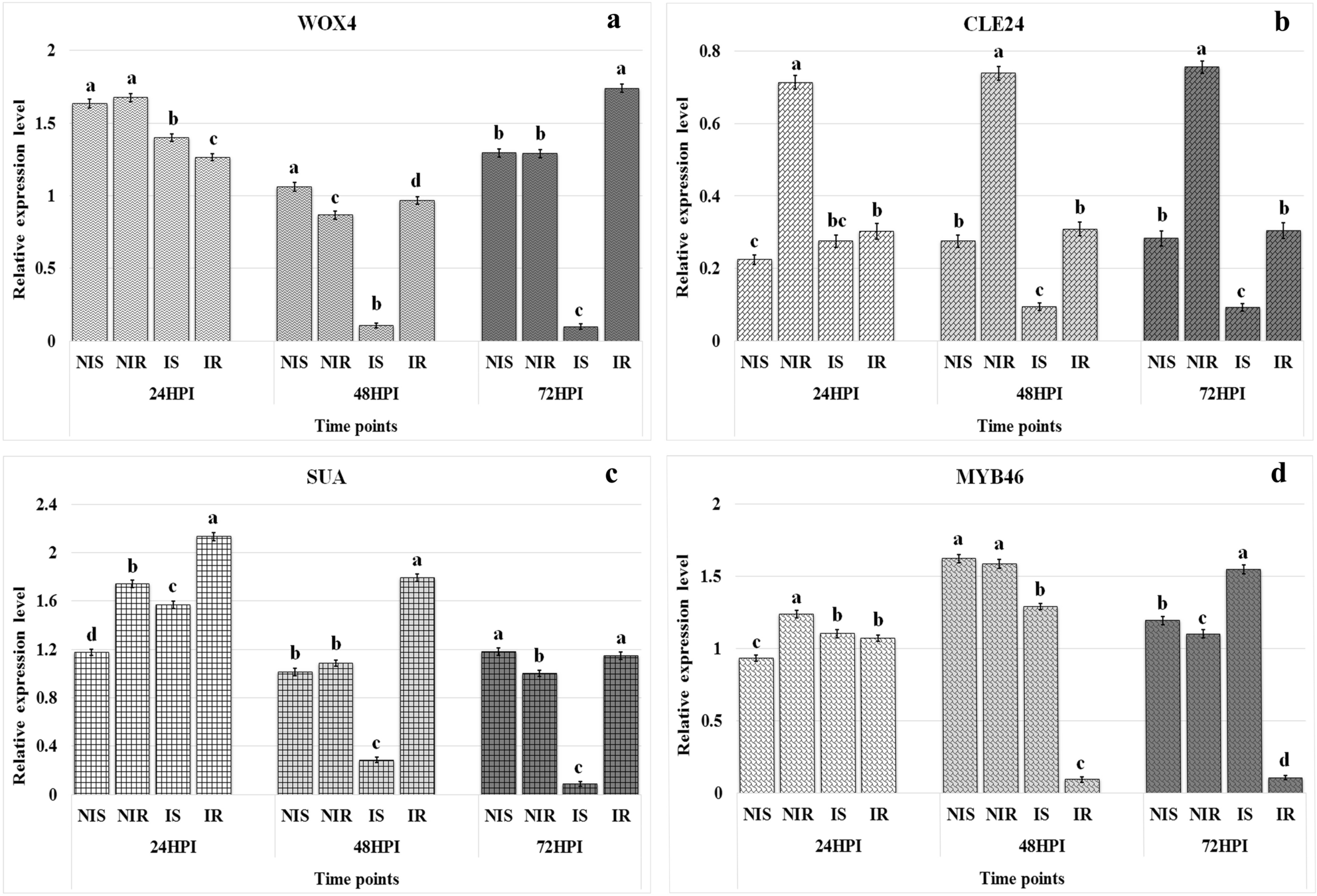
Figure 5

Relative expression levels of four TDFs in the control and Fusarium udum inoculated pigeonpea cultivars. Non-inoculated and inoculated susceptible (ICP 2376) and resistant (ICP 8863) cultivars were analyzed at three different time points by semi-quantitative reverse-transcriptase PCR. (a) WOX4: WUSCHEL-related homeobox 4; (b) CLE24: CLAVATA3/ESR-related 24; (c) SUA: SUPPRESSOR OF ABI3-5; (d) MYB46: Transcription factor MYB46. Values represent mean ± standard error from three replicates (n = 3). Letters indicate the significant differences in the means of relative expression levels for each treatment at a time point obtained using Least Significant Difference tests (p < 0.05). HPI hours post inoculation, NIS non-infected susceptible (ICP 2376), NIR non-infected resistant (ICP 8863), IS infected susceptible, IR infected resistant.