Abstract
Vascular wilt caused by Fusarium udum Butler is the most important disease of pigeonpea throughout the world. F. udum isolate MTCC 2204 (M1) inoculated pigeonpea plants of susceptible (ICP 2376) and resistant (ICP 8863) cultivars were taken at invasion stage of pathogenesis process for transcriptomic profiling to understand defense signaling reactions that interplay at early stage of this plant–pathogen encounter. Differential transcriptomic profiles were generated through cDNA-AFLP from M1 inoculated resistant and susceptible pigeonpea root tissues. Twenty five percent of transcript derived fragments (TDFs) were found to be pathogen induced. Among them 73 TDFs were re-amplified and sequenced. Homology search of the TDFs in available databases and thorough study of scientific literature identified several pathways, which could play crucial role in defense responses of the F. udum inoculated resistant plants. Some of the defense responsive pathways identified to be active during this interaction are, jasmonic acid and salicylic acid mediated defense responses, cell wall remodeling, vascular development and pattering, abscisic acid mediated responses, effector triggered immunity, and reactive oxygen species mediated signaling. This study identified important wilt responsive regulatory pathways in pigeonpea which will be helpful for further exploration of these resistant components for pigeonpea improvement.
Similar content being viewed by others
Introduction
Pigeonpea (Cajanus cajan (L.) Millspaugh) is an economically valuable pulse crop grown on approximately 5.62 million hectares land with 4.43 million tonnes of annual production, globally1. Being world’s seventh most essential grain legume, pigeonpea is an important source of edible protein and important means of financial support for the people in Asia, Eastern and Southern Africa, South America, Central America and the Caribbean countries1. India, the leading pigeonpea producer, is responsible for approximately 75% of the worldwide production, with a yield of 728.7 kg ha−11. Due to several diseases and insect attack, yield of pigeonpea is poor compared to its potential yield, which is 2500 kg ha−12. Vascular wilt disease of pigeonpea caused by soil borne fungal pathogen Fusarium udum Butler is the major limiting factor of pigeonpea production. Wilt occurs at all stages of plant development and results in 30–100% of yield loss depending upon the plant stage during infection3. Fusarium wilt in India causes remarkable production loss of 470,000 t of grain every year4.
Crop rotation, use of fungicides and development of resistant cultivars are different approaches for management of wilt. Crop rotation does not give complete and durable protection because the fungus can survive in soil for several years, while use of fungicides is not an eco-friendly or economical approach5,6. Therefore, development of improved cultivars with increased disease resistance is the most sustainable option to manage Fusarium wilt. Physiological specialization, variation in pathogenicity, location specific presence of the F. udum isolates and differential reactions during pathogenesis were the major limitations for breeding programs for wilt resistance7. F. udum isolates from different geographical locations of India and Kenya were divided into different pathogenic groups based on pathogenicity on different pigeonpea genotypes7,8. Variations were also observed during pathogenesis and establishment of wilt by different F. udum isolates on susceptible pigeonpea cultivar5. Genetic variability among F. udum isolates from various locations of India and Kenya were identified through DNA-based sensitive and precise methods like randomly amplified polymorphic DNA (RAPD) and amplified fragment length polymorphism (AFLP) by several researchers5,7,8. Additionally, out crossing nature, long life cycle and difficulty in accurate phenotyping were other obstacles of conventional resistance breeding efforts9,10. Genetic improvement of pigeonpea was limited due to inadequate genomic resources and low level of genetic diversity in the primary gene pool2,11. Complicated nature of this problem necessitates requirement of sound knowledge on molecular processes underlying resistance and susceptibility of pigeonpea cultivars for the development of cultivars with durable resistance through potent breeding programs.
Understanding the genetic basis of wilt resistance is essential for formulation of strategy to combat this disease. Earlier studies reported lipoxygenase and phytoalexins could be important biochemical markers for the development wilt resistant pigeonpea cultivars12,13,14. Molecular markers, such as RAPD15, simple sequence repeat (SSR)10 and single nucleotide polymorphism (SNP)16; and quantitative trait loci (QTLs)11 were reported to be associated with pigeonpea wilt resistance. Singh et al.16 used sequencing-based bulk segregant analysis to map resistance genes for Fusarium wilt in pigeonpea. They identified a candidate gene named C.cajan_03203 which codes for a retrovirus-like polyprotein. It has role in plant defense during pathogen attacks. In another study, Singh et al.17 deployed insertion-deletion sequencing (indel-seq) approach to identify candidate genomic regions involved in pigeonpea wilt resistance; three indels associated with wilt resistance were identified. Saxena et al.11 identified three QTLs (qFW11.1, qFW11.2 and qFW11.3) for wilt resistance in pigeonpea. Conflicting and inconsistent results suggested complexity in the inheritance of wilt resistance in pigeonpea18,19. Reports available on molecular markers for pigeonpea wilt resistance was very scanty; also, these reports lacked detailed information on pathogenic races/variants of F. udum10. In this scenario, detailed understanding of the molecular factors and signaling pathways behind disease susceptibility or resistance could help in development of resistant plants through different molecular breeding approaches20,21,22.
Transcriptional profiling helped to understand the defense mechanisms involved during Fusarium wilt resistance in plants. Variety of reactions have been observed during Fusarium wilt in model species, Arabidopsis thaliana23; legumes, Cicer arietinum20,24 and Phaseolus vulgaris22; and other crops like Musa spp.25 and Cucumis melo21. However, in pigeonpea, only two previous studies based on real-time PCR analysis reported roles of some specific genes (WRKY transcription factors, antioxidant enzymes and pathogenesis-related proteins) during Fusarium wilt26,27. Unfortunately, there is no report on exploring novel pathways and signaling reactions during F. udum induced responses in pigeonpea till date.
Complementary DNA-AFLP (cDNA-AFLP) and next generation sequencing (NGS) are convenient and effective strategies for transcriptome analysis and identification of differentially regulated genes in plants. The cDNA-AFLP method remains a robust, relatively cheap, quick, simple and reliable tool for the detection of gene expression profile. It is an ideal technique to get preliminary expression profile of plant’s responses during a plant–pathogen interaction, which could be followed up by NGS analysis to gather more information in a cost-effective way22,28. cDNA-AFLP was extensively applied to study differential gene expression in plants during various plant–pathogen encounters including legume–Fusarium interactions22,24,29,30,31.
The present study demonstrates identification of up- and down- regulated transcript derived fragments (TDFs) generated through cDNA-AFLP during early stages of wilt development in F. udum infected and non-infected susceptible (ICP 2376) and resistant (ICP 8863) pigeonpea cultivars. TDFs with possible roles in disease response were characterized and probable molecular interactions among those TDFs were predicted for the better understanding of defense responses during wilt development in pigeonpea.
Results
Morphological and anatomical changes in pigeonpea
ICP 2376 is a slow growing cultivar in comparison to ICP 8863. As a result, Noninfected ICP 2376 attained comparatively shorter height during the experimental tenure of 14–15 days (Fig. SF1a,c,e,g). Phenotypic differences were observed between MTCC 2204 (M1) inoculated susceptible ICP 2376 and resistant ICP 8863 plants. M1 infected ICP 2376 plants exhibited yellowing of roots at 30–36 h post inoculation (HPI) (Supplementary Fig. SF1b,d); yellowing and drooping of stem and leaves at 54–60 HPI (Supplementary Fig. SF1f,h); and wilting of plants occurred at 6–7 days post inoculation (DPI) (data not shown). No growth retardation or disease symptoms was observed in control plants or inoculated ICP 8863 plants even at 15 DPI.
Roots of control and infected pigeonpea cultivars were taken for transverse section followed by trypan blue-lactophenol staining. F. udum invasion in ICP 2376 roots was observed at 30–36 HPI (Fig. 1). Two-thirds clogging of infected susceptible roots was seen at 78–84 HPI, whereas inoculated resistant plants and non-inoculated plants did not show any sign of presence of pathogen (data not shown).
Transverse sections of control and Fusarium udum isolate M1 inoculated roots of pigeonpea at 36 h post inoculation. (a,b) Non-inoculated control roots of resistant ICP 8863 cultivar, (c,d) roots of ICP 8863 inoculated with M1, (e,f) non-inoculated control roots of the susceptible ICP 2376 cultivar, (g,h) roots of ICP 2376 inoculated with M1. Arrows indicate fungal mycelia. Bars represent 10 μm.
Screening of F. udum induced TDFs in pigeonpea through cDNA-AFLP analyses
Primarily, 66 primer combinations (E-2N × M-2N, E-3N × M-2N, E-2N × M-3N and E-3N × M-3N; N, selective nucleotides at the 3′ end of the primer; Supplementary Table S1) were used for selective amplification during cDNA-AFLP profile generation. A total of 1284 TDFs were generated; among them 1245 TDFs showed differential expression. Out of 1245 differentially expressed TDFs, 327 TDFs showed altered expression patterns due to infection. Among the 327 pathogen induced TDFs 152 showed enhanced expression and 175 TDFs showed decreased expression in resistant plants compared to susceptible plants. These bands were approximately 50–370 bp in size (including primer length).
Among the 66 selective amplification primer combinations, 48 were selected for final cDNA-AFLP profiling on the basis of number, resolution and size of the polymorphic TDFs generated due to infection (Supplementary Table S2). In total, 1164 TDFs were generated from 48 primer combinations and 97.33% (1133) of the TDFs showed differential expression. Among these 1133 bands, 839 bands were not included in further analysis, as they either exhibited similar expression patterns in inoculated ICP 2376 and ICP 8863 plants in comparison to the control plants or showed similar profile of fold changes in expressions in both the inoculated plants in comparison to both the non-inoculated counterparts. Thus, differential expression related to dissimilarities in the genome of the two cultivars was eliminated. These 839 TDFs were not considered as pathogen induced TDFs responsible for resistance or susceptibility. Remaining 294 (25.25% of total TDFs) TDFs were uniquely present or amplified to a greater extent in infected ICP 2376/ICP 8863 plants compared to non-infected controls. These bands were treated as pathogen-induced differential TDFs associated with resistance or susceptibility and selected for further analysis. Among 294 pathogen-induced differential TDFs, 143 (48.63%) TDFs were found to show unique up-regulation or increased expression in infected ICP 8863 (resistant cultivar) compared to infected ICP 2376 (susceptible cultivar), whereas 151 (51.37%) TDFs were completely down-regulated or less expressed in infected ICP 8863 compared to infected ICP 2376 (Supplementary Table S2, Supplementary Fig. SF2). One hundred and nine distinctly up- and down-regulated TDFs in the range of approximately 80–370 bp (including primer length) were cut from the dried urea polyacrylamide gel electrophoresis (urea-PAGE) gel. Photograph was taken again to confirm recovery of the correct bands from the gel (Figs. 2 and 3, Supplementary Fig. SF3 and SF4). A total of 73 TDFs which were > 50 bp in length (excluding primer length) were sequenced after cloning in the pGEM-T Easy Vector.
Representative cDNA-AFLP profiles of non-inoculated and Fusarium udum inoculated ICP 2376 and ICP 8863 samples using different primer combinations. Lanes 2, 6, 10, 14, 18, 22, 26, 30: non-inoculated control ICP 2376; lanes 3, 7, 11, 15, 19, 23, 27, 31: non-inoculated control ICP 8863; lanes 4, 8, 12, 16, 20, 24, 28, 32: inoculated ICP 2376; lanes 5, 9, 13, 17, 21, 25, 29, 33: inoculated ICP 8863; The primer combinations used were; lanes 2–5: E-AT/M-GA; lanes 6–9: E-AT/M-GT; lanes 10–13: E-AT/M-TG; lane 14–17: E-AT/M-TC; lane 18–21: E-AT/M-CA; lanes 22–25: E-AT/M-CG; lanes 26–29: E-AT/M-CAT; lanes 30–33: E-AT/M-CTA. Lane 1: 50–1500 bp size standard (LI-COR Biosciences). Inset: Representative enlarged portion of cDNA-AFLP profile to demonstrate the bands (indicated with arrows) excised for further cloning and sequencing.
Representative cDNA-AFLP profiles of non-inoculated and Fusarium udum inoculated ICP 2376 and ICP 8863 samples using different primer combinations, photographed (a) before and (b) after excision of TDFs from the gel. Lanes 1, 5, 9, 13, 17, 21: non-inoculated control ICP 2376; lanes 2, 6, 10, 14, 18, 22: non-inoculated control ICP 8863; lanes 3, 7, 11, 15, 19, 23: inoculated ICP 2376; lanes 4, 8, 12, 16, 20, 24: inoculated ICP 8863; The primer combinations used were; lanes 1–4: E-AT/M-GA; lanes 5–8: E-AT/M-GT; lanes 9–12: E-AT/M-TG; lane 13–16: E-AT/M-TC; lane 17–20: E-AT/M-CG; lanes 21–24: E-ACT/M-GA. Arrows indicate some of the bands, (a) before and (b) after excision, used for further cloning and sequencing.
Bioinformatics analysis of pathogen induced differential TDFs
Among 73 sequenced TDFs, 9 TDFs were repetition of similar genes or transcripts, which were excluded from the study. Sixty four unique TDFs with sizes ranging from 50 to 336 bp (excluding primer length) were analyzed for homology with known or predicted genes. Six TDFs were similar to fungal proteins, and were also not included in further analysis (Supplementary Table S3). Remaining 58 TDFs were differentially regulated in susceptible and resistant plants due to infection (Supplementary Table S4). Ten of those 58 sequences showed no hit or less similar to known or predicted genes from pigeonpea, legumes or any other plants during the search in three databases (National Center for Biotechnology Information (NCBI)32, Legume information system (LIS)33 and Phytozome34).
The remaining 48 TDFs showed high similarities (97–100%) in the NCBI and LIS database search. The sequence homology with best E values was further investigated for functional annotation with the help of available literature and Uniprot website35 (https://www.uniprot.org) (Table 1). Among 48 TDFs, 37 showed homology to known or predicted C. cajan genes with putative functions whereas 11 TDFs were similar to uncharacterized or unannotated C. cajan sequences. Uncharacterized and unannotated TDFs homologous to pigeonpea sequences were tried to match with other legume (Fabaceae) gene sequences with known functions. Five of those 11 TDFs were annotated to other legumes with known functions. These five annotated pigeonpea TDFs with known functions belonged to Vigna radiata (2), Lupinus angustifolius (1), Abrus precatorius (1) and Glycine max (1). Among the mentioned 5 annotated TDFs, 90–99% homology was found for 2 TDFs (G. max, A. precatorius), 80–89% for 2 TDFs (V. radiata and L. angustifolius) and 79% for 1 TDF (V. radiata). Altogether 42 TDFs were used for functional interpretation.
Up- and down-regulated 42 gene fragments similar to known or predicted legume genes with known functions were related to stress- or defense-response (TDFs similar to VQ motif-containing protein 4, AIG1, cysteine protease RD19A, MLO-like protein 1, peroxidase 73, pathogenesis-related protein PR-1, SUPPRESSOR OF ABI3-5, disease resistance protein RPM1, and cationic peroxidase 1), wound-response (TDFs similar to insulin-degrading enzyme-like 1), cell wall organization (TDFs similar to expansin-like B1), transport (TDFs similar to vesicle-associated protein 2-2, epidermis-specific secreted glycoprotein EP1, WAT1-related protein At4g28040, receptor homology region, transmembrane domain- and RING domain-containing protein 2, and importin subunit beta-1), signal transduction (TDFs similar to histidine-containing phosphotransfer protein 1), metabolism (TDFs similar to F-box/kelch-repeat protein, E3 ubiquitin-protein ligase RDUF2, 40S ribosomal protein S25, patatin-like protein 6, ubiquitin-conjugating enzyme E2 7, NADP-specific glutamate dehydrogenase, phosphatidylglycerophosphatase GEP4, methionine gamma-lyase, and nudix hydrolase 15), vascular development (TDFs similar to WUSCHEL-related homeobox 4, transcription factor MYB46, auxin efflux carrier component 2 (PIN2), auxin efflux carrier component 4 (PIN4), CLAVATA3/ESR-related 24 (CLE24) protein gene, and ABC transporter G family member 11), transcription factors and transcription regulation (TDFs similar to squamosa promoter-binding-like protein 16, WRKY transcription factor 70, zinc finger protein CONSTANS-LIKE 1, scarecrow-like protein 21 and general negative regulator of transcription subunit 3), DNA repair (TDFs similar to BRCA1-associated protein and protein XRI1), circadian rhythm (TDFs similar to phytochrome A and casein kinase II subunit alpha-2), and cell component (TDFs similar to tubulin alpha-3 chain) (Supplementary Table S3, Supplementary Fig. SF5). Detailed analysis of those TDFs using scientific literature and KEGG pathway database36 was performed.
48 TDFs similar to pigeonpea genes were found in different genomic locations. Twenty seven TDFs were distributed in chromosomes 2, 3, 4, 6, 7, 9, 10, and 11; and 21 TDFs were found in unplaced/unlocalized scaffolds. Eight and 7 TDFs were found in chromosomes 11 and 2, respectively; 3 TDFs were present on chromosome 7; 2 TDFs were found on each of chromosomes 3, 6, 9 and 10 and 1 on chromosome 4 (Table 1).
Accession numbers of the 58 sequences submitted in NCBI are mentioned in Table 1.
Analysis of TDFs by semi-quantitative reverse transcriptase PCR
Differential expressions of eight important TDFs up- and down- regulated due to Fusarium invasion were validated by semi-quantitative reverse transcriptase PCR (semi-qRT PCR) analysis in control and M1 infected ICP 2376 and ICP 8863 roots at three different time points after infection (24, 48 and 72 HPI) (Fig. 4, Supplementary Fig. SF6). Expression patterns of these selected TDFs were found to be consistent with the results of cDNA-AFLP analysis.
Semi-quantitative reverse-transcriptase PCR amplification patterns of selected genes in the control and Fusarium udum inoculated susceptible ICP 2376 and resistant ICP 8863 pigeonpea cultivars at three different time points in 2% agarose gel. Lanes 1, 5 and 9: TDFs derived from non-inoculated susceptible ICP 2376 (NIS) at 24, 48 and 72 h post inoculation (HPI), respectively; 2, 6 and 10: TDFs derived from non-inoculated resistant ICP 8863 (NIR) at 24, 48 and 72 HPI, respectively; 3, 7 and 11: TDFs derived from infected susceptible (IS) at 24, 48 and 72 HPI, respectively; 4, 8 and 12: TDFs derived from infected resistant (IR) at 24, 48 and 72 HPI, respectively. ABCG11 ABC transporter G family member 11, AIG1 avrRpt2 induced gene 1, CLE24 CLAVATA3/ESR-related 24, GAPDH glyceraldehyde 3-phosphate dehydrogenase, IMPORTIN importin subunit beta-1, MYB46 transcription factor MYB46, SUA SUPPRESSOR OF ABI3-5, WOX4 WUSCHEL-related homeobox 4, WRKY70 WRKY transcription factor 70.
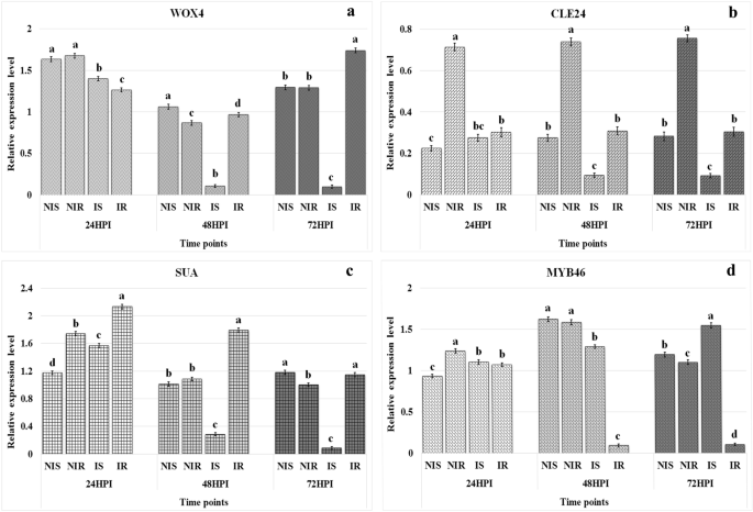
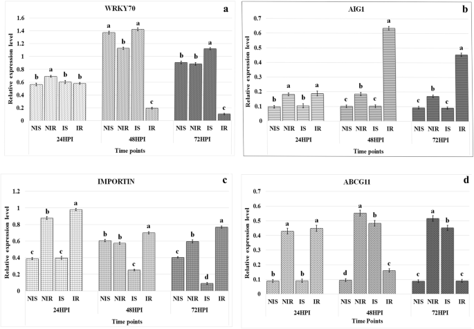
TDFs PF4U18 (similar to WUSCHEL-related homeobox 4), PF18U59 (similar to CLE24 protein gene) and PF20U69 (similar to SUPPRESSOR OF ABI3-5) were down-regulated in inoculated ICP 2376 plants after 48 HPI, whereas they showed higher expression in inoculated ICP 8863 plants compared to inoculated ICP 2376 plants at 48 and 72 HPI (Fig. 5a–c). In contrast, TDF PF4D21 (similar to transcription factor MYB46) was down-regulated in infected ICP 8863 plants after 48 and 72 HPI in comparison to infected ICP 2376 plants (Fig. 5d). Simultaneously, TDF PF16D52 (similar to WRKY transcription factor 70) was also down-regulated in infected ICP 8863 plants after 48 and 72 HPI, compared to infected ICP 2376 plants (Fig. 6a). TDF PF1U1 (similar to AIG1) was up-regulated in inoculated ICP 8863 plants at 48 HPI which decreased at 72 HPI; whereas it showed no expression in inoculated ICP 2376 plants (Fig. 6b). Expression of TDF PF22U72 (similar to importin subunit beta-1) was up-regulated in infected ICP 8863 plants after 48 HPI, whereas it was downregulated in infected ICP 2376 plants at 48 and 72 HPI (Fig. 6c). In contrast, TDF PF29D92 (similar to ABC transporter G family member 11) showed decreased expressions in challenged ICP 8863 plants after 48 HPI, but the expressions was increased in infected ICP 2376 plants at 48 and 72 HPI (Fig. 6d).
Relative expression levels of four TDFs in the control and Fusarium udum inoculated pigeonpea cultivars. Non-inoculated and inoculated susceptible (ICP 2376) and resistant (ICP 8863) cultivars were analyzed at three different time points by semi-quantitative reverse-transcriptase PCR. (a) WOX4: WUSCHEL-related homeobox 4; (b) CLE24: CLAVATA3/ESR-related 24; (c) SUA: SUPPRESSOR OF ABI3-5; (d) MYB46: Transcription factor MYB46. Values represent mean ± standard error from three replicates (n = 3). Letters indicate the significant differences in the means of relative expression levels for each treatment at a time point obtained using Least Significant Difference tests (p < 0.05). HPI hours post inoculation, NIS non-infected susceptible (ICP 2376), NIR non-infected resistant (ICP 8863), IS infected susceptible, IR infected resistant.
Relative expression levels of four TDFs in the control and Fusarium udum inoculated pigeonpea cultivars. Non-inoculated and inoculated susceptible (ICP 2376) and resistant (ICP 8863) cultivars were analyzed at three different time points by semi-quantitative reverse-transcriptase PCR. (a) WRKY70 WRKY transcription factor 70; (b) AIG1 avrRpt2 induced gene 1; (c) IMPORTIN importin subunit beta-1; (d) ABCG11 ABC transporter G family member 11. Values represent mean ± standard error from three replicates (n = 3). Letters indicate the significant differences in the means of relative expression levels for each treatment at a time point obtained using Least Significant Difference tests (p < 0.05). HPI hours post inoculation, NIS non-infected susceptible (ICP 2376), NIR non-infected resistant (ICP 8863), IS infected susceptible, IR infected resistant.
Discussion
This is the first report on transcriptomic profiling of pigeonpea–F. udum interaction, and identification of differential TDFs associated with defense responses in pigeonpea against F. udum. F. udum race identification has not been reported by any group, till date. However, pathogenic isolates and variants were reported in few studies7,8. In the previous study, present group characterized all the variants reported by Dhar et al.7 and some identified F. udum isolates from MTCC5. In the mentioned study, thirteen Indian F. udum isolates were characterized for their pathogenesis in pigeonpea5. Among these isolates, in M1 infected plants the different stages of disease development were prominent compared to other isolates. Hence, M1 was chosen for this study to understand early molecular responses upon infection in pigeonpea. cDNA-AFLP based comparative transcriptomic profiling of control and M1 inoculated root tissues of susceptible (ICP 2376) and resistant (ICP 8863) plants was carried out at early stage of the pathogenesis process (36 HPI), which provided evidences of early resistance/susceptibility responses in pigeonpea. The analysis of changes at transcriptional level during early response to pathogens is a key step to understand plant defence mechanisms as early induced genes are most likely to have regulatory and signaling functions which defines plant's fate after the pathogen attack37,38. Activation of defense responses leads to differential expression of maximum number of genes at early time points of pathogen attack39. Moreover, the number of fungal transcripts expressed in planta was low at early time points, may be due to low amount fungal biomass, which was comparable to previous studies on plant–fungus interactions40.
cDNA-AFLP analysis showed the number of down-regulated genes (151) due to pathogen induction were higher when compared to the up-regulated genes (143). Earlier studies reported similar results through cDNA-AFLP in other plant–pathogen interactions24,40. Forty two TDFs were functionally annotated with the help of NCBI and Uniprot databases, and thorough study of scientific literature as described in previous reports24,30,41. Eleven functional groups were found among 42 annotated TDFs (Supplementary Table S3). Gupta et al.24 and Xue et al.22 categorized F. oxysporum responsive TDFs in chickpea and common bean into 5 and 10 functional groups, respectively.
Chromosomal locations of the 48 TDFs similar to pigeonpea genes were found in NCBI and LIS databases. Pathogen induced up- and down-regulated gene fragments of different functions as well as uncharacterized TDFs were present randomly in different chromosomes. Maximum number of TDFs were present on chromosomes 11 (8) and 2 (7), which were reported marker-rich in previous studies. Singh et al.16 identified 4 wilt resistant candidate genes each of which were identified using nsSNPs. Two of these genes were found on chromosome 11 and other two on chromosome 2. Saxena et al.11 detected 3 important QTLs and candidate genomic regions present on chromosome 11. These TDFs should be of great use in the development of genetic markers for screening, identification and breeding of genotypes resistant to wilt.
Functional roles as well as possible molecular interactions of pathogen-induced TDFs were predicted based on available information in previously published works and KEGG pathway database.
JA/SA signaling
TDFs PF16D52 and PF14D45 similar to WRKY transcription factor 70 (WRKY70) and pathogenesis-related protein PR-1, respectively, were up-regulated in wilt-susceptible plants, whereas those transcripts were suppressed in wilt-resistant pigeonpea. WRKY70 simultaneously represses JA-responsive genes and activates SA-induced genes42. JA induction allows expression of several defense-response genes including plant defensin 1.2 (PDF1.2) and induce resistance response against pathogens43. Present study indicated that JA responsive pathway might be operational during non-compatible resistant interaction (Fig. 7). On the other hand, SA-mediated responses result in the expression of PR1 gene44, which was observed in F. udum infected susceptible pigeonpea plants. TDF PF1U1 similar to VQ motif-containing protein 4 (VQ4, also known as MVQ1) was up-regulated in F. udum inoculated resistant plants. Elicitation of PAMP causes MAP kinase-mediated phosphorylation and degradation of VQ4, which allows WRKY33 to promote transcription of defense-related genes, like camalexin biosynthetic genes45,46. In the present interaction this might be an important pathway to get early defense responses in resistant pigeonpea.
Overview of probable roles of differentially regulated TDFs during Fusarium wilt of pigeonpea. Green arrow: up-regulation; red arrow: down-regulation; black arrow: possible outcome due to up- or down- regulation of genes; golden arrow: elaborated pathway; blue font: genes differentially regulated in cDNA-AFLP; black font: other molecular factors with probable involvement, probable outcome of pathways. Inset (a): WRKY70-mediated cross-talk between Salicylic acid (SA)- and Jasmonic acid (JA)-dependent defense signaling42; Inset (b): role of VQ4 during defense signaling against pathogen46; Inset (c,d): regulation of RD19 (c70), AIG1 and RPM1 (d67,69) related to effector triggered immunity (ETI); Inset (e): Regulation of genes related to vascular development48. WRKY70 WRKY transcription factor 70, PR1 pathogenesis-related protein 1, PDF1.2 plant defensin 1.2, SUA SUPPRESSOR OF ABI3-5, SNC4 SUPPRESSOR OF NPR1-1, CONSTITUTIVE4, VQ4 VQ motif-containing protein 4, PAMP pathogen-associated molecular pattern, PRR pattern recognition receptors, WRKY33 WRKY transcription factor 33, PAD3 phytoalexin deficient 3, RPS2 resistance to Pseudomonas syringae protein 2, RIN4 RPM1-interacting protein 4, AIG1 avrRpt2 induced gene 1, HR hypersensitive response, PCD programmed cell death, POX73 peroxidase 73, PNPC1 cationic peroxidase 1, MYB46 transcription factor MYB46, ABCG11 ABC transporter G family member 11, RDUF2 E3 ubiquitin-protein ligase RDUF2, MGL methionine gamma-lyase, ABA abscisic acid, CLE24 CLAVATA3/ESR-related 24, WOX4 WUSCHEL-related homeobox 4, PIN PIN-FORMED, WAT1 Walls Are Thin1, PLP6 Patatin-like protein 6, RD19 RESPONSIVE TO DEHYDRATION19, R-gene resistance gene, MLO1 MLO-like protein 1.
Regulation of SUPPRESSOR OF ABI3-5
TDF PF20U69 similar to SUPPRESSOR OF ABI3-5 (SUA) was up-regulated in inoculated resistant pigeonpea plants. Splicing of CHITIN ELICITOR RECEPTOR KINASE 1 (CERK1) and SUPPRESSOR OF NPR1-1, CONSTITUTIVE4 (SNC4), is regulated by SUA. CERK1 and SNC4 encodes for receptor-like kinases which contributes to defense responses in plants. Recently, aberrant splicing of SNC4 and CERK1 was found in the sua knock-out mutant of Arabidopsis which showed susceptibility to Pseudomonas syringae infection47. Over-expression of this gene indicated resistance response in pigeonpea.
Alteration of vascular patterning genes
TDFs PF18U59 and PF4U18, similar to CLAVATA3/ESR-related 24 (CLE24) and WUSCHEL-related homeobox 4 (WOX4), respectively, were up-regulated in inoculated resistant plants. CLAVATA3/ESR stimulates procambial/cambial cell proliferation and specifically inhibits xylem differentiation. One direct outcome of this signal transduction is up-regulation of WOX4 transcription factor. WOX4 is specifically expressed in the procambium/cambium stem cell niche where it functions to stimulate cell proliferation. The combination of both auxin and CLAVATA3/ESR signaling provides the specific conditions to promote cambial stem cell proliferation in the shoot apical meristem (SAM). WOX4 mediates the auxin dependent induction of cambium activity48,49. PF14U44 similar to auxin efflux carrier component 2 (PIN2) and PF11U40 similar to auxin efflux carrier component 4 (PIN4) was up-regulated in resistant plants. PIN are auxin efflux protein localized at plasma membrane expressed during very early stages of procambial cell specification. Procambial and cambial cell proliferation, and xylem differentiation are positively regulated by PIN. PIN2 may contribute to root-specific auxin transport, and mediate gravitropism of root. Its particular localization suggests a role in the translocation of auxin towards the elongation zone. PIN4 maintains the endogenous auxin gradient, which is essential for correct root patterning48,50.
Up-regulation of these genes in infected resistant pigeonpea cultivars indicated reprogramming of the vascular gene regulatory networks towards controlled differentiation of SAM and procambium to overcome F. udum induced anomalous signal in xylem cells.
Regulation of genes specific to secondary cell wall biosynthesis
TDF PF22U72 similar to importin subunit beta-1 was up- and down-regulated in wilt-resistant and -susceptible pigeonpea plants, respectively. Arabidopsis importin beta -domain family proteins are important negative effectors of ABA mediated drought tolerance. SAD2 encodes for an importin beta -domain family protein. SAD2 was needed for nuclear import of MYB4, which is involved in repression of secondary cell wall biosynthesis genes48,51. TDF PF4D21 similar to transcription factor MYB46-like was down-regulated in resistant cultivars. MYB46 transcription factor is required to trigger expression of several transcription factors, which contributes to formation of secondary cell wall. Increased resistance to Botrytis cinerea was observed in the myb46 knock-down mutant Arabidopsis plants. This resistance was linked to an early down-regulation of cellulose synthase (CesA) genes following B. cinerea infection. Down-regulation of MYB46 or CesA resulted in activation of JA-mediated defense response52,53. TDF PF10D39 having homology with Walls Are Thin1 (WAT1)-related protein At4g28040-like was down-regulated in wilt-resistant pigeonpea plants. Resistance to vascular pathogens was achieved in Arabidopsis by the inactivation of WAT1 gene, also involved in secondary cell-wall deposition. SA also plays important role in this resistance54. TDF PF29D92 similar to ABC transporter G family member 11 was up- and down-regulated in wilt-susceptible and -resistant plants, respectively. AtABCG11 is induced by ABA and wound stress. AtABCG11 contributes to cutin and wax secretion on the leaf epidermis. AtABCG11 may also be related to suberin formation in roots and lignifications55,56. ABCG11 is likely to be involved in patterning of the vascular system57.
The evidences of down-regulation of these genes indicated that Fusarium wilt-resistance may not be conferred by remodeling the cell wall as a passive barrier, but by the activation of immune responses, mostly localized in the vascular system, which is recognized as vascular immunity52,54,58. Alternately, up-regulation of these genes in susceptible pigeonpea cultivar had the possible roles in excessive vascular cell division as well as repair and regeneration of secondary cell wall during F. udum infection.
Regulation of patatin-like protein 6
PF4D22 similar to patatin-like protein 6 (PLP6, also known as pPLAIIIα or AtPLAIIβ) was up-regulated in inoculated susceptible plants. PLP6 hydrolyzes phospholipids as well as galactolipids59. Oryza sativa PLP6 transcript level increased under drought conditions60. Petunia plants over-expressing A. thaliana PLP6 showed rapid and intense hypersensitive response (HR) during B. cinerea and P. syringae infection. In these plants enhanced expression of SA-mediated pathway was observed; but JA-dependent PR gene expression was not increased61. PLP6 over-expressing O. sativa plants exhibited enhanced expression of CesA genes important for primary and secondary cell wall formation62.
ABA mediated signaling
AtRDUF2 (similar to TDF PF3D15) positively regulates responses in Arabidopsis during drought stress in an ABA-dependent manner63. AtABCG11 (TDF PF29D92), as mentioned earlier, was also induced by ABA. PF1D6 similar to vesicle-associated protein 2-2 (VAP2-2, also known as VAP27-2), which plays a role in vesicular trafficking, was up-regulated in maize during drought stress in ABA dependent manner64. These three TDFs were up-regulated in wilt-susceptible plants in comparison to resistant counterpart. On the other hand, Methionine gamma-lyase (MGL), similar to TDF PF19U66, activity is highly increased during drought stress and it is negatively regulated by ABA65,66. Arabidopsis Importin beta -domain family proteins (subunit of such a protein found similar to TDF PF22U72) are important negative effectors of ABA mediated drought tolerance. These two TDFs (PF19U66 and PF22U72) were up-regulated in wilt-resistant plants in comparison to susceptible counterpart. Altogether, it may be inferred that ABA mediated signaling was down-regulated during resistance responses in pigeonpea wilt.
ETI responses
TDFs PF1U2 similar to protein AIG1 (avrRpt2 induced gene) and PF25U81 similar to disease resistance protein RPM1 were up-regulated in inoculated resistant ICP 8863 plants. NB-LRR R proteins, RPM1 and RPS2 detect changes in RPM1-interacting protein 4 (RIN4) triggered by AvrRpm1 and AvrRpt2 effectors, respectively and lead to ETI. Immediately after pathogen infection, AIGl is induced by avrRpt2 and RPS2, and may play role in inducing cell death67,68,69. TDF PF3D16 similar to cysteine protease RESPONSIVE TO DEHYDRATION19A (RD19A) was up-regulated in inoculated susceptible plants. A nuclear complex is formed by association of RD19 and R. solanacearum type III effector, which activates R. solanacearum specific R-gene to initiate defense response70 (Fig. 7). RD19A in Arabidopsis was induced by water deficit, salt stress and aphids71,72.
ROS mediated signaling
TDFs PF10U37 similar to peroxidase 73 (POX73) and PF32U99 similar to cationic peroxidase 1 (PNPC1) were up-regulated in resistant plants. Peroxidases contributes to cross-linking of cell wall components, lignin and suberin formation, auxin metabolism, phytoalexin synthesis, and the metabolism of reactive nitrogen species (RNS) and ROS. They also contribute to symbiosis, normal cell growth, wound healing and defense response during biotic stress73,74.
Several other TDFs with varied functions were up- and down-regulated in inoculated resistant and susceptible plants (Table 1). Collectively, functional study of TDFs indicated different key events, which could play crucial role in defense responses of the F. udum inoculated resistant plants. Pathogen invasion prominently triggered JA mediated defense responses in wilt resistant cultivar of pigeonpea, whereas SA mediated pathway was up-regulated in the susceptible counterpart. It seems that, instead of up-regulation of cell wall remodeling genes, the downstream activation of vascular immunity could play an important role in resistance. It can be assumed that auxin mediated induction of different vascular developmental genes played their roles in reprogramming of the vascular network towards controlled differentiation of meristem to overcome F. udum induced tissue anomaly. Interestingly, abscisic acid mediated responses were up-regulated in wilt susceptible pigeonpea plants and down-regulated in resistant plants.
This is the first report on identification and characterization of transcripts and prediction of molecular pathways with possible roles during wilt development. This study has provided valuable insights on molecular basis of pigeonpea–Fusarium interactions and will be the basis for characterization of concerned genes through functional genomics approaches. The potential of the identified genes will be validated through the analysis of disruption or deletion mutants. Advanced techniques such as virus-induced gene silencing, T-DNA mutagenesis and CRISPR mediated gene editing approaches will be used for such mutant generation. Functional identification of those validated genes will be helpful in development of wilt resistant pigeonpea plants through genomics-assisted breeding, genetic engineering or genome editing techniques. Additionally, identification of wilt resistance or susceptibility in pigeonpea will be helpful to design appropriate phytosanitary measures for the pathogen removal to overcome quarantine barriers related to trade.
Materials and methods
Pigeonpea cultivars
Seed of wilt-susceptible ICP 2376 and wilt-resistant ICP 8863 cultivars of pigeonpea were acquired from International Crops Research Institute for the Semi-Arid Tropics (Patancheru, Andhra Pradesh, India). Seeds were sown in soilrite mix (Keltech Energies Ltd., Bangalore, India) and grown at 22–25 °C and 14–16 h photoperiod. The humidity was maintained at 35–40%.
Isolate of F. udum
M1, an isolate of F. udum, was acquired from Microbial Type Culture Collection (Institute of Microbial Technology, Chandigarh, India). Single colony of M1 was inoculated on potato dextrose agar medium (PDA) and allowed to grow in dark at 25 °C for 8 days.
Inoculation of pigeonpea with M1
ICP 2376 and ICP 8863 seeds were surface sterilized by HgCl2 (0.05%), sown on soilrite, and grown under the above mentioned conditions. Twelve-fourteen days old Seedlings were inoculated with M1 using the method outlined by Purohit et al.5. Conidia suspension of 1 × 106 ml−1 concentration was obtained from 12–14 days old M1 culture on PDA and 50 ml of suspension was mixed with 200 g of sand:chickpea meal (9:1), and kept at 25 °C under dark for 12–14 days. Fusarium infested mix was incorporated with 2 kg of sand:soilrite (1:1). Seedlings were transferred to infested sand–soilrite mixture and one seedling was grown per pot (9 cm height, 7 cm diameter). Plants grown in non-inoculated mix were used as control. Control and inoculated plants of both cultivars were grown in mentioned conditions with adequate watering. Changes in root- and shoot-morphology were studied in control and infected plants of both the cultivars till 8 DPI. Anatomical study of non-infected and infected roots of both cultivars was performed by staining transverse sections with trypan blue–lactophenol at 12-h intervals till 8 DPI. Each experiment was repeated three times.
Extraction of RNA and preparation of double-stranded cDNA
Control and M1 infected roots of both cultivars (ICP 2376 and ICP 8863) were collected at 36 HPI for RNA preparation. Three plants (biological replications) of each control and treatment were used for analysis. Isolation of total RNA was done from 500 mg frozen roots of each samples using Trizol reagent (Ambion) according to the protocol outlined by the manufacturer. Thoroughly washed root samples were ground to a fine powder with liquid nitrogen using a pestle and mortar. Trizol reagent (5 ml) was added to the samples and ground again to make slurry. Then 1 ml of chloroform was added, transferred to centrifuge tubes and thoroughly mixed by inverting. After centrifugation at 10,000g for 30 min at 4 °C, aqueous phase was taken from the mixture and ice-cold isopropanol (equal volume of the aqueous phase) was added, distributed in microfuge tubes, mixed by inverting, kept at 4 °C for 45 min and centrifuged at 15,000g for 30 min at 4 °C. Pellet was washed with ice cold 70% ethanol by centrifugation at 15,000g for 15 min at 4 °C. After removing 70% ethanol, pellets were dried in laminar flow, dissolved in RNase free water and stored in -80 °C. Total RNA was checked for integrity and quality in a 1.2% formamide denaturing gel run in 3-N-morpholino propane sulphonic acid (MOPS) buffer. Quantity of total RNA was determined using a spectrophotometer. Qiagen Oligotex mRNA minikit (Qiagen, Hilden, Germany) was used to purify mRNA from total RNA. Double-stranded cDNA was prepared from each poly A mRNA (500 ng) sample using SMARTer PCR-cDNA synthesis kit (Clontech Laboratories, Inc., Dalian, China) following manufacturer’s instructions.
cDNA-AFLP profiling
Double-stranded cDNA (250 ng) samples were used for AFLP reactions as demonstrated in our previous work5. cDNA samples were digested by EcoRI and MseI, followed by ligation of EcoRI (5′-CTCGTAGACTGCGTACC-3′ and 3′-CTGACGCATGGTTAA-5′) and MseI (5′-GACGATGAGTCCTGAG-3′ and 3′-TACTCAGGACTCAT-5′) adapters. EcoRI + A primer (E-A, 5′-GACTGCGTACCAATTCA-3′) and MseI + 0 primer (M-0, 5′-GATGAGTCCTGAGTAA-3′) were used for pre-amplification of adapter-ligated products. Pre-amplified products were taken in equal amount for selective amplification with MseI primers (M-GA, M-GT, M-TG, M-CA, M-CG, M-TC, M-CAC, M-CAG, M-CAT, M-CTA, M-CTG) and EcoRI primers (IRDye 700 labelled E-ACA, E-AA, E-AG, IRDye 800 labelled E-AAG, E-ACT, E-AT) (Supplementary Table S1). Separation of the labelled selectively amplified products on 6.5% urea-PAGE was scanned with the LI-COR 4300 DNA Analyzer and visualized on the attached computer monitor. The gel images were examined and the primer combinations were checked for quality of the banding profile; number, resolution and size of the polymorphic bands produced due to infection. Forty eight out of the 66 primer combinations were selected for the final cDNA-AFLP profiling. All the double stranded cDNA samples were again subjected to AFLP profiling using the selected 48 selective amplification primer combinations (Supplementary Table S2) and the selectively amplified products were separated on urea-PAGE (6.5%). Gels were placed on a 3 MM Whatmann paper, marked at each corner, wrapped in a serene wrap and dried on a gel dryer (GeNei, Bangalore, India) at 55 °C. Marked dried gels were photographed in ODYSSEY Infrared Imager (LI-COR Biosciences).
Isolation, re-amplification, cloning and sequencing of transcript-derived fragments
Printed and marked gel images were aligned with the dried gels and differentially expressed pathogen induced bands were excised carefully from gel using a sharp sterile scalpel avoiding any sort of contamination. Excised gels were viewed and photographed again in ODYSSEY Infrared Imager to check for correct excision of the pathogen induced differential bands. Each excised gel band containing TDF was stored in 50 μl sterile water overnight, vortexed, centrifuged and the supernatant was collected. Isolated TDFs were re-amplified using corresponding primers in a reaction mix of 15 μl using the amplification program: 2 min at 94 °C; 35 cycles of 30 s at 94 °C, 56 °C for 30 s, and 72 °C for 30 s; and 5 min at 72 °C. Re-amplification products were then run in 2% agarose gel, followed by visualization using UV transilluminator (UVP, LMS-20). Re-amplified PCR products were extracted (Qiagen, Hilden, Germany) using the protocol outlined by manufacturer and dissolved in 15 μl HPLC grade water.
Purified TDFs were then incorporated in pGEM-T Easy Vector System I (Promega Corp., Madison, WI) using the protocol outlined by the manufacturer. The sequencing reactions of the cloned TDFs were carried out on ABI 3730xl DNA analyzer (Applied Biosystems, Foster city, CA, U.S.A.) using T7 and SP6 promoter primers, and Big dye terminator V3.1 cycle sequencing Kit (Applied Biosystems).
Analyses of sequences using bioinformatic tools
TDF sequences were analyzed using Blastn algorithm (http://blast.ncbi.nlm.nih.gov/Blast.cgi) to find out their homology with known nucleotide sequences in NCBI non redundant GenBank nucleotide database32. Homology of TDF sequences were also searched in the LIS and Phytozome databases using Blastn algorithm (https://legumeinfo.org/blast/nucleotide/nucleotide and https://phytozome.jgi.doe.gov/pz/portal.html#!search?show=BLAST in LIS and Phytozome, respectively)33,34. Each TDF was functionally annotated by analyzing previous studies and taking information from the Uniprot website (https://www.uniprot.org)35. The TDFs were named with initials ‘PF’ (Pigeonpea-Fusarium) and each of them was characterized for expression profile, sequence length, homology (NCBI hit, LIS target name), function, query cover, E-value, identity and genomic location by chromosome number. Sequences of the TDFs were submitted to NCBI. Probable functions and molecular interactions among these TDFs were predicted based on analysis of the scientific literature and the information reported by the KEGG PATHWAY database (https://www.genome.jp/kegg/pathway.html)36.
Analysis of TDFs by semi-quantitative reverse transcriptase PCR
RNA was extracted from Control and M1 infected ICP 2376 and ICP 8863 roots at 24, 48 and 72 HPI. First-strand cDNA was synthesized from each RNA (5 μg) samples with Oligo(dT)18 primers and RevertAid Reverse Transcriptase (Thermo Fisher Scientific) following protocol outlined by the manufacturer. Eight TDFs were selected and TDF specific primers were designed (Supplementary Table S5). PCR was carried out in 15 μl reaction mix using each cDNA (100 ng) sample following the mentioned program: 95 °C for 2 min; 35 cycles of 95 °C for 30 s, 49–54 °C for 30 s and 72 °C for 30 s; 72 °C for 8 min. Agarose gel electrophoresis (2%) was run to analyze the band intensities using ImageJ software75. Relative intensities of the genes were analyzed using glyceraldehyde 3-phosphate dehydrogenase (GAPDH) as reference gene. Each reaction was repeated three times, standard error was calculated for each gene. In the figures, values were represented as mean ± standard error. Statistical analysis of all data was carried out using Statistica Software V. 10.076. Mean values of relative expression level (n = 3) of control and infected, susceptible and resistant pigeonpea cultivars at every time point were compared using one way analysis of variance (ANOVA) and mean differences were analyzed using Least Significant Difference (LSD) post-hoc tests (p < 0.05). In the figures, different letters indicate the significant differences in the means of relative expression levels for each treatment at every time point.
Ethical approval
All studies on plants complied with relevant institutional, national, and international guidelines and legislation.
Change history
30 November 2023
A Correction to this paper has been published: https://doi.org/10.1038/s41598-023-48314-y
References
FAO. Food and Agricultural Organization of the United Nation, FAO Statistical Database. http://faostat.fao.org (2019).
Varshney, R. K. et al. Draft genome sequence of pigeonpea (Cajanus cajan), an orphan legume crop of resource-poor farmers. Nat. Biotechnol. 30(1), 83–89 (2012).
Reddy, M. V. et al. Pigeonpea lines resistant to wilt in Kenya and Malawi. Int. Pigeonpea Newsl. 12, 25–26 (1990).
Joshi, P. K. et al. The World Chickpea and Pigeonpea Economies Facts, Trends, and Outlook (International Crops Research Institute for the Semi-Arid Tropics, 2001).
Purohit, A. et al. Variability among isolates of Fusarium udum and the effect on progression of wilt in pigeonpea. Eur. J. Plant Pathol. 149(1), 73–87 (2017).
Sharma, M. et al. Environmental influences on pigeonpea–Fusarium udum interactions and stability of genotypes to Fusarium wilt. Front. Plant Sci. 7, 253 (2016).
Dhar, V. et al. Pathogenic and molecular characterisations of pigeonpea wilt pathogen Fusarium udum. Arch. Phytopathol. Plant Prot. 45(4), 423–436 (2012).
Kiprop, E. K. et al. Characterization of Kenyan isolates of F. udum from pigeonpea by cultural characteristics, aggressiveness and AFLP analysis. J. Phytopathol. 150, 517–525 (2002).
Choudhary, A. K. et al. Narrowing yield gaps through genetic improvement for Fusarium wilt resistance in three pulse crops of the semi-arid tropics. SABRAO J. Breed. Genet. 45(03), 341–370 (2013).
Patil, P. G. et al. Genetic analysis and molecular resistance to race 2 of Fusarium wilt in pigeonpea [Cajanus cajan (L.) Millsp.]. Crop Prot. 100, 117–123 (2017).
Saxena, R. K. et al. Construction of genotyping-by-sequencing based high-density genetic maps and QTL mapping for fusarium wilt resistance in pigeonpea. Sci. Rep. 7(1), 1911 (2017).
Devi, P. U. M. et al. Lipoxygenase metabolites of α-linolenic acid in the development of resistance in pigeonpea, Cajanus cajan (L.) Millsp, seedlings against Fusarium udum infection. Eur. J. Plant Pathol. 106(9), 857–865 (2000).
Marley, P. S. & Hillocks, R. J. The role of phytoalexins in resistance to fusarium wilt in pigeon pea (Cajanus cajan). Plant Pathol. 42(2), 212–218 (1993).
Marley, P. S. & Hillocks, R. J. Induction of phytoalexins in pigeonpea (Cajanus cajan) in response to inoculation with Fusarium udum and other treatments. Pest Manag. Sci. 58(10), 1068–1072 (2002).
Kotresh, H. et al. Identification of two RAPD markers genetically linked to a recessive allele of a Fusarium wilt resistance gene in pigeonpea (Cajanus cajan L. Millsp.). Euphytica 149(1–2), 113–120 (2006).
Singh, V. K. et al. Next-generation sequencing for identification of candidate genes for Fusarium wilt and sterility mosaic disease in pigeonpea (Cajanus cajan). Plant Biotechnol. J. 14(5), 1183–1194 (2016).
Singh, V. K. et al. Indel-seq: A fast-forward genetics approach for identification of trait-associated putative candidate genomic regions and its application in pigeonpea (Cajanus cajan). Plant Biotechnol. J. 15(7), 906–914 (2017).
Odeny, D. A., Githiri, S. M. & Kimani, P. M. Inheritance of resistance to Fusarium wilt in pigeonpea {Cajanus cajan (L.) Millsp.}. J. Anim. Plant Sci. 2(2), 89–95 (2009).
Saxena, K. B. Genetic improvement of pigeon pea—A review. Trop. Plant Biol. 1(2), 159–178 (2008).
Gupta, S., Bhar, A., Chatterjee, M., Ghosh, A. & Das, S. Transcriptomic dissection reveals wide spread differential expression in chickpea during early time points of Fusarium oxysporum f. sp. ciceri Race 1 attack. PLoS One 12(5), e0178164 (2017).
Sebastiani, M. S. et al. Transcriptome analysis of the melon-Fusarium oxysporum f. sp. melonis race 1.2 pathosystem in susceptible and resistant plants. Front. Plant Sci. 8, 362 (2017).
Xue, R. et al. Differentially expressed genes in resistant and susceptible common bean (Phaseolus vulgaris L.) genotypes in response to Fusarium oxysporum f. sp. phaseoli. PLoS One 10(6), e0127698 (2015).
Zhu, Q. H. et al. Characterization of the defense transcriptome responsive to Fusarium oxysporum-infection in Arabidopsis using RNA-seq. Gene 512(2), 259–266 (2013).
Gupta, S., Chakraborti, D., Rangi, R. K., Basu, D. & Das, S. A molecular insight into the early events of Chickpea (Cicer arietinum) and Fusarium oxysporum f. sp. ciceri (Race 1) interaction through cDNA-AFLP analysis. Phytopathology 99(11), 1245–1257 (2009).
Li, C. Y. et al. Transcriptome profiling of resistant and susceptible Cavendish banana roots following inoculation with Fusarium oxysporum f. sp. cubense tropical race 4. BMC Genomics 13(1), 374 (2012).
Biswas, K. et al. Molecular analysis of disease-responsive genes revealing the resistance potential against Fusarium wilt (Fusarium udum Butler) dependent on genotype variability in the leguminous crop pigeonpea. Front. Genet. 11, 862 (2020).
Kumar, G. et al. Identification, characterization and expression profiles of Fusarium udum stress-responsive WRKY transcription factors in Cajanus cajan under the influence of NaCl stress and Pseudomonas fluorescens OKC. Sci. Rep. 9, 14344 (2019).
Moustafa, K. & Cross, J. Genetic approaches to study plant responses to environmental stresses: An overview. Biology 5(2), 20 (2016).
Park, W., Scheffler, B. E., Bauer, P. J. & Campbell, B. T. Genome-wide identification of differentially expressed genes under water deficit stress in upland cotton (Gossypium hirsutum L.). BMC Plant Biol. 12(1), 90 (2012).
Sestili, S. et al. Distinct colonization patterns and cDNA-AFLP transcriptome profiles in compatible and incompatible interactions between melon and different races of Fusarium oxysporum f. sp. melonis. BMC Genomics 12(1), 122 (2011).
Zhang, W. W. et al. Comparative expression analysis in susceptible and resistant Gossypium hirsutum responding to Verticillium dahliae infection by cDNA-AFLP. Physiol. Mol. Plant Pathol. 80, 50–57 (2012).
Altschul, S. F. et al. Gapped BLAST and PSI-BLAST: A new generation of protein database search programs. Nucleic Acids Res. 25(17), 3389–3402 (1997).
Dash, S. et al. Legume information system (LegumeInfo.org): A key component of a set of federated data resources for the legume family. Nucleic Acids Res. 44(D1), D1181–D1188 (2015).
Goodstein, D. M. et al. Phytozome: A comparative platform for green plant genomics. Nucleic Acids Res. 40, D1178–D1186 (2011).
The UniProt Consortium. UniProt: A hub for protein information. Nucleic Acids Res. 43, D204–D212 (2014).
Kanehisa, M. & Goto, S. KEGG: Kyoto encyclopedia of genes and genomes. Nucleic Acids Res. 28(1), 27–30 (2000).
Durrant, W. E., Rowland, O., Piedras, P., Hammond-Kosack, K. E. & Jones, J. D. cDNA-AFLP reveals a striking overlap in race-specific resistance and wound response gene expression profiles. Plant Cell 12(6), 963–977 (2000).
Rezzonico, F., Rupp, O. & Fahrentrapp, J. Pathogen recognition in compatible plant–microbe interactions. Sci. Rep. 7(1), 6383 (2017).
Wang, X. et al. Differential gene expression in incompatible interaction between wheat and stripe rust fungus revealed by cDNA-AFLP and comparison to compatible interaction. BMC Plant Biol. 10(1), 9 (2010).
Wang, X. et al. cDNA-AFLP analysis reveals differential gene expression in compatible interaction of wheat challenged with Puccinia striiformis f. sp. tritici. BMC Genomics 10(1), 289 (2009).
Polesani, M. et al. cDNA-AFLP analysis of plant and pathogen genes expressed in grapevine infected with Plasmopara viticola. BMC Genomics 9(1), 142 (2008).
Li, J., Brader, G. & Palva, E. T. The WRKY70 transcription factor: A node of convergence for jasmonate-mediated and salicylate-mediated signals in plant defense. Plant Cell 16(2), 319–331 (2004).
Zheng, Z., Qamar, S. A., Chen, Z. & Mengiste, T. Arabidopsis WRKY33 transcription factor is required for resistance to necrotrophic fungal pathogens. Plant J. 48(4), 592–605 (2006).
Lai, Z., Vinod, K. M., Zheng, Z., Fan, B. & Chen, Z. Roles of Arabidopsis WRKY3 and WRKY4 transcription factors in plant responses to pathogens. BMC Plant Biol. 8(1), 68 (2008).
Mao, G. et al. Phosphorylation of a WRKY transcription factor by two pathogen-responsive MAPKs drives phytoalexin biosynthesis in Arabidopsis. Plant Cell 23(4), 1639–1653 (2011).
Pecher, P. et al. The Arabidopsis thaliana mitogen-activated protein kinases MPK3 and MPK6 target a subclass of ‘VQ-motif’-containing proteins to regulate immune responses. New Phytol. 203(2), 592–606 (2014).
Zhang, Z. et al. Splicing of receptor-like kinase-encoding SNC4 and CERK1 is regulated by two conserved splicing factors that are required for plant immunity. Mol. Plant 7(12), 1766–1775 (2014).
Schuetz, M., Smith, R. & Ellis, B. Xylem tissue specification, patterning, and differentiation mechanisms. J. Exp. Bot. 64(1), 11–31 (2012).
Suer, S., Agusti, J., Sanchez, P., Schwarz, M. & Greb, T. WOX4 imparts auxin responsiveness to cambium cells in Arabidopsis. Plant Cell 23(9), 3247–3259 (2011).
Friml, J. et al. AtPIN4 mediates sink-driven auxin gradients and root patterning in Arabidopsis. Cell 108(5), 661–673 (2002).
Yang, Y., Wang, W., Chu, Z., Zhu, J. K. & Zhang, H. Roles of nuclear pores and nucleo-cytoplasmic trafficking in plant stress responses. Front. Plant Sci. 8, 574 (2017).
Ramírez, V. et al. MYB46 modulates disease susceptibility to Botrytis cinerea in Arabidopsis. Plant Physiol. 155(4), 1920–1935 (2011).
Ramirez, V., Garcia-Andrade, J. & Vera, P. Enhanced disease resistance to Botrytis cinerea in myb46 Arabidopsis plants is associated to an early down-regulation of CesA genes. Plant Signal. Behav. 6(6), 911–913 (2011).
Denance, N. et al. Arabidopsis wat1 (walls are thin1)-mediated resistance to the bacterial vascular pathogen, Ralstonia solanacearum, is accompanied by cross-regulation of salicylic acid and tryptophan metabolism. Plant J. 73(2), 225–239 (2013).
Panikashvili, D. et al. The Arabidopsis DESPERADO/AtWBC11 transporter is required for cutin and wax secretion. Plant Physiol. 145(4), 1345–1360 (2007).
Panikashvili, D. et al. The Arabidopsis DSO/ABCG11 transporter affects cutin metabolism in reproductive organs and suberin in roots. Mol. Plant 3(3), 563–575 (2010).
Le Hir, R. et al. ABCG 9, ABCG 11 and ABCG 14 ABC transporters are required for vascular development in Arabidopsis. Plant J. 76(5), 811–824 (2013).
Miedes, E., Vanholme, R., Boerjan, W. & Molina, A. The role of the secondary cell wall in plant resistance to pathogens. Front. Plant Sci. 5, 358 (2014).
Li, M., & Wang, X. pPLA: Patatin-related phospholipase as with multiple biological functions. in Phospholipases in Plant Signaling 93–108 (Springer, 2014).
Singh, A. et al. Rice phospholipase A superfamily: Organization, phylogenetic and expression analysis during abiotic stresses and development. PLoS One 7(2), e30947 (2012).
Zahn, M. et al. Expression of Arabidopis phospholipase A genes in Petunia x hybrida. increased hypersensitive-like response after infection with Botrytis cinerea and Pseudomonas syringae pv. tomato DC3000 demonstrates a function for phospholipase A in pathogen defence. Physiol. Mol. Plant Pathol. 67(1), 2–14 (2005).
Liu, G. et al. Patatin-related phospholipase A, pPLAIIIα, modulates the longitudinal growth of vegetative tissues and seeds in rice. J. Exp. Bot. 66(21), 6945–6955 (2015).
Kim, S. J., Ryu, M. Y. & Kim, W. T. Suppression of Arabidopsis RING-DUF1117 E3 ubiquitin ligases, AtRDUF1 and AtRDUF2, reduces tolerance to ABA-mediated drought stress. Biochem. Biophys. Res. Commun. 420(1), 141–147 (2012).
Hu, X. et al. Differential expression of proteins in maize roots in response to abscisic acid and drought. Acta Physiol. Plant. 33(6), 2437 (2011).
Joshi, V. & Jander, G. Arabidopsis methionine γ-lyase is regulated according to isoleucine biosynthesis needs but plays a subordinate role to threonine deaminase. Plant Physiol. 151(1), 367–378 (2009).
Atkinson, N. J., Lilley, C. J. & Urwin, P. E. Identification of genes involved in the response of Arabidopsis to simultaneous biotic and abiotic stresses. Plant Physiol. 162(4), 2028–2041 (2013).
Hatsugai, N., Hillmer, R., Yamaoka, S., Hara-Nishimura, I. & Katagiri, F. The μ subunit of Arabidopsis adaptor protein-2 is involved in effector-triggered immunity mediated by membrane-localized resistance proteins. Mol. Plant Microbe Interact. 29(5), 345–351 (2016).
Liu, C., Wang, T., Zhang, W. & Li, X. Computational identification and analysis of immune-associated nucleotide gene family in Arabidopsis thaliana. J. Plant Physiol. 165(7), 777–787 (2008).
Reuber, T. L. & Ausubel, F. M. Isolation of Arabidopsis genes that differentiate between resistance responses mediated by the RPS2 and RPM1 disease resistance genes. Plant Cell 8(2), 241–249 (1996).
Bernoux, M. et al. RD19, an Arabidopsis cysteine protease required for RRS1-R–mediated resistance, is relocalized to the nucleus by the Ralstonia solanacearum PopP2 effector. Plant Cell 20(8), 2252–2264 (2008).
Cusack, S. A. Reverse Genetic Analysis of a Cysteine Protease-Encoding Gene (RD19a) of Arabidopsis Thaliana in Relation to the Mechanism of Resistance to the Piercing/Sucking Insect Myzus Persicae (University of Maine, 2013).
Koizumi, M., Yamaguchi-Shinozaki, K., Tsuji, H. & Shinozaki, K. Structure and expression of two genes that encode distinct drought-inducible cysteine proteinases in Arabidopsis thaliana. Gene 129(2), 175–182 (1993).
Almagro, L. et al. Class III peroxidases in plant defence reactions. J. Exp. Bot. 60(2), 377–390 (2008).
Cosio, C. & Dunand, C. Specific functions of individual class III peroxidase genes. J. Exp. Bot. 60(2), 391–408 (2008).
ImageJ 1.53a. Wayne Rasband. https://imagej.nih.gov/ij/ (National Institutes of Health, 2020).
StatSoft. Statistica for windows (computer program manual) (Statsoft, Inc., 2010).
Acknowledgements
The authors acknowledge the financial support of Science and Engineering Research Board, Department of Science and Technology, Government of India (DST No: SR/FT/LS-83/2010) and infrastructure support of University of Calcutta and St. Xavier’s College, Kolkata, India. Arnab Purohit, Shreeparna Ganguly and Sanatan Ghosh thank Council of Scientific and Industrial Research, India—CSIR direct SRF (File No. 08/548(0007)/2018 EMRI), West Bengal Higher Education Department—Swami Vivekananda Merit cum Means Scholarship (No. 52-Edn (B) l 5B-l s/2017) and Department of Science and Technology, Govt. of India for INSPIRE fellowship (DST/INSPIRE Fellowship/2018/IF180158), respectively, for providing fellowships.
Author information
Authors and Affiliations
Contributions
A.P. and D.C. conceived and designed the experiments. A.P., S.G., S.G. and M.S.N. conducted all the experiments. S.B.T., R.K.C. and D.C. were responsible for the data analysis and supervision of the work. A.P. and D.C. drafted and edited the manuscript. All authors read and approved the final manuscript.
Corresponding author
Ethics declarations
Competing interests
The authors declare no competing interests.
Additional information
Publisher's note
Springer Nature remains neutral with regard to jurisdictional claims in published maps and institutional affiliations.
The original online version of this Article was revised: Figure 1 has been corrected.
Supplementary Information
Rights and permissions
Open Access This article is licensed under a Creative Commons Attribution 4.0 International License, which permits use, sharing, adaptation, distribution and reproduction in any medium or format, as long as you give appropriate credit to the original author(s) and the source, provide a link to the Creative Commons licence, and indicate if changes were made. The images or other third party material in this article are included in the article's Creative Commons licence, unless indicated otherwise in a credit line to the material. If material is not included in the article's Creative Commons licence and your intended use is not permitted by statutory regulation or exceeds the permitted use, you will need to obtain permission directly from the copyright holder. To view a copy of this licence, visit http://creativecommons.org/licenses/by/4.0/.
About this article
Cite this article
Purohit, A., Ghosh, S., Ganguly, S. et al. Comparative transcriptomic profiling of susceptible and resistant cultivars of pigeonpea demonstrates early molecular responses during Fusarium udum infection. Sci Rep 11, 22319 (2021). https://doi.org/10.1038/s41598-021-01587-7
Received:
Accepted:
Published:
Version of record:
DOI: https://doi.org/10.1038/s41598-021-01587-7
This article is cited by
-
Transcriptional regulation reveals potent drought tolerance mechanisms in contrasting genotypes of Cajanus cajan (L.) Millspaugh
BMC Plant Biology (2025)
-
Identifying key genes for European canker resistance in apple: machine learning and gene expression profiling of quantitative disease resistance
Scientific Reports (2025)
-
Genetic and molecular approaches for Fusarium wilt resistance in garden pea: advances and future outlook
Plant Molecular Biology (2025)
-
Comparative transcriptome analysis of two contrasting genotypes provides new insights into the drought response mechanism in pigeon pea (Cajanus cajan L. Millsp.)
Genes & Genomics (2024)









