Figure 3
From: Philadelphia chromosome-negative B-cell acute lymphoblastic leukaemia with kinase fusions in Taiwan

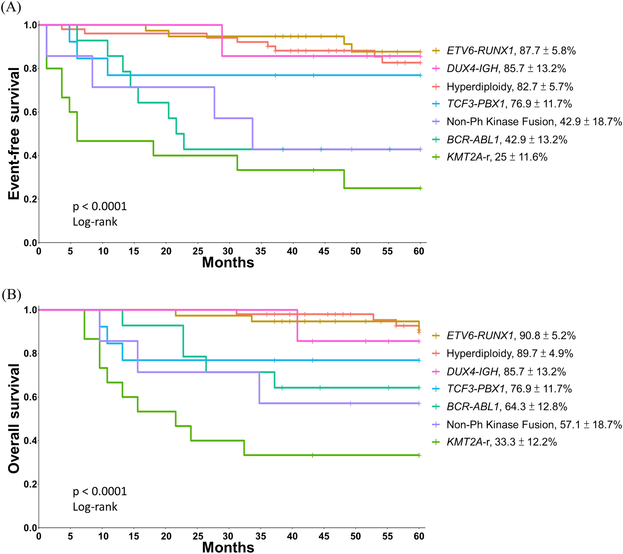
Five-year event-free survival (A) and overall survival (B) by acute lymphoblastic leukaemia genotype.
From: Philadelphia chromosome-negative B-cell acute lymphoblastic leukaemia with kinase fusions in Taiwan

Five-year event-free survival (A) and overall survival (B) by acute lymphoblastic leukaemia genotype.