Figure 1

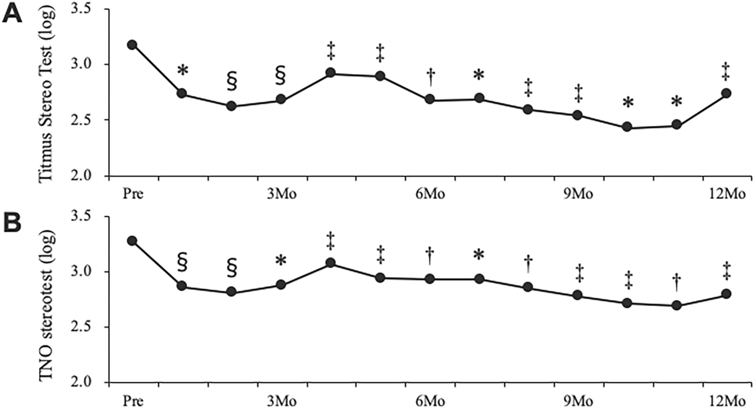
Changes in the Titmus Stereo Test (A) and TNO stereotest (B) pre- and post-treatment in patients with central retinal vein occlusion §p < 0.001, *p < 0.005, †p < 0.01, ‡p < 0.05 compared to baseline.

Changes in the Titmus Stereo Test (A) and TNO stereotest (B) pre- and post-treatment in patients with central retinal vein occlusion §p < 0.001, *p < 0.005, †p < 0.01, ‡p < 0.05 compared to baseline.