Abstract
Aegilops biuncialis is a promising gene source to improve salt tolerance of wheat via interspecific hybridization. In the present work, the salt stress responses of wheat-Ae. biuncialis addition lines were investigated during germination and in young plants to identify which Aegilops chromosomes can improve the salt tolerance of wheat. After salt treatments, the Aegilops parent and the addition lines 2M, 3M and 3M.4BS showed higher germination potential, shoot and root growth, better CO2 assimilation capacity and less chlorophyll degradation than the wheat parent. The Aegilops parent accumulated less Na in the roots due to an up-regulation of SOS1, SOS2 and HVP1 genes, while it contained higher amount of proline, fructose, glucose, galactose, maltose and raffinose. In the leaves, lower Na level was accompanied by high amount of proline and increased expression of NHX2 gene. The enhanced accumulation of sugars and proline was also observed in the roots of 3M and 3M.4BS addition lines. Typical mechanism of 2M addition line was the sequestration of Na into the vacuole due to the increased expression of HVP1 in the roots and NHX2 in the leaves. These results suggest the Aegilops chromosomes 2M and 3M can improve salt tolerance of wheat in different way.
Similar content being viewed by others
Introduction
Wheat (Triticum aestivum L.) is one of the most essential cereals worldwide consumed by approximately 20% of human population. According to prognostics, wheat productivity should be doubled by year 20501 in order to produce an adequate quantity of food for the escalating human population, however wheat productivity is often reduced by environmental stresses such as drought and salinity. High salinity affects around 20% of the arable land2. Wheat is a sensitive or moderately salt tolerant species and soil salinity above ~ 10 dS m−1 (or above app. ~ 100 mM NaCl in a solution) restricts plant growth and leads to significant yield loss, especially in arid and semiarid regions2.
Improvement of the salt tolerance of wheat has become a great challenge and important goal for plant breeders; however, it has been resolved with restricted success yet due to the complex and multigenic nature of salt tolerance3. The complexity is based on the fact that salt stress causes osmotic, ionic and oxidative stress in plants and the protection against them requires a complex physiological and metabolic rearrangement in the plants.
At least, three major mechanisms contributing to salinity tolerance are identified, namely restricted uptake and transport of Na in roots and shoot, Na exclusion from cytosol causing tissue tolerance and protection against salt-induced osmotic stress4,5.
Accumulation of compatible solutes, such as soluble sugars (e.g. fructose, glucose, galactose, raffinose and trehalose), proline, glycine betaine (GB), and polyols can serves as osmoprotectants (for review see Krasensky and Jonak6). Enhancement in the osmotic adjustment capacity may also improve the salt tolerance of plants7,8.
Other potential mechanisms responsible for salt tolerance are restricted Na+ uptake by the roots and/or transport to the shoot either by reduced Na loading into xylem or its recirculation into the roots (for review see Hanin et al.3). Several transporters were identified, which take part in these processes: SOS1 (a plasma membrane Na+/H+ exchanger) in interaction with SOS2 and SOS3 proteins9 operates in Na-exclusion. HKT transporters mediates Na distribution between roots and shoots by inducing Na retrieval from the shoot. It prevents the leaves from Na overaccumulation10. In addition, the maintenance of low cytoplasmic Na+ concentration can be achieved by efficient sequestration of Na to the vacuole. The tonoplast Na+/H+ antiporters (NHXs) energized by the vacuolar H+-ATPase and pyrophosphatases (HVPs) are found to take part in these processes. However, some of these transporters, like HKTs and NHXs, also regulate the K+ level in different plant tissues and play a role in the retention of K+ in cytosol11,12. The ability to retain potassium in cytosol is just as important as the elimination of sodium in order to maintain the metabolic processes. Therefore, K retention in the cells is also a good indicator of salt tolerance13.
All these mechanisms, together or separately, can contribute to the sustaining of normal cell activities, and therefore they may be efficient under a particular circumstance and/or in a genotype- and growth stage-dependent way14,15. According to Munns et al.14 Na+ exclusion may be more effective in higher salinity, while under moderately saline conditions, the ‘osmotic tolerance’ may be much more pronounced. In both cases, it is likely that salt tolerance is a results of the harmonized coordination of a vast number of genes. The main challenge in improving salt tolerant wheat cultivars is to identify those allele combinations that ensure these coordinated functions. Moreover, the variability of these allele combinations is low in domesticated wheat due to thousands of years of long cultivation and breeding16,17. Involvement of new, alternative gene sources in breeding programmes may enhance genetic diversity of wheat and may improve its potential for salt tolerance.
Aegilops species are the closest relative of wheat and represent a huge reservoir of useful gene variants that can be used in breeding programmes through interspecific hybridization18,19. Several wheat—Aegilops hybrids, addition and translocation lines have already been developed for this purpose20. These introgression lines have been used to assign useful alien traits to transferred chromosomes and for studying the effect of alien chromosomes on the metabolomics and gene expression of wheat18. The chromosome-mediated approach was most successful in case of biotic stress resistance traits as more than 40 genes providing resistance against various rust diseases were transferred from Aegilops species into wheat18. Numerous data are also available for improving grain quality related traits such as micronutrient or edible fibre content21,22. Rather limited information is available on the successful utilization of Aegilops species for increasing wheat tolerance to abiotic stresses, especially to drought or salt stress23,24,25. Although many accessions of several Aegilops species live in arid and semi-arid regions and show good tolerance to drought or salt stress26,27, their genetic potentials have not been exploited yet28. It is due to the fact the genetic background of abiotic stress tolerance is hardly available in the wild relatives of wheat29. It is especially true for the allotetraploid Aegilops biuncialis (2n = 4x = 28) possessing UUMM genome. Up to now, several wheat—Ae. biuncialis disomic addition lines have been developed carrying the chromosomes 1U, 3U, 6U, 2M, 3M, 5M and 7M besides the whole wheat genome, respectively30,31,32. In addition, a 3M.4BS translocation line possessing the 3M chromosome arm from Ae. biuncialis on the short arm of wheat chromosome 4B has also been reported33. The introgression lines are suitable for studying the transfer of salt tolerance traits into wheat and to assign tolerance traits to alien chromosomes.
In the present work, we investigated the salt tolerance of wheat—Ae. biuncialis chromosome addition lines together with their parental genotypes. The effect of alien chromosomes on the salt stress responses were characterized at multiple level by monitoring germination potential, growth, relative water content (RWC), photosynthetic activity and chlorophyll content of the leaves characterized by SPAD (Soil Plant Analysis Development) values. Furthermore, several salt tolerance mechanisms related to the synthesis of compatible solutes and Na+ and K+ transport processes together with the expression of same key genes were also investigated. By detailed characterization of salt stress responses we provided information to the following questions: (1) is the parental Ae. biuncialis accession suitable gene source to improve salt tolerance of wheat, (2) is it possible to improve salt tolerance by any of the added Aegilops chromosomes and which additional chromosomes are responsible for the increased salt tolerance, and finally (3) how the salt tolerance mechanisms of wheat have been modified by the added Aegilops chromosomes?
Results and discussion
Salt stress response during germination
Seed germination is the first stage of a plant’s life cycle and salt tolerance of plants at germination stage is critical for successful growth under saline conditions. Under salt stress conditions, seed germination can be reduced due to the loss of seed viability and/or to the delay of germination. The former is manifested in the decrease of germination percentage (G %) and the later in the reduction of the shoot and roots length and weight, respectively34.
Under control condition, the best germination potential and the longest root and shoot length were observed in 3M.4BS translocation line, while the root and especially the shoot growth was slightly reduced in the addition lines 3U and 7M in comparison to the wheat parent (Supplementary Table S2).
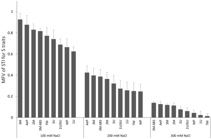
The salt-induced changes caused the lowest effect on G % (the reduction ranged between 0–15% at 100 mM NaCl, 20–50% at 200 mM and 30–80% at 300 mM NaCl). This was followed by the reduction of root growth, but the most pronounced effect was observed for shoot growth. The reduction of root and shoot growth ranged between 20–60% of the control’s at 100 mM NaCl and between 60 and 80% at 200 mM NaCl. At 300 mM salt concentration the shoot growth was inhibited so extensively (e.g. the shoot length ranged from 1 to 2.5 mm) that their weights were left out of consideration (Supplementary Table S2). Comparing the genotypes, however, G % was significantly higher in the Aegilops parent and in the wheat–Aegilops addition lines 2M, 3M and 3M.4BS than in the wheat parent when they were exposed to 200 or 300 mM NaCl (Fig. 1). Greater shoot and root lengths were also found in the Aegilops parent and in the addition lines 2M, 3M and 3M.4BS at 100, 200 and 300 mM NaCl concentrations. Similar tendencies were observed for root and shoot weight (Fig. 1 and Supplementary Table S2). For the better comparison of the genotypes and the effects of treatments several effective screening methods have been developed35,36. In these studies, the measured parameters (G %, the length and weight of root and shoot) were arranged and ranked according to membership function value (MFV) for each trait (Fig. 1) and the salt tolerance of the genotypes was evaluated on the basis of the salt tolerance indices (the ratio of data derived from salt-treated and control plants). The ranked list of the average values of MFV of 5 traits for the salt tolerance indices are presented in Fig. 2, which evidently demonstrated that the Aegilops parent and some addition lines, such as 2M, 3M, and 3M.4BS, showed better germination potential and growth under salt stress conditions than other genotypes including the wheat parental line. Further investigations were performed to confirm whether the increased salt tolerance was able to manifest in young plants too.
Comparison of germination properties (germination rate [G%], root length [RL], root weight [RW], shoot length [ShL], and shoot weight [ShW]) of seedlings of different addition lines and wheat (WP) and Aegilops (AeP) parental lines in the control (without salt treatment) and under salt stress conditions induced by 100, 200 and 300 mM NaCl treatment. Each parameter is scaled between 0 and 1 values, where dark blue represents the lowest value (0) and intense red represents the highest value (1). The absolute values are found in Supplementary Table S2.
Membership functional values (MFV) of salt tolerance indices (STI) according to 5 traits of each genotype (WP–wheat parent; AeP—Aegilops parent and addition lines). The calculation was performed as described by Chen et al.35.
Salt stress response in young plants: changes in growth, RWC, photosynthetic activity and SPAD values
Comparing the genotypes grown in hydroponic solution without NaCl application, the Aegilops accession had longer but thinner roots and shorter shoot than those of the wheat parents and most of the addition lines (except for the root of 3M.4BS translocation line and shoot of 2M and 3M addition lines) (Fig. 3). The 3M.4BS genotype developed robust roots which manifested in increased root length (Fig. 3) and weight (Supplementary Fig. S1). Several authors have indicated that root architecture affects the salt tolerance of plants as roots are directly exposed to salinity and they control the uptake and transport of water, nutrients and salts to the shoot37,38. In the present experiments, the length and weight of both shoots and roots were sharply reduced in all genotypes (Fig. 3) when the plants were exposed to salt stress. The reduction was lower in the Aegilops parent and in the addition lines 2M, 3M and 3M.4BS than that in the wheat parent and other addition lines (Fig. 3). Namely, in the Aegilops parent and in 2M, 3M and 3M.4BS addition lines, the reduction varied between 28–37% in root and 40–45% in shoot, while in wheat parents and in other addition lines the decrease was ranged between 40–47% and 56–60%, respectively. The greater root length of the Aegilops parent and the 3M.4BS addition lines and the lower salt-induced changes both in the roots and in the shoots indicated a better root and shoot growth potential under salt stress condition. In the case of 2M and 3M addition lines, better growth was manifested only under salt stress conditions. Similar trends were observed for the changes of root and shoot weight (Supplementary Fig. S1).
Growth responses of different genotypes grown in hydroponic solution with and without salt treatment. Root length (a) and shoot length (b) of plants. WP—wheat parent; AeP—Aegilops parent; Data are mean ± standard deviation of 10 replicates per treatment and genotypes. Different letters indicate significant differences between the genotypes at p < 0.05 using Tukey’s post hoc test.
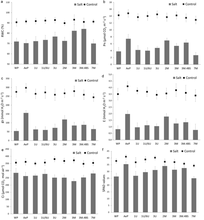
Wilting of leaves is one of the most obvious symptoms of salt-induced osmotic stress, indicating a disturbance in water balance39. In the present study, the RWC of the leaves was similar in all plants grown in hydroponic solution without salt stress, while RWC decreased significantly under salt stress condition in most genotypes, except for 3M and 3M.4BS addition lines (Fig. 4a). It seems that these genotypes were able to maintain the water content of the leaves under salt stress.
Relative water content (RWC) (a), photosynthetic activity (Pn) (b), stomatal conductance (gs) (c), transpiration rate (E) (d), interneccular CO2 level (Ci), (e) and chlorophyll content indicated by SPAD values (f) in leaves with and without salt treatment. WP: wheat parent; AeP: Aegilops parent. Data represent mean ± standard deviation of 5 replicates per treatment and genotype for RWC, Pn, gs, E and Ci, while n = 10 for determination of SPAD values in each treatment. The results of statistical analysis using Tukey’s post hoc test are presented in Supplementary Table S3.
Salinity-induced decrease in the water potential of the hydroponic solution induces stomatal closure, a decline in carbon assimilation and transpiration40,41. When the plants were exposed to salt stress, the decrease of CO2 assimilation rate (Pn), stomatal conductance (gs) related to stomatal closure and transpiration rate (E) were more pronounced in the wheat than in the Aegilops parent, however, no significant difference was found between the two parental lines under control conditions (Fig. 4b–d). Without salt treatment, only the 7M addition lines showed slightly lower Pn, gs and E values as compared to other genotypes. As with the Aegilops parent, these parameters remained higher in salt-treated 2M, 3M and 3M.4BS addition lines, indicating that these genotypes maintained their photosynthetic activity under salt stress more efficiently than others, including the wheat parent (Fig. 4b–d). The Ci level showed only a slight variation under salt stress conditions (Fig. 4e).
Chlorosis is one of the main obvious symptoms of salt stress. Chlorophyll degradation was followed by the decrease of SPAD values at the end of the experiments. Only slight differences were found in the SPAD values measured on the leaves of untreated plants, namely the 2M, 3M, 3M.4BS and especially 7M addition lines had lower values than others (Fig. 4f). Exposing of the plants to salt stress resulted in decreased SPAD values in all genotypes. However, it was less pronounced in the Aegilops parent and in 2M, 3M and 3M.4BS addition lines compared to other genotypes.
The measured parameters demonstrated the typical symptoms of salt stress (growth inhibition, decrease in RWC content of leaves, decline of photosynthetic activity, stomatal closure and chlorosis), however, these changes were genotype-dependent. Compared to the wheat parent, despite the wilting of leaves, the Aegilops parent maintained high photosynthetic activity and kept the stomata open which manifested in higher growth potential under salt stress. The addition lines 1U, 1U/6U, 3U showed similar salt stress responses to those of the wheat parent, while addition lines 2M, 3M and 3M.4BS showed better growth and photosynthetic activities and greener leaves than the wheat parent.
As similar tendencies were observed during the germination test and for plants grown in hydroponic solution, it is possible to conclude that the Aegilops parent and the addition lines 2M, 3M and 3M.4BS possessed higher salt tolerance than the other genotypes. In this way, we could prove that a suitable Ae. biuncialis accession can serve as a gene source to improve the salt tolerance of wheat and that elevated salt tolerance can be manifested in wheat background. In addition, these results indicated that chromosomes 2M and 3M may contain genes or gene regulators responsible for salt tolerance. In the next, potential mechanisms related to salt tolerance were investigated in these selected lines in order to determine how the Aegilops chromosomes could improve the salt tolerance of plants.
Salt stress responses in selected plants: studies on osmotic adjustment and Na accumulation
Salinity tolerance can be attributed to multiple mechanisms including accumulation of osmoprotectants, modification of Na uptake and transport and detoxification of harmful elements. To study the role of osmoregulation, several osmoprotectors such as proline, GB and sugars, were investigated in these experiments.
Similarly, as observed previously42,43, salt treatments resulted in proline accumulation both in the roots and in the leaves. Higher amount of proline was detected in the Aegilops parent and 3M and 3M.4BS addition lines both in the roots and the leaves (Fig. 5a,b). As concluded by Hayat et al.44, increased proline accumulation may result in an improved osmotic stress tolerance. While proline can help maintaining cell turgidity, they also play a role in the stabilization of macromolecules, strengthening membrane integrity, having intermediate products for carbon and nitrogen metabolism or energy production or as a ROS scavenger45. Although we don’t know yet what kind of mechanisms operates in these lines, it is presumed that proline can contribute to the improved salt tolerance in the Aegilops parent and in the 3M and 3M.4BS genotypes.
Effect of salinity treatment on proline (a, b) and glycine betaine (GB) (c, d) content of leaves (upper panels) and root (bottom panels) of different genotypes. Data are mean ± standard deviation of five replicates per treatment. Different letters indicate significant differences between the genotypes at p < 0.05 using Tukey’s post hoc test.
GB is also an extensively studied compatible solute. GB content did not change significantly in the roots in any lines, while it increased significantly in the leaves of all genotypes under salt stress condition (Fig. 5c,d). However, significant difference between the genotypes was found only in the case of 3M.4BS translocation line, in which the amount of GB was lower than in others. These results suggest that GB plays minor role in the salt tolerance of these genotypes.
According to Al-Thani and Yasseen46, sugars can contribute to 30–50% of the osmotic adjustment in glycophyte plants (such as wheat). In the present study, when the plants were exposed to salt stress, the total amount of soluble sugars increased slightly (1–1.5 ×) in the roots, but intensively (2.5–3 ×) in the leaves. (Fig. 6, Supplementary Table S4). However, the sugar composition changed in both tissues. The amount of glucose and fructose decreased both in the roots and in the leaves. The sucrose content did not change or slightly increased in the leaves while it decreased in the roots. The most pronounced effect of salt treatment manifested in the accumulation of galactose both in the roots and in the leaves and also in the accumulation of maltose in the roots and that of raffinose in the leaves (Fig. 6). Starch hydrolysis, galactose or raffinose accumulation have also been detected previously in wheat under drought and different osmotic stress conditions47,48. In this experiment, an unidentified sugar compound (S1) was also separated between the maltose and raffinose. Its amount was high in the roots, but decreased under salt stress condition. Inversely, its amount was low in the leaves, but increased under salt stress condition. These results indicate that different metabolic pathways are activated in the roots and leaves under salt stress condition.
Sugar composition in the leaves (a) and roots (b) of different genotypes grown in hydroponic solution with and without salt treatment. WP–wheat parent; AeP—Aegilops parent and addition lines. Data are mean ± standard deviation of five replicates per treatment. Values and the results of statistical analysis using Tukey’s post hoc test are presented in Supplementary Table S4. Data are mean ± standard deviation of five replicates per treatment.
The above described tendencies in the sugar metabolism were observed in most of the lines; however, the comparison of the genotypes showed that the total amount of sugars were higher in the roots of the Aegilops parent, 2M, 3M and 3M.4BS genotypes than that of the wheat parent even without salt treatment (Fig. 6). The increased amount of sugars was maintained under salt stress condition in most of them except for 2M addition lines. The differences were mainly due to elevated amount of fructose, sucrose, S1 and raffinose in the roots of control plants, and to the higher accumulation of galactose and maltose under salt stress condition (Fig. 6, Supplementary Table S4). In the leaves, the amount and composition of sugars were similar in all genotypes under both control and salt stress conditions, only a slightly higher raffinose content was detected in the Aegilops parent and in 2M addition lines as compared to other genotypes.
The sugars in raffinose family oligosaccharides (RFOs) may accumulate in plant tissues during stresses, and they play a role in the development of stress tolerance3. During their synthesis, galactose units are transferred to sucrose49. Present results also confirm that sugar metabolites play important role in the osmoregulation both in the leaves and in the roots. Furthermore RFOs may play special role in the 2M additional line. According to these results, it is possible that the Aegilops chromosome 2M carries genes affecting the raffinose metabolism in the leaves and the chromosome 3M induces the sugar metabolism in the roots. Both of them may contribute to the altered salt tolerance of these lines through osmoprotection against salt stress. However, further investigations are necessary to determine which genes are located on them.
Salt tolerance mechanisms are also related to the modification of Na+ uptake and transport and/or sequestration of Na+ from the cytosol to the vacuoles3. The modification of these transport processes can also improve salt tolerance. Therefore, we examined these processes by determination of Na and K contents in the roots and leaves and of the expression of genes coding transporters taking part in Na+ or K+ transports.
The Aegilops parent accumulated app. 45% less Na both in the leaves and the roots than the wheat parent (Fig. 7). Na content in the roots of 2M addition line was similar to that of in the Aegilops parent but in the leaves, it ranged between the two parents. In 3M and 3M.4BS addition lines, the Na content in the leaves and roots were lower than that of wheat parent and higher than that of Aegilops parent, however, more reduction was found in the leaves and lesser in the roots. These results indicate that both added chromosomes 2M and 3M can modify the Na+ transport processes but with different efficiency: the 2M chromosome caused stronger effects than 3M. On the whole, the restricted accumulation of Na either in the root or in the leaves was also accompanied with the retention of K in both tissues, as indicated by the elevated amount of K in Aegilops parent and addition lines, as compared to the wheat parent (Fig. 7). The similarities of the stress responses in 3M and 3M.4BS addition lines indicate that the genes responsible for the altered Na transport processes are present in the common chromosome part of 3M and 3M.4BS addition lines. Investigations are currently in progress to determine whether the short or long arm of chromosome 3M has been transferred into the 3M.4BS addition line.
Na (a) and K (b) contents of roots (left) and leaves (right) of different genotypes grown in hydroponic solution with and without NaCl. Data are mean ± standard deviation of three replicates per treatment. Different letters indicate significant differences between the genotypes at p < 0.05 using Tukey’s post hoc test.
When the expression of salt-responsive genes SOS1, SOS2, HKT1, NHX2 and HVP1 were investigated, the Aegilops parent exhibited elevated expression of SOS1, SOS2 and HVP1 genes in the roots and that of NHX2 in the leaves (Fig. 8). These results are in accordance to the lower Na accumulation both in the root and in the shoots. In addition, they also indicate a higher sequestration of Na into the vacuoles. In agreement with this, Sathee et al.50 found increased transcript levels of SOS1, SOS2, NHX1 and HVP1 genes in a salt tolerant wheat genotype compared to a sensitive one, and correlation was found between the transcript level of these genes and the accumulation of Na in the roots and leaves. Furthermore, when the salt tolerance mechanism was studied in an Ae. cylindrica accession (US26L) originated from Uremia Salt Lake shores Norwest Iran, the SOS1 and HKT1 genes were strongly up-regulated in the root which correlated to the excessive exclusion of Na from the root in this salt tolerant genotype29.
Salt-induced changes in the expression levels of the SOS1 (salt-overly sensitive 1), SOS2 (salt-overly sensitive 2), NHX2 (Na+/H+ antiporter), HVP1 (vacuolar H+ inorganic pyrophosphatase 1) and HKT1 (histidine-kinase transporter) genes in the roots (a) and leaves (b) of wheat (WP) and Aegilops (AeP) parents, addition lines 2M and 3M.4BS. The data were obtained from three biological and three technical replicates of each treatment. For each gene, different letters indicate statistically significant differences between the genotypes at p < 0.05 using Tukey’s post hoc test.
From among the genes showing high transcript level in the Ae. biuncialis parent, the increased expression of HVP1 gene in the roots and NHX2 gene in the leaves were also observed in 2M addition line. The NHX2 was also slightly up-regulated in the leaves of 3M.4BS line. These genes are found to be responsible for sequestration of Na to the vacuole and/or retention of K in cytosol11. The importance of these genes in salt tolerance was demonstrated in transgenic Arabidopsis and tomato plants, where the overexpression of NHX and HVP genes resulted in elevated salt tolerance51,52. Our results showed that the elevated expression of these genes can also be reached through chromosome-mediated gene transfer, which could be an alternative to GMO for improving the salt tolerance of wheat. Since the genome of Ae. biuncialis (UUMM) has not been sequenced yet, further investigations are necessary to determine which genes are located on chromosomes and 3M and/or how 2M and 3M chromosomes affect the expression of these genes.
Conclusion
Comparing the salt stress responses of wheat and Aegilops parents and their addition lines 1U, 1U/6U, 3U, 2M, 3M and 7M, it was revealed that the Aegilops parent and the addition lines 2M, 3M and 3M.4BS possessed elevated salt tolerance both during germination and at early developmental stages. Detailed studies showed that several salt tolerance mechanisms including osmotic tolerance, Na exclusion and tissue tolerance operates more effectively in the Ae. biuncialis accession than in the wheat. The elevated accumulation of proline both in the roots and leaves and that of sugars, including fructose, glucose, galactose, and raffinose, in the roots suggest that these compounds can contribute to the increased osmotic protection against salt stress. Since the amount of proline and sugars were also higher in 3M and 3M.4BS addition lines, it seems that 3M chromosomes may improve the osmoregulation efficiency of wheat in the adequate tissues. Furthermore, the Aegilops parent accumulated less Na both in the roots and leaves due to the increased transcript level of the SOS1, SOS2 and HVP1 genes in the root and that of NHX2 in the leaves. The high expression of HVP1 and NHX2 genes were also manifested in the 2M addition lines contributing to its improved salt tolerance, however, these processes are less important in 3M.4BS line. These investigations demonstrated that a suitable Ae. biuncialis accessions could be used as gene source to improve the salt tolerance of wheat and the increased salt tolerance could be transferred to wheat. The 2M and 3M chromosomes may contain genes responsible for the improved traits. From among the potential mechanisms, greater osmoprotection related to sugar and proline accumulation could contribute to the enhanced salt tolerance in those addition lines which contain 3M chromosome of Ae. biuncialis. The sequestration of Na into the vacuole could be the dominant mechanism in 2M addition line. These results confirmed that salt tolerance could be developed by several processes and that the enhancement of these processes, individually or together, could contribute to the improvement of such a complex trait like salt tolerance.
Methods
Plant materials, growth conditions and salt treatment
A partial set of wheat—Ae. biuncialis addition (1U, 1U/6U, 3U, 2M, 3M and 7M) and translocation (3M.4BS) lines developed from bread wheat (T. aestivum ‘Mv9kr1′) and Ae. biuncialis ‘MvGB642′ hybrid30,33,53 were used in these experiments together with their parental genotypes. The genetic stability of the addition lines was checked cytologically several times.
The salt response was studied during germination and in young plants as described earlier54,55. Briefly, in the germination test, seeds (3 × 25 of each genotype per treatment) were surface-sterilized in 1% sodium hypochlorite for 5 min, rinsed twice in distilled water and germinated on wet filter paper containing 0, 100, 200 and 300 mM NaCl, in Petri dishes for 3 days, at room temperature. Afterwards, G %, length and weight of root and coleoptile (n = 3 × 10) were determined.
For testing the salt responses in young plants, the surface-sterilized seeds were germinated on wet filter paper in Petri dishes for 3 days at room temperature. The seedlings with similar root length were grown in pots (10 plants/0.6 L pot) containing half-strength Hoagland solution in a phytotron growth chamber (PGR15, Conviron, Controlled Environments Ltd, Winnipeg, MB, Canada), under a 16 h photoperiod at 250 µmol m−2 s−1 and 22/20 °C day/night temperature for 7 days. The solutions were changed every 2 days. The 10-day old plants were treated with salt by adding 100 mM NaCl to the nutrient solution, while the control plants continued to growth in half-strength Hoagland solution. After 7 days, the NaCl concentration was increased to 200 mM for further 7 days. Five pots of each line were used as controls (without salt treatment) and five of them were used for the salt treatment. The salt-induced changes were carried out at the end of the experiments.
Monitoring salt-induced changes in growth, RWC, photosynthetic activity and chlorophyll content of leaves
The salt-induced decrease in growth was determined by measuring the length and weight (g/plant) of the roots and shoots. At least 15 plants (3 from each pot) of each line and treatment were measured.
RWC content of leaves was determined using the following equation: RWC = (FW-DW)/(SW-DW) × 100 where FW is fresh weight, SW is water-saturated weight measured after 24 h rehydration of leaves in distilled water and DW is dried weight measured after oven drying for 48 h at 80 °C. Approximately 0.2 g of leaves were sliced into 2 cm segments for each sample and five samples were used for each treatment and genotype.
Photosynthetic activity of the plants was determined by gas exchange analysis. It was performed on the youngest fully expanded leaves using a Ciras 3 Portable Photosynthesis System with a narrow (2.5 cm2) leaf cuvette holder (PP, Systems Company, Amesbury, USA). Net photosynthetic rate (Pn), stomatal conductance (gs), transpiration rate (E) and intracellular CO2 concentration (Ci) were determined at the steady-state level of photosynthesis using a CO2 level of 390 μL L−1 and light intensity of 450 μmol m-2 s−1 . At least five leaves were measured for each line and treatment.
The chlorophyll content of the leaves was characterized by SPAD values determined with a SPAD-502 Chlorophyll Meter (Spectrum Technologies, Painfiled, IL, USA). At least 10 leaves were measured for each line and treatment.
Determination of metabolites related to osmotic adjustment
The salt induced changes of several osmolytes were followed by the determination of the amount of proline, GB and sugar contents of the leaves and roots.
Proline and GB contents were measured photometrically using a UV–Vis spectrophotometer (160A, Shimadzu Corp, Kyoto, Japan) as described by Bates et al. (1973)56 and Grieve and Grattan57, respectively.
Sugar content, including the amount of glucose, fructose, sucrose, galactose, sacharose, raffinose and maltose, were measured after HPLC analysis performed according to Gondor et al.58. Standards purchased from Sigma-Aldrich (Darmstadt, Germany) were used for the quantification.
For each method, 5 × 0.3 g of leaf or root samples were collected per treatment and genotype.
Determination of Na and K content in leaf and root
The amounts of Na and K were measured from air-dried samples (0.5 g per sample) using the inductively coupled plasma-atomic emission spectrometry method (ICP-AES, Jobin–Yvon Ultima 2 Sequential Instrument) after microwave Teflon bomb digestion with cc. HNO3 + HCl59. Three samples of each genotype and treatment were collected for analysis at the end of the experiments.
Gene expression studies
Expression of SOS1, SOS2, HKT1, NHX2 and HVP1 genes responsible for Na+ transport and sequestration were determined by quantitative reverse transcription PCR (qRT-PCR). The RNA isolation process, the method of cDNA synthesis and the qRT-PCR measurements were performed as it was described by Darko et al.54. Briefly, the total RNA content was isolated from fully developed leaf and root samples with a Direct-zolRNA MiniPrep Kit (Zymo Research, USA) and TRI-Reagent (Zymo Research, USA) according to the manufacturer's instructions. M-MLV-Reverse transcriptase (Promega Corporation, Madison, WI, USA) was used for the cDNA synthesis. Quantitative RT PCR measurements were performed with the CFX96 Touch Real-Time PCR Detection System (Bio-Rad Hungary Ltd., Hungary) using the KAPA SYBR FAST, Master Mix (2X), Universal qPCR Kit (Kapa Biosystems, Inc., Wilmington, USA). Primers for the above genes were either designed with the NCBI—Primer Design Tool software (National Center for Biotechnology Information, Bethesda, USA) or the sequences were taken from the literature (Supplementary Table S1). Relative transcript levels were calculated according to the ΔΔCt method as described by Livak and Schmittgen60, and Ta30797 gene was used as reference. The measurements were performed using three biological and three technical replicates of each genotype and treatment.
Data analysis and statistics
The results were obtained from three independent experiments involving 3 and 5 replicates of each genotype per treatment in the germination test and during the determination of salinity tolerance in young plants, respectively. The measurements were performed in several biological replicates as indicated above. The values presented in the figures and tables are mean ± standard deviation (SD). Tukey’s post hoc test (SPSS 16.0) was also used for determination the differences between genotypes and treatments at 0.05 significance level.
References
Foresight. The Future of Food and Farming: Challenges and choices for global sustainability. Final Project Report. (The Government Office for Science, 2011) at https://www.foresightfordevelopment.org/sobipro/55/866-the-future-of-food-and-farming-challenges-and-choices-for-global-sustainability
Qadir, M. et al. Economics of salt-induced land degradation and restoration. Nat. Resour. Forum 38, 282–295 (2014).
Hanin, M., Ebel, C., Ngom, M., Laplaze, L. & Masmoudi, K. New insights on plant salt tolerance mechanisms and their potential use for breeding. Front. Plant Sci. 7, 1787. https://doi.org/10.3389/fpls.2016.01787 (2016).
Liang, W., Ma, X., Wan, P. & Liu, L. Plant salt-tolerance mechanism: A review. Biochem. Biophys. Res. Commun. 495, 286–291 (2018).
Deinlein, U. et al. Plant salt-tolerance mechanisms. Trends Plant Sci. 19, 371–379 (2014).
Krasensky, J. & Jonak, C. Drought, salt, and temperature stress-induced metabolic rearrangements and regulatory networks Europe PMC Funders Group. J. Exp. Bot. 63, 1593–1608 (2012).
Adem, G. D., Roy, S. J., Zhou, M., Bowman, J. P. & Shabala, S. Evaluating contribution of ionic, osmotic and oxidative stress components towards salinity tolerance in barley. BMC Plant Biol. 14, 113. https://doi.org/10.1186/1471-2229-14-113 (2014).
Nounjan, N. et al. High performance of photosynthesis and osmotic adjustment are associated with salt tolerance ability in rice carrying drought tolerance QTL: Physiological and co-expression network analysis. Front. Plant Sci. 9, 1135. https://doi.org/10.3389/fpls.2018.01135 (2018).
Tuteja, N. Mechanisms of high salinity tolerance in plants. In Methods in Enzymology, Vol. 428, 419–438 (Academic Press Inc., 2007).
Sunarpi, et al. Enhanced salt tolerance mediated by AtHKT1 transporter-induced Na+ unloading from xylem vessels to xylem parenchyma cells. Plant J. 44, 928–938 (2005).
Leidi, E. O. et al. The AtNHX1 exchanger mediates potassium compartmentation in vacuoles of transgenic tomato. Plant J. 61, 495–506 (2010).
Ariyarathna, H. C. K., Ul-Haq, T., Colmer, T. D. & Francki, M. G. Characterization of the multigene family TaHKT 2;1 in bread wheat and the role of gene members in plant Na+ and K+ status. BMC Plant Biol. 14, 159. https://doi.org/10.1186/1471-2229-14-159 (2014).
Hauser, F. & Horie, T. A conserved primary salt tolerance mechanism mediated by HKT transporters: A mechanism for sodium exclusion and maintenance of high K+/Na+ ratio in leaves during salinity stress. Plant. Cell Environ. 33, 552–565 (2010).
Munns, R. et al. Wheat grain yield on saline soils is improved by an ancestral Na+ transporter gene. Nat. Biotechnol. 30, 360–364 (2012).
Roy, S. J., Negrão, S. & Tester, M. Salt resistant crop plants. Curr. Opin. Biotechnol. 26, 115–124 (2014).
Zhang, H., Mittal, N., Leamy, L. J., Barazani, O. & Song, B.-H. Back into the wild-Apply untapped genetic diversity of wild relatives for crop improvement. Evol. Appl. 10, 5–24 (2017).
Mansouri, A. et al. Variation and relationships among agronomic traits in durum wheat [Triticum turgidum (L.) Thell. ssp. turgidum conv. durum (Desf.) MacKey] under South Mediterranean growth conditions: Stepwise and path analyses. Int. J. Agron. https://doi.org/10.1155/2018/8191749 (2018).
Kishii, M. An update of recent use of Aegilops species in wheat breeding. Front. Plant Sci. 10, 585. https://doi.org/10.3389/fpls.2019.00585 (2019).
Schneider, A., Molnár, I. & Molnár-Láng, M. Utilisation of Aegilops (goatgrass) species to widen the genetic diversity of cultivated wheat. Euphytica 163, 1–19 (2008).
Kilian, B. et al. Aegilops. In Wild Crop Relatives: Genomic and Breeding Resources, Cereals (ed. Kole, C.) 1–76 (Springer, Berlin, 2011).
Kumar, A., Kapoor, P., Chunduri, V., Sharma, S. & Garg, M. Potential of Aegilops sp. for improvement of grain processing and nutritional quality in wheat (Triticum aestivum). Front. Plant Sci. 10, 308. https://doi.org/10.3389/fpls.2019.00308 (2019).
Rakszegi, M. et al. Addition of Aegilops U and M chromosomes affects protein and dietary fiber content of wholemeal wheat flour. Front. Plant Sci. 8, 1529. https://doi.org/10.3389/fpls.2017.01529 (2017).
Pritchard, D. J. et al. K+/Na + discrimination in synthetic hexaploid wheat lines: Transfer of the trait for K+/Na + discrimination from Aegilops tauschii into a Triticum turgidum background. Cereal Res. Commun. 30, 261–267 (2002).
Zhao, H. et al. Comparative study on drought tolerance of wheat and wheat-Aegilops biuncialis 6Ub addition lines. J. Food Agric. Environ. 11, 1046–1052 (2013).
Colmer, T. D., Flowers, T. J. & Munns, R. Use of wild relatives to improve salt tolerance in wheat. J. Exp. Bot. 57, 1059–1078 (2006).
Pradhan, G. P., Prasad, P. V. V., Fritz, A. K., Kirkham, M. B. & Gill, B. S. High temperature tolerance in Aegilops species and its potential transfer to wheat. Crop Sci. 52, 292–304 (2012).
Garcia, R. M., Parra-Quijano, M. & Iriondo, J. M. Identification of ecogeographical gaps in the Spanish Aegilops collections with potential tolerance to drought and salinity. PeerJ 5, e3494. https://doi.org/10.7717/peerj.3494 (2017).
Witcombe, J. R., Hollington, P. A., Howarth, C. J., Reader, S. & Steele, K. A. Breeding for abiotic stresses for sustainable agriculture. Philos. Trans. R. Soc. B 363, 703–716 (2008).
Arabbeigi, M., Arzani, A., Majidi, M. M., Sayed-Tabatabaei, B. E. & Saha, P. Expression pattern of salt tolerance-related genes in Aegilops cylindrica. Physiol. Mol. Biol. Plants 24, 61–73 (2018).
Schneider, A., Linc, G., Molnár, I. & Molnár-Láng, M. Molecular cytogenetic characterization of Aegilops biuncialis and its use for the identification of 5 derived wheat—Aegilops biuncialis disomic addition lines. Genome 48, 1070–1082 (2005).
Zhou, J. et al. Characterization of a new wheat-Aegilops biuncialis addition line conferring quality-associated HMW glutenin subunits. Genet. Mol. Res. 13, 660–669 (2014).
Song, Z. et al. Analysis of structural genomic diversity in Aegilops umbellulata, Ae. markgrafii, Ae. comosa, and Ae. uniaristata by fluorescence in situ hybridization karyotyping. Front. Plant Sci. 11, 710. https://doi.org/10.3389/fpls.2020.00710 (2020).
Farkas, A., Molnár, I., Tibor, K., Karsai, I. & Molnár-Láng, M. Effect of added barley chromosomes on the flowering time of new wheat/winter barley addition lines in various environments. Euphytica 195, 45–55 (2014).
Gulzar, S. & Khan, M. A. Seed germination of a halophytic grass Aeluropus lagopoides. Ann. Bot. 87, 319–324 (2001).
Chen, X., Min, D., Yasir, T. A. & Hu, Y. G. Evaluation of 14 morphological, yield-related and physiological traits as indicators of drought tolerance in Chinese winter bread wheat revealed by analysis of the membership function value of drought tolerance (MFVD). Field Crop. Res. 137, 195–201 (2012).
Wu, H. et al. An effective screening method and a reliable screening trait for salt tolerance of Brassica napus at the germination stage. Front. Plant Sci. 10, 530. https://doi.org/10.3389/fpls.2019.00530 (2019).
Sánchez-Blanco, M. J., Álvarez, S., Ortuño, M. F. & Ruiz-Sánchez, M. C. Root system response to drought and salinity: Root distribution and water transport. In Root Engineering, Soil Biology, Vol. 40 (eds Morte, A. & Varma, A.) 325–352 (Springer, New York, 2014).
Rahneshan, Z., Nasibi, F. & Moghadam, A. A. Effects of salinity stress on some growth, physiological, biochemical parameters and nutrients in two pistachio (Pistacia vera L.) rootstocks. J. Plant Interact. 13, 73–82 (2018).
Bajji, M., Lutts, S. & Kinet, J.-M. Water deficit effects on solute contribution to osmotic adjustment as a function of leaf ageing in three durum wheat (Triticum durum Desf.) cultivars performing differently in arid conditions. Plant Sci. 160, 669–681 (2001).
Cornic, G. Drought stress inhibits photosynthesis by decreasing stomatal aperture-not by affecting ATP synthesis stomata are probably mainly responsible for the decline in leaf photosynthesis during mild drought conditions. Trend Plant Sci. 5, 187–188 (2000).
Molnár, I. et al. Physiological and morphological responses to water stress in Aegilops biuncialis and Triticum aestivum genotypes with differing tolerance to drought. Funct. Plant Biol. 31, 1149–1159 (2004).
Misra, N. & Gupta, A. K. Effect of salt stress on proline metabolism in two high yielding genotypes of green gram. Plant Sci. 169, 331–339 (2005).
Huang, Z. et al. Salt stress encourages proline accumulation by regulating proline biosynthesis and degradation in Jerusalem artichoke plantlets. PLoS One 8, e62085. https://doi.org/10.1371/journal.pone.0062085 (2013).
Hayat, S. et al. Role of proline under changing environments: A review. Plant Signal. Behav. 7, 1456–1466 (2012).
Kaur, G. & Asthir, B. Proline: A key player in plant abiotic stress tolerance. Biol. Plant. 59, 609–619 (2015).
Al-Thani, R. F. & Yasseen, B. T. Solutes in native plants in the Arabian Gulf region and the role of microorganisms: Future research. J. Plant Ecol. 11, 671–684 (2018).
Marček, T., Hamow, K. Á., Végh, B., Janda, T. & Darko, E. Metabolic response to drought in six winter wheat genotypes. PLoS ONE 14, e0212411. https://doi.org/10.1371/journal.pone.0212411 (2019).
Darko, E. et al. Metabolic responses of wheat seedlings to osmotic stress induced by various osmolytes under iso-osmotic conditions. PLoS One 14, e0226151. https://doi.org/10.1371/journal.pone.0226151 (2019).
Panikulangara, T. J., Eggers-Schumacher, G., Wunderlich, M., Stransky, H. & Schö, F. 2004 Galactinol synthase1 A novel heat shock factor target gene responsible for heat-induced synthesis of raffinose family oligosaccharides in Arabidopsis. Plant Physiol. 136, 3148–3158 (2004).
Sathee, L., Sairam, R. K., Chinnusamy, V. & Jha, S. K. Differential transcript abundance of salt overly sensitive (SOS) pathway genes is a determinant of salinity stress tolerance of wheat. Acta Physiol. Plant. 37, 169. https://doi.org/10.1007/s11738-015-1910-z (2015).
Brini, F., Hanin, M., Mezghani, I., Berkowitz, G. A. & Masmoudi, K. Overexpression of wheat Na+/H+ antiporter TNHX1 and H+-pyrophosphatase TVP1 improve salt-and drought-stress tolerance in Arabidopsis thaliana plants. J. Exp. Bot. 58, 301–308 (2007).
Gouiaa, S. & Khoudi, H. Co-expression of vacuolar Na+/H+ antiporter and H+-pyrophosphatase with an IRES-mediated dicistronic vector improves salinity tolerance and enhances potassium biofortification of tomato. Phytochemistry 117, 537–546 (2015).
Molnár, I. et al. Syntenic relationships between the U and M genomes of Aegilops, wheat and the model species Brachypodium and rice as revealed by COS markers. PLoS One 8, e70844. https://doi.org/10.1371/journal.pone.0070844 (2013).
Darko, E. et al. Differing metabolic responses to salt stress in wheat-barley addition lines containing different 7H chromosomal fragments. PLoS One 12, e0174170. https://doi.org/10.1371/journal.pone.0174170 (2017).
Darko, E. et al. Salt stress response of wheat-barley addition lines carrying chromosomes from the winter barley “Manas”. Euphytica 203, 491–504 (2015).
Bates, L. S., Waldren, R. P. & Teare, I. D. Rapid determination of free proline for water-stress studies. Plant Soil 39, 205–207 (1973).
Grieve, C. M. & Grattan, S. R. Rapid assay for determination of water soluble quaternary ammonium compounds. Plant Soil 70, 303–307 (1983).
Gondor, O. K., Szalai, G., Kovács, V., Janda, T. & Pál, M. Relationship between polyamines and other cold-induced response mechanisms in different cereal species. J. Agron. Crop Sci. 202, 217–230 (2016).
Anton, A., Rékási, M., Uzinger, N., Széplábi, G. & Makó, A. Modelling the potential effects of the Hungarian red mud disaster on soil properties. Water Air Soil Pollut. 223, 5175–5188 (2012).
Livak, K. J. & Schmittgen, T. D. Analysis of relative gene expression data using real-time quantitative PCR and the 2-ΔΔCT method. Methods 25, 402–408 (2001).
Acknowledgements
This work was supported by the National Research, Development and Innovation Office (Grant Nos. K112226 and K 135057). We thank Krisztián Gierczik for his practical advices during the gene expression studies.
Author information
Authors and Affiliations
Contributions
ED constructed the experimental design and wrote the manuscript. RK, ZSD, VK, GSZ conducted the experiments. TJ critically assessed all the data and commented on the manuscript. IM has contributed to paper writing and supported for this work. All authors read and approved the final manuscript.
Corresponding author
Ethics declarations
Competing interests
The authors declare no competing interests.
Additional information
Publisher's note
Springer Nature remains neutral with regard to jurisdictional claims in published maps and institutional affiliations.
Supplementary Information
Rights and permissions
Open Access This article is licensed under a Creative Commons Attribution 4.0 International License, which permits use, sharing, adaptation, distribution and reproduction in any medium or format, as long as you give appropriate credit to the original author(s) and the source, provide a link to the Creative Commons licence, and indicate if changes were made. The images or other third party material in this article are included in the article's Creative Commons licence, unless indicated otherwise in a credit line to the material. If material is not included in the article's Creative Commons licence and your intended use is not permitted by statutory regulation or exceeds the permitted use, you will need to obtain permission directly from the copyright holder. To view a copy of this licence, visit http://creativecommons.org/licenses/by/4.0/.
About this article
Cite this article
Darko, E., Khalil, R., Dobi, Z. et al. Addition of Aegilops biuncialis chromosomes 2M or 3M improves the salt tolerance of wheat in different way. Sci Rep 10, 22327 (2020). https://doi.org/10.1038/s41598-020-79372-1
Received:
Accepted:
Published:
Version of record:
DOI: https://doi.org/10.1038/s41598-020-79372-1
This article is cited by
-
A genetransfer strategy based on durum wheat–Aegilops comosa amphiploid top-crossed with hexaploid wheat results in elimination of D chromosomes led to the production of homoeologous M(D) substitutions and translocations
BMC Plant Biology (2026)
-
Dynamics of repetitive DNA sequences over the course of evolution and intraspecific divergence of tetraploid goat-grass species Aegilops biuncialis vis
BMC Plant Biology (2025)
-
Replacement of chromosome 3D with Thinopyrum chromosome 3St led to increased drought tolerance during the flowering stage in wheat
Plant Cell Reports (2025)
-
Genotyping-by-sequencing uncovers a Thinopyrum 4StS·1JvsS Robertsonian translocation linked to multiple stress tolerances in bread wheat
Theoretical and Applied Genetics (2025)
-
Assessment of genetic relation for Aegilops and Triticum possessing different genome-bearing species using start codon targeted marker
Genetic Resources and Crop Evolution (2024)










