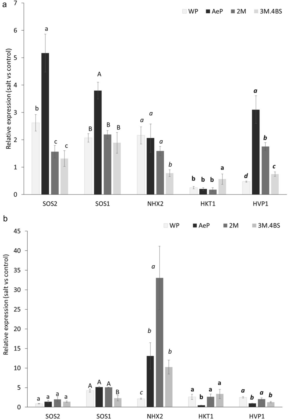
Figure 8

Salt-induced changes in the expression levels of the SOS1 (salt-overly sensitive 1), SOS2 (salt-overly sensitive 2), NHX2 (Na+/H+ antiporter), HVP1 (vacuolar H+ inorganic pyrophosphatase 1) and HKT1 (histidine-kinase transporter) genes in the roots (a) and leaves (b) of wheat (WP) and Aegilops (AeP) parents, addition lines 2M and 3M.4BS. The data were obtained from three biological and three technical replicates of each treatment. For each gene, different letters indicate statistically significant differences between the genotypes at p < 0.05 using Tukey’s post hoc test.