major ecological toxic pollutants that affect the food and feeding behaviour and evolutionary aspects of various species27,28.
The current study planned to analyze heavy metal concentration through non-invasive methods, particularly by using the shorebirds' feathers. Several studies examined the level of heavy metals found at various tissues and organs of various species29, feathers30, eggs31, blood32, eggshells33, and liver and kidney and prey samples of migrant shorebirds30. Since common and proper ethical attentions do not permit the free-ranging animals' sacrifice for biomonitoring34, non-destructive bio-monitoring tools such as analysis of feathers, eggs, and food and prey items avian communities have been used as bioindicators for the evaluation of pollution, particularly metals26.
Among the metals, the current study focussed only on seven metals for analysis as studies shows that metals such as chromium (Cr), copper (Cu), cobalt (Co), mercury (Hg), lead (Hg), nickel (Ni) and zinc (Zn) enter the food chain. They can bio-magnification process31,35 and the metals are highly toxic, which will affect the plant and animals' life in an ecosystem36. Besides, a study revealed that more significant accumulation of these metals extensively threatens the breeding ecology of various wildbirds35.
Several studies piloted the analysis of heavy metals from various sources of aquatic and terrestrial organisms, but the occurrence of metal contamination in feathers of shorebirds, including migratory shorebirds from the two wintering grounds, i.e., PWLS and PMF, Tamil Nadu, India, not inferred. Besides, the classical witness, i.e., the Spoonbill Sandpiper (Calidris pygmaea), an endangered shorebird, was recorded at the Point Calimere Wildlife Sanctuary in 198037, 198538 and 200439 but has not been seen since then due to the degradation of the habitat and other ecological factors (not confirmed). A recent study reported that the density, diversity and species richness of many migratory shorebirds have drastically declined at the wintering grounds40. Studies on such aspects are also negligible at the study sites. A study by reported that halophytic plants at the Pichavaram Mangrove have a higher concentration of metals than mangrove speciesy9. Nevertheless, no study was conducted so far on the feathers of shorebirds for the presence of metals at these two wintering grounds. Hence, the current study's main aim is to evaluate the level of heavy metal in different species of shorebirds to get first-hand information at these two wintering grounds.
Study area
The Point Calimere Wildlife Sanctuary
The Point Calimere Wildlife Sanctuary (PWLS) is one of the Ramsar sites in India, situated 10°18″ N, 79°51″ E, Great Vedarnyam Swamp, Kodikkarai, Tamil Nadu, India (Fig. 1). The water source for the PWLS is obtained through rainwater during the monsoon and but the sanctuary is gradually dried during summer and ultimately, the entire swamp will become a small pool of water in peak summer. The swamp area, which is the important foraging site for shorebirds in PWLS, it is separated from the Bay of Bengal and Palk Strait by a narrow stretch of sandbanks with several channels such as “Manavaykal” and “Sellakkani” sea mouths. The swamp area is consisting of a diverse aquatic ecosystem such as both fresh and seawater. In the swamp, two industrial salt units are producing edible and industrial salts. The sanctuary climate is monsoonal, and the significant rainfall occurs in north-east monsoon from October to December, with the maximum rainfall of about 1000–1500 mm. The sanctuary's maximum temperature was 34 °C, which is observed for May and the minimum was 22 °C in December. Annually the swamp habitat of PWLS shows strong winds during June and July. Several resident migratory shorebirds use this sanctuary as a feeding ground and few species use breeding ground3,37,41.
Map showing the Point Calimere Wildlife Sanctuary, Kodikkarai, Pichavaram Mangrove Forest, Cuddalore District, Tamil Nadu, India. The map is generated by using ArcGIS 10.0; ENVI + IDL License No.239509; The software is purchased by the Department of Zoology and Wildlife Biology, AVC College (Autonomous),Mannampandal, Mayiladuthurai, Tamil Nadu, India; The ArcGIS webpage: https://www.arcgis.com/index.html.
Pichavaram Mangrove Forest (PMF)
The Pichavaram Mangrove Forest (PMF) is located at 11° 29′ N: 79o46′ E, the east coast of Tamil Nadu, India (Fig. 1). The PMF is covering 1100 hectares, consisting of 51 islets, a natural mangrove forest with the Vellar-Coleroon estuarine complex2,42. In the total area, 50 percent is forest, 40 percent waterways and the rest of the 10 percent is sand and mudflats in which Avecenia and Rhisophora are major mangrove species43. It is incredibly productive and yields nearly eight tonnes of organic plant waste/ha/year44. The PMF is attracting several species of migratory shorebirds annually3. The physical and chemical factors influence the density and their foraging behaviour water birds in PMF45. The rare and near-threatened shorebirds visited in PMF annually5. The PMF threatens the migratory and resident migratory shorebirds since it is polluted and degraded through various actions10.
Methods
Collection and digestion of bird feathers
Fifteen species of shorebirds such as Black-winged Stilt (Himantopus himantopus), Common redshank (Tringa tetanus), Common Sandpiper (Actitis hypoleucos), Curlew Sandpiper (Calidris ferruginea), Dunlin (Calidris alpina), Eurasian Curlew (Numenius arquata), Kentish Plover (Charadrius alexandrines), Lesser Sandplover (Charadrius mongolus), Little-ringed plover (Charadrius dubius), Little stint (Calidris minuta), Marsh sandpiper (Tringa stagnatilis), Painted Stork (Mycteria leucocephala), Spotted Redshank (Tringa erythropus), Temminck's Stint (Calidris temminckii) and Wood Sandpiper (Tringa glareola) were used for the metal study, in which 12 dead carcasses of shorebird species from PWLS (Ramsar site) and 13 dead carcasses of shorebird species from PMF were collected and the other species such as Temminck's Stint in 2015, Dunlin in 2016 and Little stint in 2017 from PWLS and Black winged stilt in 2016 and Dunlin in 2017 from the PMF were caught using mist net and the shorebirds were released into the field without any harming the birds after collecting their breast feathers for analysis. Metal analysis, the breast feathers were preferred since they represent the plumage and are less influenced by the molt than flight feathers46. Three individuals of each species were used and the feathers were cleaned in double-distilled H2O to remove outwardly absorbed heavy metals. The washed feathers were dehydrated for about 24 h in a hot air oven at 60 °C till reaching constant dry mass and weighed to the nearest 0.001 g47. The feathers were also processed with 65% nitrogenous acid and 70% HClO4 (4:1 ratio) for proper digestion of the feather for metal analysis48. The digested feather samples were diluted by adding 10 ml of deionized H2O and the samples were kept in (C3H6)n metal-free flasks at 20 °C till analysis of metal in AAS49.
Quality control (QC)
The quality control (QC) sample was injected for every ten samples to obtained proper readings. Nevertheless, the variations of QC in metal concentrations were more significant than 15 percent. Furthermore, to avoid samples' impurity, the reagent blanks were included for each batch of metal sample analysis. Average values were obtained from six replicate for a proper determination of metals. The accuracy of the analytical measurement was expressed as relative standard deviation (RSD) ranging from five percent to ten percent and it was derived from the \({\text{SD}}/\overline{{\text{x}}}\). Separate calibration curves were prepared for each metal at different concentrations, i.e., 0.5, 1, 2, 5 and 10 ppm of standard solutions. In addition to that, the daily working solutions were prepared through proper dilutions of standard stock solution with the combination of 65% (v/v) HNO3, 30% (v/v) H2O2 and H2O (v/v/v = 1:1:3). The reagent blank was used to set the instrument with ‘0’ concentration for every sample. All glassware was cleaned with deionized H2O before use, soaked in 30 percent HNO3 overnight, rinsed in deionized water, and air-dried. The analyses were performed by using double beam AAS and the results were described as ppm50.
Statistical analysis
The results are described as mean ± standard error. The Shapiro–Wilk’s normality test was applied before employ statistical tests. Analysis of variance (ANOVA) was applied to understand the variations of heavy metals among shorebirds. The inter-correlation analyses have applied to explore the relationships among the seven metals of the shorebirds examined. Statistical analyses were executed using SPSS 16.0. Results of the data were inferred using typical statistical procedures51.
Results
The study was conducted from 2014 to 2019 and seven different heavy metals viz., chromium (Cr), cobalt (Co), copper (Cu), lead (Pb), mercury (Hg), nickel (Ni), and zinc (Zn) were examined from the feathers of the shorebirds viz., Black-winged Stilt, Common redshank, Common sandpiper, Curlew Sandpiper, Dunlin, Eurasian Curlew. Kentish Plover, Lesser Sandplover, Little-ringed plover, Little stint, Marsh sandpiper, Painted Stork, Spotted Redshank, Temminck's Stint and Wood Sandpiper, at PWLS, Kodikkarai (Ramsar Site), and PMF, India. Among the fifteen species, the three species, such as Eurasian Curlew, Curlew Sandpiper and Painted stork, are globally characterized as Near Threatened (IUCN, 2020).
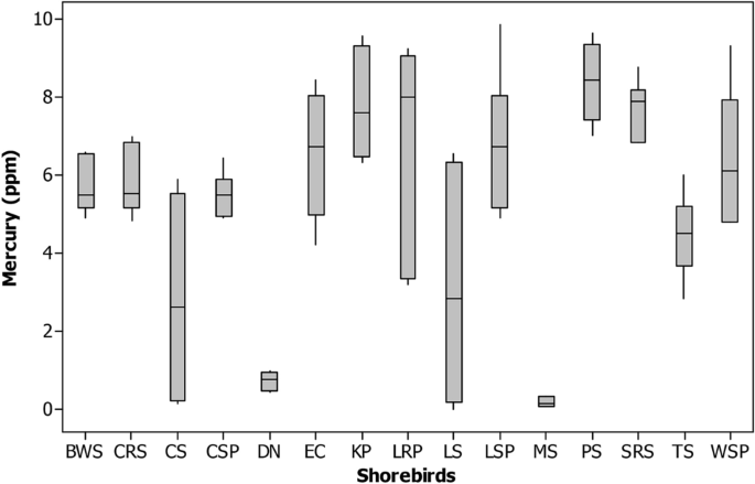
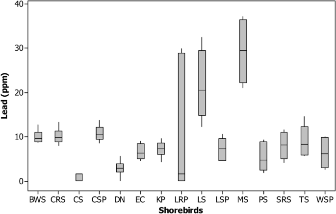
The zinc (Zn) was highest in Dunlin (90.08 ± 4.29 ppm), Little ringed plover (75.5 ± 2.25 ppm), Little stint (419.09 ± 178.1 ppm) and Marsh sandpiper (91.9 ± 1.42 ppm). The nickel (Ni) was highest in Common sandpiper (70.9 ± 9.75 ppm), the lead (Pb) was more meaningful content in Black-winged stilt, Common Redshank, Curlew sandpiper, Eurasian Curlew, Lesser sand plover and Temminck’s stint (9.6 ± 0.42, 9.6 ± 0.26, 9.6 ± 0.57, 6.9 ± 1.09, 9.5 ± 0.52 and 6.1 ± 0.34 ppm), respectively. The mercury (Hg) was highest in Kentish plover (8.3 ± 1.03 ppm), Painted stork (8.1 ± 0.64 ppm), Spotted redshank (7.8 ± 0.55 ppm) and Wood sandpiper (7.7 ± 0.82 ppm) at PWLS. On the other hand, Zn was highest in Common sandpiper (95.6 ± 4.08 ppm) and Little ringed plover (328.4 ± 140.21 ppm). Copper (Cu), Chromium (Cr) and Cobalt (Co) were highest in Dunlin (87.2 ± 10.62 ppm), Marsh Sandpiper (114.7 ± 5.39 ppm) and Little stint (128.7 ± 54.72 ppm), respectively. The lead (Pb) was highest in black-winged stilt (10.2 ± 1.20 ppm), Common redshank (10.6 ± 1.53 ppm), Curlew sandpiper (12.005 ± 0.92 ppm), Temminck’s stint (10.6 ± 0.58 ppm), Kentish plover (8.3 ± 0.66 ppm), Spotted redshank (10.6 ± 0.58 ppm) and Wood sandpiper (9.5 ± 0.39 ppm). Mercury (Hg) was highest in Eurasian Curlew (7.7 ± 0.46 ppm), Lesser sand plover (5.8 ± 0.79 ppm) and Painted stork (8.6 ± 0.60 ppm), at PMF (Tables 1, 2).
In feathers, the Cu was negatively correlated with the mercury in both the wetlands. The Cr showed a positive correlation with Cu (r = 0.944) at PWLS and negatively correlated with mercury (r = − 0.686) at PMF. The Co was positively correlated with Cu (r = 0.812) and chromium (r = 0.688) and negatively correlated with mercury (r = − 0.550) and r = − 0.561) at PWLS and PMF respectively. The Pb positively correlated with Cu (r = 0.804), Cr (r = 0.786) and Co (r = 0.672) at PWLS. However, in the PMF the lead correlated positively with Cr and Co and negatively with Hg (r = − 0.483). The Ni also positively correlated with Cu (r = 0.461), Co (r = 0.478) and Pb (r = 0.431) on the other hand the Ni showed positive correlation with Cr (r = 0.461), cobalt (r = 0.478) and Hg (r = 0.431) at PMF. The Zi have positive correlation with the Cu (r = 0.659), Cr (r = 0.700) and Hg (r = 0.476). Nevertheless, at the PMF, the Zi showed a negative correlation with the Hg (r = − 0.322) (Table 3). Nevertheless, the Hg not positively correlated with any metals studied in shorebirds of both the wetlands.
The accumulation level of heavy metals in the shorebirds is as follows: zinc > nickel > cobalt > chromium > copper > lead > mercury. The concentration of metals showed significant variations among the shorebirds studied (p < 0.001).
Discussion
Heavy metals naturally exist in any environment, which does not undergo biodegradation in the habitats where they are released, and hence undergo bio-magnification in the exposed organisms. Habitats such as mudflats, sand flats and other coastal wetlands are frequently used by the shorebirds as wintering stopover sites to refuel their energetic demands. These habitats are not exceptions, which also get contaminated by heavy metals from various sources. Globally, wintering grounds are considered high-level priority habitats like wetlands and are declared as Important Bird Areas, Ramsar sites, International Single Species Action Plan habitats, etc. The PWLS has been upgraded into one of the Ramsar sites in 2002. The PMF is also one of the important stopover sites for migratory birds during migration3,45,52. These habitats need assessment concerning their quality, particularly the evaluation of heavy metals viz., Cu, Cr, Co, Pb, Hg, Ni and Zn and the status of other pollutants organochlorine and organophosphorus pesticides etc., and these habitats attract various species annually, including ‘EN’ and ‘NT’ species of shorebirds. Heavy metals are considered “vital ecological importance since they cannot be totally degraded, or destroyed during the self-purification process of water; rather, they accumulate in the reservoirs and enter the food chain from there”53. Hence, the present investigation assumes more vital since it is the first of its kind in these habitats. The study brings out that the accumulation pattern of heavy metals in the feathers of shorebirds is as follows: zinc > nickel > cobalt > chromium > copper > lead > mercury. The current results revealed that metals' level showed significant differences among the shorebirds (P < 0.001). The accumulation of metals in the fifteen species shorebirds perhaps not only from both the wetlands but also they might have consumed the metals from various stopover sites during their migration.
The Zinc (Zn) was highest in feathers of Dunlin (90.8 ± 4.29), Little stint (419.09 ± 178.1) and Marsh sandpiper (91.9 ± 1.42), Common Sandpiper (95.6 ± 4.08) and Little ringed plover (328.4 ± 140.21 ppm) comparatively other shorebirds studied (Tables 1 and 2 and Figs. 2, 3, 4, 5, 6, 7, 8). Generally, these shorebirds are using CAF migratory routes for traveling their breeding and non-breeding grounds during their migration7,54, which could also facilitate the more significant accumulation of metals in these shorebirds. These shorebirds mainly feed on benthic invertebrates such as molluscs, gastropods, polychaetes, shrimp forms, amphipods2,55,56,57,58,59, these prey items were relatively higher in both the wetlands during migratory season41,52. Several studies stated that zinc one of the highest concentrations of metals found at benthic invertebrates of coastal mudflats60,61,62. Zn's sources in both the wetlands are through the saltpan industries, construction activities, national highways, reliable waste burning, aquaculture industries and agricultural practices, etc. The zinc is a greater water and sediment level and may be found in higher concentrations to result in avian poisonings (unpublished data). Nevertheless, beyond the standard level, the Zn might affect the biotic community, 16 mg of Zn by oral exposure for 2-weeks leads 50% mortality in cockatiels and even 2 mg of Zn/week showed toxic in some birds63. Zn is one of the lethal poisonings when it is exceeded in ducks64 and a Nicobar pigeon65.
Box plot showing the concentration of mercury (ppm) recorded in different shorebird species at Point Calimere Wildlie Sanctuary, Kodikkarai and Pichavaram Mangrove Forest, Pichavaram, east coast of Tamil Nadu, India. (Shorebirds: BWS black winged Stilt; CRS common red shank; CS common sandpiper; CSP curlew Sandpiper; DN Dunlin; EC Eurasian Curlew; KP kentish plover; LRP little ringed plover; LS little stint; LSP lesser sand plover; MS marsh sandpiper; PS painted stork; SRS spotted redshank; TS = Temminc’s stint; WSP wood sandpiper).
Concerning the Pb, the Black-winged stilt (9.6 ± 0.42), Common Sandpiper (9.6 ± 0.26), Curlew sandpiper (9.4 ± 0.57), Eurasian curlew (6.9 ± 1.09), Lesser sand plover (9.5 ± 0.52), Temminck’s stint (6.1 ± 0.34), Kentish plover (8.3 ± 0.18), Spotted redshank (10.6 ± 0.88) and Wood sandpiper (9.5 ± 0.12 ppm) showed a greater concentration of Pb when compared to the other species of shorebirds studied from both the wetlands (Tables 1, 2 and Figs. 2–8). These species' variations might be due to their unique physiology, selection and intake quantity of various diets, and their flyway strategies. Among the nine shorebird species, the lesser sand plover is used EAAF migratory routes66, and the remaining eight shorebirds are used CAF routes7,67 for traveling their wintering and non-wintering grounds during their migration. Besides, contamination occurs mainly through sewage disposal, burning of fuels and solid wastes, making paints, transports, refining, leather industry and oil spills, etc68,69. A study reported that Pb is distributed in the environment through agricultural practices such as fertilizers and pesticides by the farmer communities23. These shorebirds mainly feed on benthic invertebrates such as crustaceans, chironomid larvae and midges, polychaete, gastropod molluscs, bivalve molluscs, amphipods and decapod crustaceans, insects, arachnids and pisces70,71,72 , which exist abundantly in both the wetlands41,52. Studies found that the Pb more significant in mud dwelling organisms in coastal mudflats since they are feed on detritus73. It could be a reason that these shorebirds are showing the moderately higher amount of Pb, since they are also consuming these detritus feeding organisms. In addition to that, these shorebird species using various stopover sites during migration before reaching these sites could also facilitate Pb accumulation. The effect of Pb level in the feathers (4lg/g) is on the weakening of thermoregulation, locomotion, weakening the survival of gull nestlings, and influencing the recognition of siblings46. Another study suggested that the excess amount of Pb concentration disturbs protein signaling (protein c kinase), particularly memory storage74. Memory storage could affect the migration of shorebirds seasonally. Nevertheless, leading a biota is an indicator of metal pollution and anthropogenic activities contribute to it75.
Concerning Hg, the Kentish plover, Painted stork, Spotted redshank, Wood sandpiper, Eurasian curlew and Lesser sand plover have a higher level of Mercury (Hg) than the feathers of other species shorebirds evaluated in both the wetlands. These shorebirds are used CAF migratory routes for their migration except Lesser sand plover, which is used EAAF migratory routes for migration. These shorebirds predominantly feed on benthic invertebrates during their migration in the breeding and non-breeding grounds annually70,76. The Kentish plover (8.3 ± 1.03), Painted stork (8.6 ± 0.60) , Spotted redshank (7.8 ± 0.55), Wood sandpiper (7.7 ± 0.82), Eurasian curlew (7.7 ± 0.46) and Lesser sand plover and Lesser sand plover (5.8 ± 0.79 ppm). (Tables 1, 2). The Painted stork showed a greater level of Hg among the shorebird species it might have due to their diets and they are predominantly feeding on locally available diets, mainly fishes because studies reported that the greater level of Hg found in the various species of fishes at PMF77. A higher level of Hg found in other shorebirds might be also due to their diet preference and also perhaps uptakes of Hg from various stopover sites in their migratory flyway during their migration. Most of the consumers/predators in the coastal ecosystem, such as shorebirds, expose more mercury because they feed on detrital benthic organisms, which can elevate the level of mercury78,79. The benthic or mud dwelling organism are exposed more to metals, including mercury because most of the benthic organisms are filter feeders and these benthic organisms are feed on detritus, which can drive elevated accumulation of metals in the benthic organisms. The metals are directly settled into the benthos by their food in sediment and water80. Another study explained that the shorebirds' more possibility of ingestion of sediments and their prey items and the metals, including mercury, are higher in sediment81. The present study showed that Hg's level was more significant than 5 ppm except for Common sandpiper, Dunlin and Marsh sandpipers compared to the other 12 species of shorebirds examined. The rising of Hg concentration in birds could distress their behavior, physiology and breeding success82. A study reported that if the Hg, more than 15 ppm, can have adverse effects in predatory birds83.
The Common Sandpiper and Little-ringed plover showed a higher level of Nickel (Ni) than the other metals found in their feathers. These two are migrant species and they are using CAF migratory routes during their migration for traveling their breeding and wintering grounds. The Common Sandpiper is forage on amphipod (46.9%), the polychaetes (39.0%) and the decapod (6.3%)84, polychaetes, decapods algae, seeds, worms, spiders, fish, frogs and tadpoles58. The Little ringed plover feeds on polychaetes, crustaceans and insects70. The nickel concentration in Common sandpiper and Little-ringed plover was (70.9 ± 9.75) (114.8 ± 1.18 ppm), respectively (Tables 1, 2). The current study results revealed a comparatively more incredible amount of Ni in Little egret feathers85,86, suggesting that its levels were lower in them than that of the current study. Sources of nickel in the shorebirds' feathers might be through their dietary sources because a study reported that the nickel is exposing in a benthic organism, including molluscs and other benthic organisms87. It might have been a reason that these species showed a higher amount of nickel in their feathers. Besides, the nickel was found at molluscs, crab, and polychaetes in India's coastal habitat, which are predominant prey items for shorebirds88. Nickel is not an essential trace element in organisms, but it can have adverse health effects at high levels. However, no sufficient evidence is available on the impact of nickel in avian species, but in animals, the level of Ni is exceeded, which will affect various cellular functions. A study reported that the excess accumulation of Ni causes pigmentation of feathers in birds and is excreted through feathers by moulting89.
The little stint is the only species that showed the highest amount of Cobalt (Co) in their feather (128.7 ± 54.72 ppm). However, the other species such as Dunlin (30.8 ± 16.52 ppm) and Marsh sandpiper (53.08 ± 0.94 ppm) also showed relatively higher amount of cobalt concentration when compared to the other shorebird species studied (Table 1, 2), these three species are migrant category, and they are using CAF routes for their migration for both the wintering and breeding grounds. These species also feed on benthic invertebrates, including foraminiferas, polychaetes, chironomids, crustaceans, molluscs, and larval forms of insects and insects56,58. Studies stated that benthic invertebrates, foraminiferas and molluscan shells have a reasonably greater level of Co in their body since their feed on detritus, including litter, debris, organic and inorganic wastes90,91. Conversely, the benthic prey items predominantly used by the shorebirds are densely available during migration seasons41,52; this could also be another reason for Co's accumulation in these shorebird species. Co is also an essential element critical for the metabolic process but can cause harmful effects when its level is extreme. Besides, cobalt disturbs certain enzymes and might have affected the birds' physiology and movement92.
Indeed, Marsh sandpiper had the maximum concentration of Chromium (Cr) (114.7 ± 5.39 ppm) in their feathers than the other shorebirds studied. The chromium level in the feathers of the Marsh sandpiper was lesser than the earlier reports86 and relatively more Cr was also reported (Burger et al. 2015) compared to the current results. The Marsh Sandpiper is forage on benthic organisms, including molluscs, polychaetes and crustaceans58. For instance, ample Cr is in sediment and benthic organisms93. Cr occurs naturally in the aquatic environment by burning organic and inorganic materials, including oil and coal, chromium steel factories, production of manures, and metal plates production in tanneries.
Nevertheless, through various human activities, it’s released into the environment through sewage and fertilisers94. In addition to that, the Cr is rich in coastal sediments through the sources of domestic and industrial effluents95. Since the Marsh sandpiper is fed on benthic invertebrates by probing methods, the sediments also enter the bird and their prey items. It is also another reason the accumulation of Cr in the feathers of the shorebird species. Besides, the Marsh sandpiper is using CAF migratory route for their wintering and breeding grounds, perhaps along the stopover sites in CAF routes could also facilitate the accumulation of the Cr in their feathers.
Nevertheless, the presence of Cr at > 4 ppm level is alarming. However, the present study shows that great Cr in shorebirds' feathers above the average (2.8 lg/g) might be harmful to them96. However, extensive studies are required on Cr and its impact on birds' physiology, especially reproductive toxicology, which could reveal some clues, particularly for wildlife management.
Among the shorebird species studied, Dunlin and Marsh sandpiper had a higher amount of Copper (Cu) (87.2 ± 10.62) and (32.3 ± 6.69 ppm), respectively, than the other shorebirds evaluated from both the wetlands (Tables 2,3). The presence of Cu in the environment is through various industries, factories, agricultural practices, and waste dumping. However, most aquatic habitats are receiving the Cu from agricultural practices, precipitation through the atmosphere and industrial discharges. The greater level of Cu found in the shorebirds might be through their food and feeding habits since they are feed on benthic invertebrates such as molluscs, gastropods, polychaetes, shrimp forms, amphipods in the breeding and wintering grounds during their migration55,56. These shorebirds are using CAF migratory routes during their migration for traveling their breeding and non-breeding grounds7,67. Besides, the Cu is also plenty in benthic invertebrates and sediments91, facilitating the Cu in the shorebirds studied. In addition to that, since these species are a migrant category which is traveling thousands of kilometers annually and they are using several stops over sites to reach their breeding and non-breeding grounds along with CAF migratory routes, which is also taking into account concerning the accumulation of Cu in the feathers of shorebirds studied. However, copper is an essential and vital trace nutrient for all known living organisms. Its role is significant in cellular mechanisms and protein functions97. A greater level of Cu could disturb the functions of the kidney and damage the reproductive system98 .
Another vital metal is Arsenic (As), which is not evaluated in the current study, but studies were reported arsenic was in shorebirds such as Red knows, Sanderling and Semipalmated sandpiper (446 ± 42 ppm), (311 ± 64 ppm) and (842 ± 101 ppm) respectively from Delaware Bay, New Jersy88. Compared with a previous study from 1995, the results showed that the linear trend had been observed concerning the nickel and other metals. However, a significant report by Bird Conservation International revealed that arsenic could be an adverse effect on shorebirds, reported from Pulicate lake, India during 200499.
The inter-correlational analysis showed that the mercury was not positively correlated with the other metals. Studied in both the wetlands, which shows that the mercury is a unique and their deposition in the living organism not depends on the level of other metals, how the other metals have positive with certain metals which shows that these metals have interrelationships in their availability, distribution and accumulation on the living organisms (Table 3). The current study found that the level of metals showed significant variations among the shorebird species studied. Nevertheless, the variations among the shorebird species can be due to their feeding mechanism, including the type, sizes and selection of the prey species, mode of feeding mechanisms, amount of time and prey consumed in their foraging grounds, quality of the habitats etc. A study revealed that the selection of prey and feeding mechanism could facilitate higher metal concentration levels in birds100. The variation of metals among the shorebirds might be due to their different migratory strategy i.e., CAF and EAAF migratory routes. The migratory shorebirds are using various stopover sites to reach their wintering and breeding grounds annually. Therefore, the accumulation of metal in the shorebirds from both the wintering wetlands studied and it might be consumed from other stopover sites except resident migratory shorebirds. Nevertheless, the level of metals in the resident shorebird, i.e., Painted stork, might be influenced by these wetlands.
Management implication
-
The current study revealed that the stopover sites of Central Asian Flyway (CAF) and East Asian Australasian Flyway (EAAF) migratory routes of shorebirds, especially in southern wintering grounds, are under mental stress, which could influence bird behaviour and migration.
-
It is the right time to evaluate the wetland habitats, especially IBA and Ramsar sites, to understand their current status to protect the habitat and turn the migratory shorebirds.
-
Growth and development of various dimensions to meet the growing needs of human beings' growing needs and services affect resources' sustainability. Day by day, it becomes antithetic and incongruous. Hence, there is an urgent need to evolve a strategy to integrate various science streams such as avian ecology, reproductive ecology, food web ecology, aquatic ecology, toxicology, and environmental chemistry to understand any habitat's status. Otherwise, one cannot prevent species extinction under direct threat and would soon be categorized as threatened.
References
Alerstam, T., Hedenström, A. & Åkesson, S. Long-distance migration: evolution and determinants. Oikos 103, 247–260. https://doi.org/10.1034/j.1600-0706.2003.12559.x (2003).
Sampath, K. Studies on the ecology of shorebirds (Aves: Charadriifonnes) of the Great Vedaranyam Salt Swamp and the Pichavaram Mangroves of India. Ph.D. Thesis, submitted to Annamalai University, South India 202 (1989).
Sampath, K. & Krishnamurthy, K. Shorebirds (Charadriiformes) of the Pichavaram Mangroves Tamilnadu, India. Wader Study Group Bull. 58, 24–27 (1990).
Balachandran, S. Avian Diversity in Coastal Wetlands of India and their Conservation Needs 155–163 (International Day for biological diversity, Marine biodiversity, 2012).
Sandilyan, S. & Kathiresan, K. Decline of mangroves–a threat of heavy metal poisoning in Asia. Ocean Coast. Manag. 102, 161–168 (2014).
Pandiyan, J. & Asokan, S. Habitat use pattern of tidal mud and sand flats by shorebirds (Charadriiformes) wintering in southern India. J. Coast. Cons. 20(1), 1–11 (2015).
CAF Report. For a Preliminary List of Regional and National Activities That Contribute to Migratory Waterbird and Habitat Conservation in the CAF Region. https://www.cms.int/sites/default/files/document/CAF_action_plan_e_0.pdf (2005).
Bamford, M., Watkins, D., Bancroft, W., Tischler, G. & Wahl, J. Migratory Shorebirds of the East Asian—Australasian Flyway Population Estimates and Internationally Important Sites (Wetlands International - Oceania, Canberra, 2008).
Agoramoorthy, G., Chen, F. A. & Hsu, M. J. Threat of heavy metal pollution in halophytic and mangrove plants of Tamil Nadu India. Environ. Pollut 155(2), 320–326 (2008).
Agoramoorthy, G. & Pandiyan, J. Toxic pollution threatens migratory shorebirds in India. Environ. Sci. Pollut. Res. 23(15), 15771–15772 (2016).
Salzano, R. & Angelone, M. Reactivity of urban environments towards legislative actions. The case of Roma (Italy). In E3S Web of Conferences.1, 22003 EDP Sciences (2013).
Ullah, K., Hashmi, M. Z. & Malik, R. N. Heavy-metal levels in feathers of cattle egret and their surrounding environment: a case of the Punjab province, Pakistan. Arch. Environ. Contam. Toxicol. 66, 139–153 (2014).
Wilson, E. O. Threats to biodiversity. Am Sci. 261, 108–116 (1989).
Huettmann, F. & Czech, B. The steady state economy for global shorebird and habitat conservation. Endang. Species Res. 2, 89–92 (2006).
Taber, R. D. & Payne, N. F. Wildlife, Conservation, and Human Welfare: A United States and Canadian Perspective (Krieger Publishing Company, Malabar, Florida, 2003).
Rogers, D., Piersma, T., Lavaleye, M., Pearson, G. B. & de Goeij, P. Life Along Land’s Edge: Wildlife on the Shores of Roebuck Bay, Broome (Dept. of Conservation and Land Management, Western Kensington, 2003).
Custer, C. M., Custer, T. W., Michael, J. A., Alan, D. A. & David, E. W. Trace elements in Lesser Scaup (Aythyaaffinis) from the Mississippi flyway. Ecotoxicology 12, 47–54 (2003).
Johansen, P., Asmund, G. & Riget, F. High human exposure to lead through consumption of birds hunted with lead shot. Environ. Pollut. 127, 125–129 (2004).
Mansouri, N. E. et al. Research on the suitability of organosolv semi-chemical triticale fibres as reinforcement for recycled HDPE composites. Bio. Resources. 7(4), 5032–5047 (2012).
Syed, J. H. & Malik, R. N. Occurrence and source identification of organochlorine pesticides in the surrounding surface soils of the Ittehad Chemical Industries Kalashah Kaku, Pakistan. Environ. Earth Sci. 62(6), 1311–1321 (2011).
Eqani, S. et al. Distribution and risk assessment of organochlorine contaminants in surface water from River Chenab, Pakistan. J. Environ. Monit. 14(6), 1645–1654 (2012).
Qadir, A. & Malik, R. N. Heavy metals in eight edible fish species from two polluted tributaries (Aik and Palkhu) of the River Chenab, Pakistan. Biol. Trace Elem. Res. 143, 1524–1540 (2011).
Hashmi, H. Z., Malik, R. N. & Shahbaz, M. Heavy metals in eggshells of cattle egret (Bubulcus ibis) and little egret (Egretta garzetta) from the Punjab province, Pakistan. Ecotoxicol Environ. Saf. 89, 158–165 (2013).
Shahbaz, M., Khan, S. & Tahir, M. I. The dynamic links between energy consumption, economic growth, financial development and trade in China: fresh evidence from multivariate framework analysis. Energy Econ. 40, 8–21 (2013).
Kim, J. & Koo, T. H. Heavy metal concentrations in feathers of Korean shorebirds. Arch. Environ. Contam. Toxicol. 55, 122–128 (2008).
Boncompagni, E. et al. Egrets as monitors of trace metal contamination in wetland of Pakistan. Arch. Environ. Contam. Toxicol. 45, 399–406 (2003).
Nagajyoti, P. C., Lee, K. D. & Sreekanth, T. V. M. Heavy metals, occurrence and toxicity for plants: a review. Environ Chem. Lett. 8(3), 199–216 (2010).
Jaishankar, M., Mathew, B. B., Shah, M. S., Murthy, K. T. P. & Gowda, S. K. R. Biosorption of few heavy metal ions using agricultural wastes. J. Environ. Pollut. Hum. Health. 2, 1–6 (2014).
Deng, H., Zhang, Z., Chang, C. & Wang, Y. Trace metal concentration in Great Tit (Parus major) and Greenfinch (Carduelissinica) at the Western Mountains of Beijing, China. Environ. Poll. 148, 620–626 (2007).
Kim, J. & Koo, T. H. The use of feathers to monitor heavy metal contamination in herons, KOrea. Arch. Environ. Contam. Toxicol. 53, 435–441 (2007).
Burger, J. & Gochfeld, M. Effects of lead and exercise on endurance and learning in young herring gulls. Ecotoxicol. Environ. Saf. 57, 136–144 (2004).
Scheifler, R., Coeurdassier, M. & Morilhat, C. Lead concentrations in feathers and blood of common blackbirds (Turdusmerula) and in earthworm inhabiting unpolluted and moderately polluted urban areas. Sci Total Environ. 371, 197–205 (2006).
Burger, J. Heavy metals in avian eggshells: another excretion method. J. Ecotoxicol. Environ. Health 41(2), 207–220 (1994).
Furness, R. W. Birds as monitors of environmental change 102–120 (Chapman, New Yok, 1993).
Bostan, N., Ashrif, M., Mumtaz, A. S. & Ahmad, I. Diagnosis of heavy metal contamination in agro-ecology of Gujranwala, Pakistan using cattle egret as bioindicator. Ecotoxicology 6, 247–251 (2007).
Lee, C. S. L., Li, X., Shi, W., Cheung, S. C. & Thornton, I. Metal contamination in urban, suburban and country park soils of Hong Kong: a study based on GIS and multivariate statistics. Sci. Total Environ. 356, 45–61 (2006).
Balachandran, S., Sathiyaselvam, P. & Panda, S. Bird atlas of Chilka (ed. BNHS) 1–326 (BNHS, 2009).
Sugathan, R. Observations on Spoon billed Sandpiper (Eurynorhynchus pygmaeus) in its wintering ground at Point Calimere, Thanjavur District, Tamil Nadu. J. Bombay Nat. Hist. Soc. 82(2), 407–409 (1985).
Spoon-billed Sandpiper Task Force. News Bull. No 19 (2018).
Pandiyan, J. & Jagadheesan, R. Population characteristics of migratory shorebirds in the Point Calimere Wildlife Sanctuary, Tamil Nadu, India. J. Sci. Trans. Environ. Technov. 10(1), 31–36 (2016).
Manikannan, R. Diversity of Water birds in the point Calimere wildlife sanctuary, Tamil Nadu, India. Ph.D. thesis submitted to Bharathidasan University, Tiruchirappalli, Tamil Nadu, India 264 (2011)
Kathiresan, K. A review of studies on Pichavaram mangrove, southeast India. Hydrobiologia 430(1–3), 185–205 (2000).
Godhantaraman, N. Seasonal variations in species composition, abundance, biomass and estimated production rates of tintinnids at tropical estuarine and mangrove waters, Parangipettai, southeast coast of India. J. Mar. Syst. 36, 161–171 (2002).
Rajendran, N. & Kathiresan, K. How to increase juvenile shrimps in mangrove waters?. Wetlands Ecol. Manage. 12–3, 179–188 (2004).
Nagarajan, R. & Thiyagesan, K. Waterbirds and substrate quality of the Pichavaram wetlands, southern India. Ibis. 138, 710–721 (1996).
Burger, J. & Gochfeld, M. Metals in Laysan Albatrosses from Midway Atoll. Arch Environ Contamin. Toxicol. 38, 254–259 (2000).
Dauwe, T., Bervoets, L., Blust, R., Pinxten, R. & Eens, M. Can excrements and feathers of nestling songbirds be used as a biomonitor for heavy metal pollution. Arch. Environ Contam Toxicol. 39, 541–546 (2000).
Nyholm, N. E. Y. Monitoring of terrestrial environmental metal pollution by means of free-living insectivorous birds. Ann. Chim. 85, 343–351 (1995).
Kim, J. & Oh, J. M. Monitoring of heavy metal contaminants using feathers of shorebirds Korea. J. Environ. Monit. 14, 651 (2012).
Dauwe, T. et al. Great and blue tit feathers as biomonitors for heavy metal pollution. Ecol. Ind. 1, 227–234 (2002).
Sokal, R. R. & Rohlf, F. I. Biometry: The Principles and Practice of Statistics in Biological Research 1–776 (W.H. Freeman, New York, 2012).
Sandilyan, S. Habitat quality and waterbird utilization pattern of Pichavaram wetlands southern India. Ph.D. Thesis, Bharathidasan University, Tiruchirapalli, India 287 (2009)
Loska, K. & Wiechuła, D. Application of principal component analysis for the estimation of source of heavy metal contamination in surface sediments from the Rybnik Reservoir. Chemosphere 51(8), 723–773 (2003).
Balachandran, S. Avian Diversity in Coastal Wetlands of India and their Conservation Needs. International Day for biological diversity 155–163 (Uttar Pradesh State Biodiversity Board, Lucknow, 2012).
Worrall, D. H. Diet of the Dunlin Calidris alpina in the Severn estuary. Bird Study 31(3), 203–212 (1984).
Pienkowski, M. W. Aspects of the ecology and behaviour of ringed and grey plovers charadrius hiaticula and pluvialis squatarola, Durham theses, Durham University. Durham E-Theses Online. http://etheses.dur.ac.uk/7868/ (1980).
Hayman, P., Marchant, J., Prater, T. & Helm, C. Book for Shorebirds (1986)
Higgins, P. J. & Davies, S. J. J. F. (eds) Handbook of Australian, New Zealand and Antarctic Birds Snipe to Pigeons (. Oxford University Press, Oxford, 1996).
Ali, S. The Book of Indian Birds 1–326 (Bombay Natural History Society and Oxford University Press, Oxford, Mumbai, 2002).
Everaarts, J. M. et al. Copper, zinc and cadmium in benthic organisms from the Java Sea and estuarine and coastal areas around East Java. Netherl. J. Sea Res. 23(4), 415–426 (1989).
Philips, D. J. H. The common mussels Mytilus edulis as an indicator of pollution by zinc, cadmium, lead, and copper. Effects of environmental variables on uptake of metals. Mar. Biol. 38, 59–69 (1976).
Michael, H. Trace metals in the tissues and shells of Tympanotonus Fuscatus var Radula from the Mangrove Swamps of the Bukuma Oil Field, Niger Delta. Eur. J. Sci. Res. 24(4), 468–547 (2008).
Howarth, D. M., Hulbert, A. J. & Horning, D. A comparative Study of Heavy Metal Accumulation in Tissues of the Crested Tern, Sterna bergii, Breeding near Industrialized and Non-Industrialized Areas. Austr. Wildl. Res. 8, 665–672 (1981).
Zdziarski, J. M., Mattix, M. & Bush, R. M. Zinc toxicosis in diving ducks. J. Zool. Wildl. Med. 25, 438–445 (1994).
Vanderzee, J., Zwart, P. & Schotman, A. J. H. Zinc poisoning in a Nicobar pigeon. J. Zool. Anim. Med. 16, 68–69 (1985).
Bamford, M., Watkins, D., Bancroft, W., Tischler, G. & Wahl, J. Migratory Shorebirds of the East Asian—Australasian Flyway; Population Estimates and Internationally Important Sites (Wetlands International - Oceania, Canberra, 2008).
Balachandaran. International Day for Biological diversity. Marin Diversity. 155–163 (2006).
Jerez, S. et al. Concentration of trace elements in feathers of three Antarctic penguins: geographical and interspecific differences. Environ. Pollut. 159, 2412–2419 (2011).
Markowski, M. et al. Avian feathers as bioindicators of the exposure to heavy metal contamination of food. Bull. Environ. Contam. Toxicol. 91, 302–305 (2013).
Lim, H. C. & Posa, C. Distribution and prey of migratory shorebirds on the northern coastline of Singapore. Raffles Bull. Zool. 62, 701–717 (2014).
Battley, P. F., Rogers, D. I., Piersma, T. & Koolhaas, A. Behavioural evidence for heat-load problems in great knots in tropical Australia fuelling for long-distance flight. Emu. 103(2), 97–103 (2003).
Hockey, B. A., & Rayner, M. Comparison of grammar-based and statistical language models trained on the same data. In Proceedings of the AAAI Workshop on Spoken Language Understanding (2005).
Mado-Filho, G. M. et al. Heavy metals in benthic organisms from Todosos Santos Bay, Brazil. Braz. J. Biol. 68(1), 95–100 (2008).
Flora, G., Deepesh, G. & Archana, T. Toxicity of lead: a review with recent updates. Interdiscip. Toxicol. 5(2), 47–58 (2012).
Metcheva, R., Yurukova, L., Teodorova, S. & Nikolova, E. The penguin feathers as bioindicator of Antarctic environmental state. Environ. Monit. Assess. 362, 259–265 (2006).
Goss-Custard, J. D. & Jones, R. E. The diets of redshank and curlew. Bird Study 23(3), 233–243 (1976).
Dhanakumar, S., Solaraj, G. & Mohanraj, R. Heavy metal partitioning in sediments and bioaccumulation in commercial fish species of three major reservoirs of river Cauvery delta region India Ecotoxicol. Environ. Saf. 113, 145–151 (2015).
Eagles-Smith, C. A., Suchanek, T. H., Colwell, A. E. & Anderson, N. L. Mercury trophic transfer in a eutrophic lake: the importance of habitat-specific foraging. Ecol. Appl. 18, A196–A212 (2008).
Eagles-Smith, C. A., Suchanek, T. H., Colwell, A. E. & Moyle, P. B. Changes in fish diets and food web mercury bioaccumulation induced by an invasive planktivorous fish. Ecol. Appl. 18, A213–A226 (2008).
Wyn, B., Kidd, K. A., Burgess, N. M. & Curry, R. A. Mercury bio-magnification in the food webs of acidic lakes in Kejimkujik National Park and National Historic Site, Nova Scotia. Can. J. Fish Aquat. Sci. 66, 1532–1545 (2009).
Morel, F. M. M., Kraepiel, A. M. L. & Amyot, M. The chemical cycle and bioaccumulation of mercury. Annu Rev Ecol Syst. 29, 543–566 (1998).
Wolfe, M., Schwarzbach, S. & Sulaiman, R. A. Effects of Mercury on wildlife: a comprehensive review. Toxicol. Chem. 17, 146–160 (1998).
Eisler, R. Polycyclic Aromatic Hydrocarbon Hazards to Fish, Wildlife, and Invertebrates: A Synoptic Review (No. 11). Fish and Wildlife Service, US Department of the Interior. (1987).
Arcas, J. Diet and prey selection of Common Sandpiper Actitis hypoleucos during winter. Int. J. Ornithol. 51(1), 203–213 (2004).
Zhang, L., Khaloo, S. S., Kuban, P. & Hauser, P. C. Analysis of electroplating baths by capillary electrophoresis with high voltage contactless conductivity detection. Meas. Sci. Technol. 17(12), 3317 (2006).
Abdullah, M. et al. Avian feathers as a non-destructive bio-monitoring tool of trace metals signatures: a case study from severely contaminated areas. Chemosphere 119, 553–561 (2015).
Astorga España, M. S., Rodríguez Rodríguez, E. M. & Díaz Romero, C. Manganese, nickel, selenium and cadmium in molluscs from the Magellan Strait, Chile. Food Addit. Contamin. 21(8), 768–773 (2004).
Dange, S. & Manoj, K. Bioaccumulation of heavy metals in sediment, polychaetes (annelid) worms, mud skipper and mud crab at Purna River Estuary, Navsari, Gujarat, India. Int. J. Curr. Microbiol. Appl. Sci. 4(9), 571–575 (2015).
Honda, K., Lee, D. P. & Tatsukawa, R. Lead poisoning in swans in Japan. Environ. Pollut. 65(3), 209–218 (1990).
Youssef, M. & El-Sorogy, A. Environmental assessment of heavy metal contamination in bottom sediments of Al-Kharrar lagoon, Rabigh, Red Sea, Saudi Arabia. Arab. J. Geosci. 9, 474 (2016).
Youssef, M., Madkour, H., Mansour, A., Alharbi, W. & El-Taher, A. Invertebrate shells (mollusca, foraminifera) as pollution indicators, Red Sea Coast, Egypt. J. Afr. Earth Sci. 133, 74–85 (2017).
Roginski, E. E. & Mertz, W. A biphasic response of rats to cobalt. J. Nutr. 107, 1537–1542 (1977).
Catsiki, V. A., Katsilieri, Ch. & Gialamas, V. Chromium distribution in benthic species from a gulf receiving tannery wastes (Gulf of Geras—Lesbos island, Greece). Sci. Total Environ. 145(2), 173–185 (1994).
Ghani, A. Effect of chromium toxicity on growth, chlorophyll and some mineral nutrients of Brassica juncea L. Egypt. Acad. J. Biol. Sci. 2(1), 9–15 (2011).
Hon, M. et al. Speciation study of chromium, copper and nickel in coastal estuarine sediments polluted by domestic and industrial effluents. Mar. Pollut. Bull. 34(11), 949–959 (1997).
Burger, J. et al. Mercury, lead, cadmium, arsenic, chromium and selenium in feathers of shorebirds during migrating through Delaware Bay, New Jersey: comparing the 1990s and 2011/2012. Toxics 3, 63–74 (2015).
Janssens, E., Dauwe, T., Bervoets, L. & Eens, M. Inter and intraclutch variability in heavy metals in feathers of Great tit nestlings (Parus major) along a pollution gradient. Arch. Environ. Contam. Toxicol. 43, 323–329 (2002).
Burger, J. & Gochfeld, M. Metal levels in feathers of 12 species of seabirds from MidwayAtoll in the northern Pacific Ocean. Sci. Total Environ. 257, 37–52 (2000).
Mullin, D. W., Graham, A., Schoenjahn, M. J. & Walter, G. H. Phylogeography of the are Australian endemic Grey Falcon Falco hypoleucos: implications for conservation. Bird Conserv. Int. 30, 447–455 (2020).
Lacerda, L. D., Bidone, E. D., Guimaraes, A. F. & Pfeiffer, W. C. Mercury concentrations in fish from the Itacaiúnas-Parauapebas River system, Carajás region, Amazon. Anais Acad. Bras. Ciênc. 66(3), 373–379 (1994).
Acknowledgements
We thank the DST-SERB, Government of India, for funding this project (Ref No. SERB/LS-512/2013 dated.20.09.2013). The authors expressed their sincere thanks to the Tamil Nadu Forest Department for permits to carry out the research project at Pichavaram mangrove forest, Cuddalore District, Tamil Nadu, (Ref No. D/6139/2014 dated 0.12.2014) and the Point Calimere Wildlife Sanctuary, Kodikkarai, Tamil Nadu (Ref No. WL5(A)/20099/2014 dated 10.10.2014). The authors express their sincere appreciation to the Researchers Supporting Project No. RSP-2020-24 the King Saud University, Riyadh, Saudi Arabia.
Author information
Authors and Affiliations
Contributions
J.P., R.J., and G.K. developed the concept, conceived and planned the research. M.G., S.M., K.A., F.A., Z.A., and K.E. outlined and reviewed the manuscript. J.P., K.K., R.J., S.M. and G.K. contributed to sample preparation, characterization, carried out the experiments, calculations and analyzed the data, wrote the manuscript. K.K., J.P., R.J., and G.K. was involved in experiments, results, and discussions. All authors reviewed the manuscript.
Corresponding authors
Ethics declarations
Competing interests
The authors declare no competing interests.
Additional information
Publisher's note
Springer Nature remains neutral with regard to jurisdictional claims in published maps and institutional affiliations.
Rights and permissions
Open Access This article is licensed under a Creative Commons Attribution 4.0 International License, which permits use, sharing, adaptation, distribution and reproduction in any medium or format, as long as you give appropriate credit to the original author(s) and the source, provide a link to the Creative Commons licence, and indicate if changes were made. The images or other third party material in this article are included in the article's Creative Commons licence, unless indicated otherwise in a credit line to the material. If material is not included in the article's Creative Commons licence and your intended use is not permitted by statutory regulation or exceeds the permitted use, you will need to obtain permission directly from the copyright holder. To view a copy of this licence, visit http://creativecommons.org/licenses/by/4.0/.
About this article
Cite this article
Pandiyan, J., Jagadheesan, R., Karthikeyan, G. et al. Probing of heavy metals in the feathers of shorebirds of Central Asian Flyway wintering grounds. Sci Rep 10, 22118 (2020). https://doi.org/10.1038/s41598-020-79029-z
Received:
Accepted:
Published:
Version of record:
DOI: https://doi.org/10.1038/s41598-020-79029-z
This article is cited by
-
Monitoring of toxic metals(loids) in fifteen raptor bird species of Iran
Environmental Science and Pollution Research (2024)
-
Mercury Contamination Threatens Kentish Plover Populations in a key Conservation Reserve in the West Coast of India
National Academy Science Letters (2024)
-
Temporal Variations of Shorebird Abundance and Diversity at Muttukadu Backwaters – A Key Wintering Site in the Southeast Coast of India
Thalassas: An International Journal of Marine Sciences (2024)
-
Global mercury concentrations in biota: their use as a basis for a global biomonitoring framework
Ecotoxicology (2024)
-
Assessment of Heavy Metals in Agroecosystems of the Cauvery Delta Region, South India Using a Focal Species: The Pavo cristatus
Proceedings of the Zoological Society (2023)










