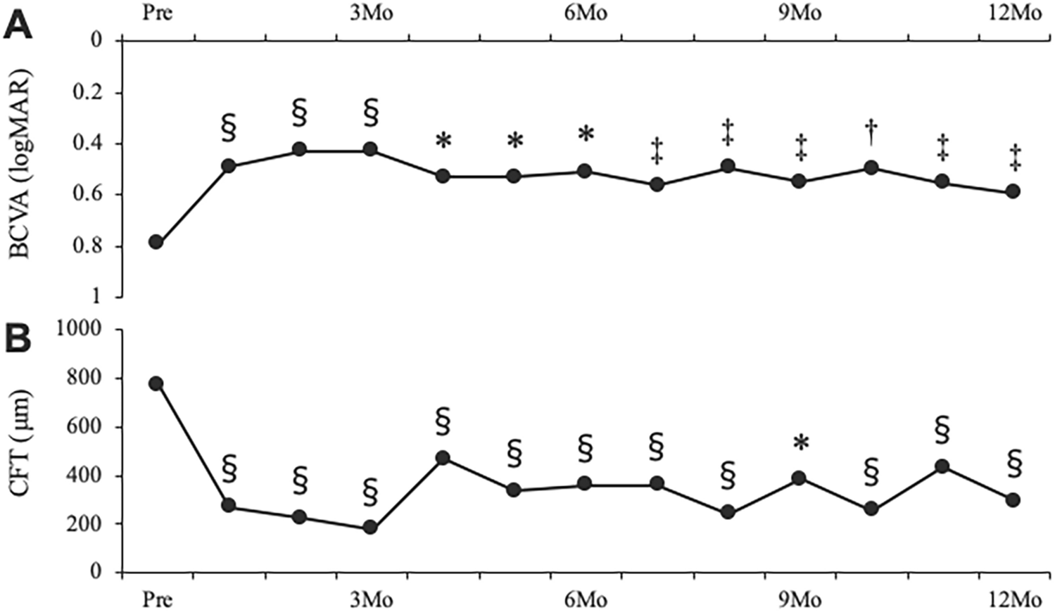
Figure 3

Changes in the BCVA (A) and CFT (B) pre- and post-treatment in patients with central retinal vein occlusion §p < 0.001, *p < 0.005, †p < 0.01, ‡p < 0.05 compared to baseline BCVA = best-corrected visual acuity, CFT = central foveal thickness.