Abstract
The study aimed to evaluate changes in stereopsis and vision-related quality of life (VR-QOL) in patients with central retinal vein occlusion (CRVO) following intravitreal ranibizumab injection (IVR) and investigate the relationship between stereopsis and VR-QOL. This study included 23 treatment-naïve patients with non-ischemic CRVO and 13 age-matched normal controls. Stereopsis, best-corrected visual acuity (BCVA), VR-QOL, and retinal microstructures were examined pre-treatment and 12 months post-treatment. The Titmus Stereo Test (TST) and TNO stereotest (TNO) were used to evaluate stereopsis. VR-QOL was evaluated using the 25-item National Eye Institute Visual Function Questionnaire (VFQ-25). IVR immediately and significantly improved the TST values, TNO values, composite VFQ-25 score, BCVA, and central foveal thickness in patients with CRVO. The 12-month post-treatment TST and TNO values were significantly worse in the CRVO group compared to those in the normal group. At the baseline, the composite VFQ-25 score significantly correlated only with the TST value. Multivariate analysis revealed significant associations between the 12-month post-treatment composite VFQ-25 score and the baseline and 12-month post-treatment TNO values. In conclusion, IVR immediately improved stereopsis in CRVO, albeit below normal levels. Stereopsis (not visual acuity) was associated with pre- and post-treatment VR-QOL in patients with CRVO.
Similar content being viewed by others
Introduction
Stereopsis, which is one of the most advanced visual functions, is the ability to perceive the depth of the field through the parallax of images formed by both eyes. Strabismus is among the typical ocular disorders in which stereopsis is compromised owing to impaired coordination between both eyes. On the other hand, stereopsis can also be impaired owing to visual dysfunction in one eye. The most common parameter of visual function that affects stereopsis is visual acuity. Previous experimental studies have shown that blurred vision in one eye affects stereopsis1,2,3,4,5. Several studies have reported the impairment of stereopsis in unilateral retinal diseases such as retinal detachment (RD)6,7 epiretinal membrane (ERM)8,9, macular hole (MH)10,11, and branch retinal vein occlusion (BRVO)12. Moreover, the stereopsis of patients with these conditions were worse than those of normal participants even following successful treatment6,9,11,12. However, no study has investigated stereopsis in patients with central retinal vein occlusion (CRVO).
The traditional ophthalmologic measures of clinical outcome, such as visual acuity, are increasingly being complemented by assessments of patients' visual function and perceived quality of life (QOL). The 25-item National Eye Institute Visual Function Questionnaire (VFQ-25) is a vision-related QOL (VR-QOL) instrument designed to assess patients’ perception of their visual function and QOL13. The VFQ-25 has been used to track the outcomes of several retinal diseases including BRVO14,15, ERM9,16, RD17,18,19, MH20, proliferative diabetic retinopathy (PDR)21, and diabetic macular edema (DME)21. The CRUISE22 and GALILEO studies23 used the VFQ-25 to assess the VR-QOL in patients with CRVO and investigated the changes in the QOL following treatment. The deterioration in the VR-QOL in patients with retinal diseases is attributed to the impairment of visual acuity and various factors related to visual function. Metamorphopsia has been demonstrated to be the cause of decreased VR-QOL in patients with ERM16,21 and MH20. The deterioration in contrast sensitivity has been demonstrated to be the cause of decreased VR-QOL in PDR12, DME21, after RD17 and vitreous floaters24. Moreover, another study reported that stereopsis following RD affects the patients’ VR-QOL, especially while driving19. The present study aimed to assess the stereopsis and VR-QOL in patients with CRVO before and after treatment, and evaluate the relationship between stereopsis and VR-QOL.
Results
Table 1 presents the baseline characteristics of the patients with CRVO and normal controls. This study enrolled 23 patients with CRVO and 13 normal controls. The stereopsis (TST and TNO) and composite VFQ-25 scores were significantly worse in CRVO compared to normal controls. No differences were observed between the age or sex of the participants of the CRVO and normal groups. No patient with CRVO discontinued treatment during the study period. The mean number of injections during the treatment period was 5.6 ± 2.0 (range 3–8 injections). None of the patients experienced ocular treatment-emergent serious adverse events such as glaucoma, iris neovascularization, RD, vitreous hemorrhage, and endophthalmitis. None of the patients underwent cataract surgery or panretinal laser photocoagulation in the affected eye or in the other eye during the follow-up period.
Changes in stereopsis, VR-QOL, visual acuity, and CFT in the CRVO group
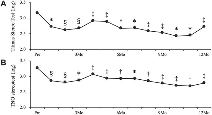
Figure 1 depicts changes in the stereopsis and VR-QOL. The TST values of patients with CRVO at baseline and at 3, 6, 9, and 12 months following treatment were 3.17 ± 0.70, 2.68 ± 0.84, 2.68 ± 0.79, 2.54 ± 0.77, and 2.73 ± 0.78, respectively. The TNO values of patients with CRVO at baseline and at 3, 6, 9, and 12 months following treatment were 3.27 ± 0.59, 2.88 ± 0.72, 2.93 ± 0.68, 2.78 ± 0.82, and 2.79 ± 0.76, respectively. Significant improvements were observed in the TST and TNO values at one through 12 months following IVR injection (Fig. 1A, B). The composite VFQ-25 scores at baseline and at 3, 6, and 12 months following treatment were 62.6 ± 16.9, 70.6 ± 15.6, 72.2 ± 15.8, and 74.3 ± 14.6, respectively. The composite VFQ-25 scores at 3, 6, and 12 months following treatment showed significant improvement compared to those at baseline (p < 0.005, p < 0.005, and p < 0.005, respectively) (Fig. 2).
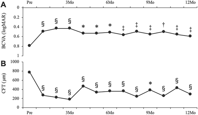
Figure 3 depicts the changes in the BCVA and CFT. The BCVA at baseline and at 3, 6, 9, and 12 months following treatment was 0.79 ± 0.56, 0.43 ± 0.49, 0.51 ± 0.51, 0.55 ± 0.57, and 0.59 ± 0.61 logMAR, respectively. Significant improvements were observed in the BCVA at one through 12 months (Fig. 3A). The CFT at baseline and at 3, 6, 9, and 12 months following treatment was 770 ± 319, 181 ± 58, 361 ± 303, 375 ± 308, and 308 ± 259 µm, respectively. Significant improvements were also observed in the CFT at one through 12 months (Fig. 3B).
Comparison of stereopsis between CRVO and normal controls
The TST and TNO values of the normal controls were 1.72 ± 0.19 and 1.85 ± 0.23, respectively. These values in CRVO before and after treatment were worse than those of the normal controls (Fig. 4A, B).
(A) Titmus Stereo Test values of patients with central retinal vein occlusion pre- and post-treatment 12 months and those of the normal controls (NCs) (B) TNO stereotest values of patients with central retinal vein occlusion pre- and post-treatment 12 months and those of the normal controls (NCs) The error bars indicate standard deviations. §p < 0.001, ‡p < 0.05. LogMAR: logarithm of the minimum angle of resolution.
Relationship between VR-QOL and visual functions
At the baseline, the composite VFQ-25 score significantly correlated only with the TST values, while it was not associated with the TNO and BCVA values (Table 2). At 12 months post-treatment, the composite VFQ-25 score showed a significant correlation with the TNO values and the BCVA, but not with TST (Table 2). When compared the composite VFQ-25 score 12 months post-treatment and the baseline visual functions, the TST, TNO, and BCVA values at baseline showed significant correlation with the VFQ-25 score at 12 months (Table 2). Multivariate analysis revealed that the composite VFQ-25 score obtained 12 months post-treatment was significantly associated with the TNO values at baseline (p = 0.011) and 12 months post-treatment (p = 0.019).
Relationship between Stereopsis and visual acuity
At the baseline, the BCVA significantly correlated with the TST values (r = 0.807, p < 0.001) and TNO values (r = 0.474, p < 0.022). At 12 months post-treatment, the BCVA significantly correlated with the TST values (r = 0.904, p < 0.001) and TNO values (r = 0.825, p < 0.022).
Discussion
This study found that patients with CRVO had impaired stereopsis, which was worse than that in the normal controls. The baseline stereopsis (log) in the patients with CRVO in this study was 3.17 as measured by the TST and 3.27 as measured by the TNO. This study was the first to investigate stereopsis in patients with CRVO. The impairment in the visual function of one eye is known to compromise stereopsis. Prior studies have investigated the disturbance of stereopsis in patients with unilateral retinal diseases, including RD6,7, ERM8,9, MH10,11, and BRVO12. The stereopsis in patients with ERM was 2.35 on the TST and 2.84 on the TNO9, 2.7 on the TST and 2.8 on the TNO in patients with MH11, and 2.72 on the TST and 2.72 on the TNO in patients with BRVO12. IVR immediately improved stereopsis in patients with CRVO; however, it could not restore it to the level of normal controls. The stereopsis was 2.73 on the TST and 2.79 on the TNO 12 months post-treatment in patients with CRVO in this study. The stereopsis following treatment for ERM was 2.19 on the TST and 2.63 on the TNO9, 2.2 on the TST and 2.4 on the TNO in MH11, and 2.06 on the TST and 2.32 on the TNO in BRVO12. Therefore, the degree of stereopsis impairment in CRVO is worse than that in other retinal diseases both before and after treatment.
The BCVA and CFT improved immediately following treatment in patients with CRVO and remained stable throughout the subsequent 12-month period. The 12-month improvement in the BCVA was 0.2 logMAR (10 letters) in this study. The 12-month BCVA following treatment was 13.9 and 16.9 letters better than that of the baseline in the CRUISE22 and GALILEO studies23, respectively. The reason for the comparatively lower improvement in the BCVA in our study than that in the other studies could be attributed to the inclusion criteria. The BCVA for eligibility in the CRUISE22 and GALILEO studies23 were 20/40 to 20/320. On the other hand, our study did not set any BCVA value as an eligibility criterion, and thus, the BCVA in our study population ranged from 20/20 to 20/2000. The improvement in visual acuity could be comparatively lesser than that in the previous studies because our study included patients with extremely poor vision and good vision.
The composite VFQ-25 score improved from 62.6 points before treatment to 74.3 points 12 months following treatment. The mean increase in the composite VFQ-25 score (from baseline) was 9.6 points at 6 months, and 11.7 points at 12 months following treatment in this study. The mean increase from the baseline VFQ-25 composite score was 7.1 points every 6 months following treatment, and 7.8 and 7.1 points every 12 months following treatment, respectively, in the GALILEO23 and CRUISE studies22. On the other hand, the mean number of injections during the 12-month period in our study was 5.6, which was lower than that in the CRUISE (9.8) and GALILEO (11.8) studies. Despite these results, the composite VFQ-25 score in our study improved as much or more than that in other studies, suggesting that 3 + PRN is acceptable as the standard treatment for CRVO from the perspective of the QOL. However, there are problems in comparing VFQ-25 values in different study settings and among different retinal diseases. In the country and race of the institution where the study was performed, retinal diseases including CRVO have their own characteristics, and it is difficult to compare them unitarily.
The baseline composite VFQ-25 score was associated with the TST values, and not the BCVA and TNO. The composite VFQ-25 score12 months post-treatment was not related to the TST, but to the TNO values and BCVA 12 months post-treatment. Moreover, multiple regression analysis determined the TNO value as a prognostic factor for the VR-QOL in patients with CRVO. The results of the two types of stereo tests that affect VR-QOL were inconsistent in this study. This discrepancy may be attributed to the different index sizes used in the two stereo tests. The stimulus used for assessing fine stereopsis in TNO was much larger than that used in the TST circles. The TST circles subtend a visual angle of 0.7°, while those in TNO subtend an angle of 8.5°. The diameters of the fovea and foveola were 1500 and 350 μm, respectively, with visual angles of approximately 5° and 1.2°, respectively. In CRVO patients with CME, visual function is expected to be impaired in a large area, including the central fovea. At baseline, the CFT in particular is very thick and visual function is poor (770 μm in this study). Therefore, TST, which targets a small area near the central fossa, may have been associated with VR-QOL. After 1 year of treatment, the CFT becomes thinner (308 μm in this study), so the visual impairment of not only the foveal area but also the entire posterior pole becomes apparent, and TNO, which targets a large area, may have been associated with VR-QOL. The relationship between visual acuity and VR-QOL is well known in diseases such as diabetic retinopathy25 and uveitis26. In addition, the relationship between visual functions other than visual acuity and VR-QOL has been reported in several retinal diseases. Previous studies reported that VR-QOL was affected by metamorphopsia in patients with ERM16,21 and MH20 and that the VR-QOL was associated with contrast sensitivity in PDR21 DME21, after RD17, and vitreous floaters24. Moreover, stereopsis was associated with the VR-QOL, especially during driving, following RD surgery19. Our results suggest that stereopsis is an important factor affecting the QOL of patients with CRVO.
The BCVA significantly correlated with TST and TNO at baseline and at 12 months post-treatment in this study. The most common parameter of visual function that affects stereopsis is visual acuity. Previous experimental studies have shown that poor visual acuity in one eye impairs stereopsis1,2,3,4,5. Decreased visual acuity was also associated with impaired stereopsis in unilateral retinal diseases such as RD, ERM, MH and BRVO6,7,8,9,10,11,12. Therefore, these results in CRVO patients are consistent with previous reports. However, impaired stereopsis, not decreased visual acuity, affected VR-QOL in this study. This may mean that activities of daily living affect binocular visual function more than visual acuity.
The limitations of this study include its small sample size and short follow-up duration. We evaluated the patients for 12 months following treatment. In the COPERNICUS study, the BCVA 24 months following treatment with intravitreal aflibercept injection was 3.2 letters lower than that following 12 months in patients with CRVO27. Since CRVO is a retinal disease with a poor prognosis, long-term monitoring of the visual functions and QOL is important. Other factors known to affect stereopsis include pupil size28, accommodation5, and eye dominance29; however, these factors were not assessed in this study. Nevertheless, the influence of pupil size and eye dominance on stereopsis is negligible, and is unlikely to have affected our results. Even if the pupil size changed from 1 to 6 mm, the change in TST score was 0.18 in a previous study28, while the TST score changed by 0.2 with the change in the dominant eye29. Future studies with larger sample sizes and longer follow-up periods incorporating other factors are needed to further our understanding of stereopsis and visual function factors in patients with CRVO.
Methods
Study design
This multicenter, open-label, prospective study was conducted in accordance with the Declaration of Helsinki and with the approval of the Institutional Review Board of the University of Tsukuba Hospital and Mito Kyodo General Hospital. All the patients and normal subjects provided informed consent prior to inclusion in the study. Treatment-naïve patients with non-ischemic CRVO who were referred to the Tsukuba University Hospital or Mito Kyodo General Hospital were enrolled in this study. The inclusion criteria for participation were as follows: (1) center-involving macular edema secondary to CRVO, (2) central foveal thickness (CFT) > 250 μm, (3) patients aged 18 years or above, but younger than 85 years, and (4) patients who provided written informed consent. The exclusion criteria were as follows: (1) previous history of ophthalmic disorders in affected and contralateral eyes, except mild refractive errors and mild cataract, (2) pseudophakia in only one eye, (3) patients who underwent treatment for macular edema within the last 90 days (including sub-tenon triamcinolone acetonide, intravitreal bevacizumab, intravitreal ranibizumab [IVR], intravitreal aflibercept, topical steroid, and carbonic anhydrase inhibitors), (4) patients who underwent intraocular surgery within the past 90 days, (5) patients with poorly controlled hypertension and diabetic mellitus, and (6) patients who underwent laser treatment within the last 30 days. We also included age-matched normal controls in this study.
Study visits and assessments
The Titmus Stereo Test (TST) and the TNO stereotest (TNO), which are tests of stereopsis, best-corrected visual acuity (BCVA), and retinal microstructure were examined every month before treatment and over a period of 12 months after treatment. The VR-QOL was examined before treatment and at 3, 6, and 12 months following treatment. We converted the BCVA measured using the Landolt chart to the logarithm of the minimum angle of resolution (logMAR) for use in the subsequent analysis. Because the retinal damage in CRVO is not limited to the foveal area but covers a wide area, we performed two stereoscopic tests with different sizes of indices. TST and the TNO were performed under appropriate spectacle corrections with a standard viewing distance of 40 cm to evaluate the stereopsis. We flipped the stereo target and asked the patient if the target was in front or behind the page, and checked the response to ensure that the patient did not use monocular clues during the TST. The results for TST and TNO were expressed in "seconds of arc." These values were converted to logarithms for statistical evaluation11.
The macular structure was evaluated using spectral-domain optical coherence tomography (OCT) (Cirrus high-definition OCT; Carl Zeiss, Dublin, CA). Five-line Raster Cross scanning was performed using the Cirrus analysis software version 3.0., and scans with a signal strength of more than 6/10 were considered appropriate. The CFT was evaluated using the OCT image.
The VFQ-25 was administered to investigate the VR-QOL in patients with CRVO. The VFQ-25 consists of 25 items that permit patients to self-assess specific visual symptoms and difficulty with daily activities. The responses to the 25 questions are assigned to one of the following 12 subscales: general health, general vision, ocular pain, near activities, distance activities, social functioning, mental health, role limitations, dependency, driving, color vision, and peripheral vision. The composite VFQ-25 score is calculated as the average of the 11 subscale scores, excluding “general health.” Subscales are scored on a scale of 0–100 points, with 100 indicating the best possible functioning or minimal subjective impairment. This study utilized the Japanese version of the VFQ-25, which was modified to fit Japanese culture and lifestyle. The reliability and validity of the modified NEI VFQ-25 questionnaire have been assessed, and the questionnaire was proven to accurately measure the VR-QOL in Japanese individuals30.
Intraocular injections
The patients with CRVO were administered three successive monthly injections of IVR (3 injections during months 0–2) (0.5 mg. Lucentis; Genetech) followed by pro re nata administration (3 + PRN). After 3 injections (month 2), the participants were examined monthly and treated with intravitreal injections on a PRN basis according to the retreatment protocol. The criteria for PRN re-injection were as follows: (1) CFT ≥ 300 μm in the study eye as assessed by OCT, (2) detection of new cystoid changes in the retina, retinal bleeding or subretinal fluid on OCT, and (3) a decrease in visual acuity > 0.1 logMAR compared to the values obtained at the last visit.
The injection protocol was as follows: an eyelid opener was applied following topical anesthesia instillation and the injection site was washed with povidone iodine. A 30-gauge needle was inserted through the pars plana and 0.05 mL of ranibizumab was injected. All the procedures were performed at our clinic by experienced vitreoretinal surgeons (T.M., Y.S., and S.M.).
Statistical analysis
The mean and standard deviation values were calculated for each parameter. The unpaired t-test was used to compare the age, stereopsis, and BCVA between patients with CRVO and normal controls. The chi-squared test was performed to determine the presence of any sex-based between-group differences. The Wilcoxon signed-rank test was performed to investigate changes in the visual function (TST, TNO, and BCVA), CFT, and composite VFQ-25 score. The associations between stereopsis and the composite VFQ-25 score and BCVA were examined using the Spearman rank-correlation test. Multivariate analysis was performed to investigate the relationship between the VR-QOL and visual functions. All the analyses were conducted using SPSS (version 27, IBC Corp., Chicago, IL, USA). P-values less than 0.05 were considered statistically significant.
References
Lam, A. K., Chau, A. S., Lam, W. Y., Leung, G. Y. & Man, B. S. Effect of naturally occurring visual acuity differences between two eyes in stereoacuity. Ophthalmic Physiol. Opt. 16, 189–195 (1996).
Donzis, P. B., Rappazzo, J. A., Burde, R. M. & Gordon, M. Effect of binocular variations of Snellen’s visual acuity on Titmus stereoacuity. Arch. Ophthalmol. 101, 930–932 (1983).
Larson, W. L. & Bolduc, M. Effect of induced blur on visual acuity and stereoacuity. Optom. Vis. Sci. 68, 294–298 (1991).
Levy, N. S. & Glick, E. B. Stereoscopic perception and Snellen visual acuity. Am. J. Ophthalmol. 78, 722–724 (1974).
Goodwin, R. T. & Romano, P. E. Stereoacuity degradation by experimental and real monocular and binocular amblyopia. Invest. Ophthalmol. Vis. Sci. 26, 917–923 (1985).
Watanabe, H. et al. Stereopsis after successful surgery for rhegmatogenous retinal detachment. Graefes Arch. Clin. Exp. Ophthalmol. 252, 1207–1212 (2014).
Lina, G., Xuemin, Q., Qinmei, W. & Lijun, S. Vision-related quality of life, metamorphopsia, and stereopsis after successful surgery for rhegmatogenous retinal detachment. Eye (Lond) 30, 40–45 (2016).
Okamoto, F. et al. Preoperative aniseikonia is a prognostic factor for postoperative stereopsis in patients with unilateral epiretinal membrane. Graefes Arch. Clin. Exp. Ophthalmol. 258, 743–749 (2020).
Okamoto, F., Sugiura, Y., Okamoto, Y., Hiraoka, T. & Oshika, T. Stereopsis and optical coherence tomography findings after epiretinal membrane surgery. Retina 35, 1415–1421 (2015).
Okamoto, F. et al. Vision-related parameters that affect stereopsis in patients with macular hole. Sci. Rep. 10, 2805 (2020).
Okamoto, F. et al. Stereopsis and retinal microstructures following macular hole surgery. Sci. Rep. 10, 19534 (2020).
Morikawa, S. et al. Stereopsis after intravitreal ranibizumab injections for branch retinal vein occlusion. Ophthalmol. Retina 3, 777–783 (2019).
Mangione, C.M., et al; National Eye Institute Visual Function Questionnaire Field Test Investigators. Development of the 25-item National Eye Institute Visual Function Questionnaire. Arch. Ophthalmol. 119, 1050–1058 (2001).
Campochiaro, P. A. et al. Ranibizumab for macular edema following branch retinal vein occlusion: six-month primary end point results of a phase III study. Ophthalmology 117, 1102–1112 (2010).
Clark, W. L. et al. Intravitreal aflibercept for macular edema following branch retinal vein occlusion: 52-week results of the VIBRANT study. Ophthalmology 123, 330–336 (2016).
Okamoto, F., Okamoto, Y., Hiraoka, T. & Oshika, T. Effect of vitrectomy for epiretinal membrane on visual function and vision-related quality of life. Am. J. Ophthalmol. 147, 869–874 (2009).
Okamoto, F., Okamoto, Y., Hiraoka, T. & Oshika, T. Vision-related quality of life and visual function after retinal detachment surgery. Am. J. Ophthalmol. 146, 85–90 (2008).
Ng, H., Vermeer, K. A., van Meurs, J. C. & La Heij, E. C. Visual acuity inadequately reflects vision-related quality of life in patients after macula-off retinal detachment surgery. Invest. Ophthalmol. Vis. Sci. 61, 34 (2020).
Potic, J. et al. Application of modified NEI VFQ-25 after retinal detachment to vision-related quality of life. Retina https://doi.org/10.1097/IAE.0000000000002894 (2020).
Fukuda, S. et al. Vision-related quality of life and visual function in patients undergoing vitrectomy, gas tamponade and cataract surgery for macular hole. Br. J. Ophthalmol. 93, 1595–1599 (2009).
Okamoto, F., Okamoto, Y., Fukuda, S., Hiraoka, T. & Oshika, T. Vision-related quality of life and visual function after vitrectomy for various vitreoretinal disorders. Invest. Ophthalmol. Vis. Sci. 51, 744–751 (2010).
Campochiaro, P. A. et al. Sustained benefits from ranibizumab for macular edema following central retinal vein occlusion: twelve-month outcomes of a phase III study. Ophthalmology 118, 2041–2049 (2011).
Korobelnik, J.F., et al; GALILEO Study Group. Intravitreal aflibercept injection for macular edema resulting from central retinal vein occlusion: One-year results of the phase 3 GALILEO study. Ophthalmology 121, 202–208 (2014).
Mamou, J. et al. Ultrasound-based quantification of vitreous floaters correlates with contrast sensitivity and quality of life. Invest Ophthalmol. Vis. Sci. 56, 1611–1617 (2015).
Matza, L. S., Rousculp, M. D., Malley, K., Boye, K. S. & Oglesby, A. The longitudinal link between visual acuity and health-related quality of life in patients with diabetic retinopathy. Health Qual. Life Outcomes 6, 95 (2008).
Frick, K.D., et al; Multicenter Uveitis Steroid Treatment-MUST Trial Research Group. Associations among visual acuity and vision- and health-related quality of life among patients in the multicenter uveitis steroid treatment trial. Invest. Ophthalmol. Vis. Sci. 53, 1169–1176 (2012).
Heier, J. S. et al. Intravitreal aflibercept injection for macular edema due to central retinal vein occlusion: two-year results from the COPERNICUS study. Ophthalmology 121, 1414–1420 (2014).
Lovasik, J. V. & Szymkiw, M. Effects of aniseikonia, anisometropia, accommodation, retinal illuminance, and pupil size on stereopsis. Invest. Ophthalmol. Vis. Sci. 26, 741–750 (1985).
Erickson, P. & McGill, E. C. Role of visual acuity, stereoacuity, and ocular dominance in monovision patient success. Optom. Vis. Sci. 69, 761–764 (1992).
Suzukamo, Y. et al. Psychometric properties of the 25-item National Eye Institute Visual Function Questionnaire (NEI VFQ-25), Japanese version. Health Qual. Life Outcomes 3, 65 (2005).
Acknowledgements
None.
Funding
This study was supported by Novartis Pharma K.K., Tokyo, Japan. No additional external funding was received for this study. The sponsor had no role in the design or conduct of this research.
Author information
Authors and Affiliations
Contributions
F.O. and T.O. conduct this study. F.O. wrote the main manuscript text. S.M., Y.S., and T.M. had data collection. M.T. and T.H. had data analysis. All authors reviewed the manuscript.
Corresponding author
Ethics declarations
Competing interests
This study was supported by Novartis Pharma K.K., Tokyo, Japan. No additional external funding was received for this study. The sponsor had no role in the design or conduct of this research. Among the authors, only Fumiki Okamoto has a competing interest, and the other authors have no COI.
Additional information
Publisher's note
Springer Nature remains neutral with regard to jurisdictional claims in published maps and institutional affiliations.
Rights and permissions
Open Access This article is licensed under a Creative Commons Attribution 4.0 International License, which permits use, sharing, adaptation, distribution and reproduction in any medium or format, as long as you give appropriate credit to the original author(s) and the source, provide a link to the Creative Commons licence, and indicate if changes were made. The images or other third party material in this article are included in the article's Creative Commons licence, unless indicated otherwise in a credit line to the material. If material is not included in the article's Creative Commons licence and your intended use is not permitted by statutory regulation or exceeds the permitted use, you will need to obtain permission directly from the copyright holder. To view a copy of this licence, visit http://creativecommons.org/licenses/by/4.0/.
About this article
Cite this article
Okamoto, F., Tomioka, M., Murakami, T. et al. Relationship between stereopsis and vision-related quality of life following intravitreal ranibizumab injections for central retinal vein occlusion. Sci Rep 11, 20475 (2021). https://doi.org/10.1038/s41598-021-00094-z
Received:
Accepted:
Published:
Version of record:
DOI: https://doi.org/10.1038/s41598-021-00094-z
This article is cited by
-
Optical coherence tomography parameters as prognostic factors for stereopsis after vitrectomy for unilateral epiretinal membrane: a cohort study
Scientific Reports (2024)
-
Vision-related quality of life in patients with retinal vein occlusion
International Ophthalmology (2024)
-
Aflibercept im klinischen Alltag: die AURIGA-Studie
Die Ophthalmologie (2024)






