Abstract
Philadelphia chromosome-like (Ph-like) acute lymphoblastic leukaemia (ALL), a high-risk subtype characterised by genomic alterations that activate cytokine receptor and kinase signalling, is associated with inferior outcomes in most childhood ALL clinical trials. Half of the patients with Ph-like ALL have kinase rearrangements or fusions. We examined the frequency and spectrum of these fusions using a retrospective cohort of 212 newly diagnosed patients with childhood B-cell ALL. Samples without known chromosomal alterations were subject to multiplex reverse transcription polymerase chain reaction to identify known Ph-like kinase fusions. Immunoglobulin heavy chain locus (IGH) capture and kinase capture were applied to samples without known kinase fusions. We detected known kinase fusions in five of 212 patients, comprising EBF1-PDGFRB, ETV6-ABL1, ZC3HAV1-ABL2, EPOR-IGH, and CNTRL-ABL1. Two patients with P2RY8-CRLF2 were identified. Patients with non-Ph kinase fusions had inferior 5-year event-free survival and overall survival compared with patients with other common genetic alterations. The prevalence of non-Ph kinase fusions in our Taiwanese cohort was lower than that reported in Caucasian populations. Future clinical trials with tyrosine kinase inhibitors may be indicated in Taiwan because of the inferior outcomes for B-cell ALL with kinase fusions.
Similar content being viewed by others
Introduction
Multiple genetic subtypes have prognostic implications and clinical significance in acute lymphoblastic leukaemia (ALL). These ALL-associated genetic alterations include aneuploidy, copy number variations, sequence mutations, and chromosomal translocations that result in aberrant expressions of oncogenes or the construction of chimeric fusion genes1. Advances in cancer genomics and large-scale integrated transcriptome analyses have markedly expanded our knowledge of the genetic landscape of ALL via the classification of new subtypes in recent years2,3,4,5,6,7,8,9,10,11,12,13,14,15,16. One high-risk subtype is Philadelphia chromosome-like (Ph-like) ALL, highlighted by a gene expression profile similar to that of Ph-ALL, but without the BCR-ABL1 fusion17,18,19. Approximately 15% of children and 20–25% of adolescent and young adult B-ALLs are Ph-like, which is associated with inferior event-free survival (EFS) and overall survival (OS) compared with that of non-Ph-like ALL in most studies3,20,21,22,23,24. Other studies also demonstrated that adult ALL patients with Ph-like were susceptible to having residual disease persistence and poor outcomes25,26. Most patients with Ph-like ALL have somatic gene alterations that activate kinase and cytokine receptor signalling3,4,27.
Roberts et al. profiled the genomic alterations of Ph-like ALL in children, adolescents, and young adults using transcriptome analyses3,4,21,22. Approximately half patients with Ph-like disease overexpress cytokine receptor-like factor 2 (CRLF2). The overexpression of CRLF2 originates from a rearrangement that fuses the immunoglobulin heavy chain locus (IGH) or the P2RY8 gene promoter with CRLF228,29,30,31,32. The remaining patients with Ph-like ALL have a variety of kinase alterations, including fusions involving ABL-class genes (ABL1, ABL2, CSF1R, PDGFRB, and PDGFRA) that are sensitive to ABL1 tyrosine kinase inhibitors (TKIs), rearrangements that create JAK2 fusion proteins or truncating rearrangements of the erythropoietin receptor (EPOR) that are sensitive to ruxolitinib in vitro3,4,21,27,33. NTRK3, PTK2B and other kinases are also involved in several patients3,20,21,22.
Unlike Ph-positive and other subtypes of B-cell ALL that are characterised by recurrent, defined chromosomal rearrangement break points, Ph-like ALL is defined by its gene expression profile (GEP), and has a heterogeneous collection of rearrangements or genetic alterations, making the diagnosis and identification of these rearrangements a medical challenge17,18,19. Reshmi et al. used low-density array (LDA) to screen Ph-like ALL, followed by multiplex reverse transcription (RT) polymerase chain reaction (PCR) to identify known Ph-like kinase fusions. They also used kinome kits with next-generation sequencing (NGS) or RNA-seq on Ph-like ALL samples without known kinase fusions and demonstrated the feasibility of their strategy in clinical practice21. The identification of these kinase fusions is vital for the possible addition of TKI to chemotherapy in clinical trials34.
GEP may be required to diagnose Ph-like ALL, followed by FISH, target sequencing, or RNA-seq to identify the precise kinase fusion genes. Comprehensive genome analysis previously showed that most genetic subtypes of B-ALL are mutually exclusive16. Cytogenetics and RT-PCRs can exclude the major known subtypes of B-ALL, such as ETV6-RUNX1, TCF3-PBX1, hyperdiploidy, BCR-ABL1 and KMT2A fusions. Therefore, we modified the strategy proposed by Reshmi et al. to identify the kinase fusions in childhood B-ALL in this retrospective study21.
Materials and methods
Patients and protocols
Between January 2002 and December 2016, 354 children with B-ALL were included in this study, which was performed at the National Taiwan University Hospital. Adequate diagnostic bone marrow or peripheral blood samples were obtained from 212 children with B-ALL, whereas 142 patients were excluded from this study because of unavailability of diagnostic samples. The diagnosis of ALL was based on the morphologic examination of the bone marrow aspirates and immuno-phenotype analysis of leukaemic cells by flow cytometry. Conventional cytogenetic analyses were performed as part of the routine work-up. The patients were enrolled in the TPOG ALL 2002 or TPOG ALL 2013 protocols. These protocols also included chemotherapy for infantile ALL. TPOG ALL 2013 modified the TPOG ALL 2002 protocol by incorporating minimal residual disease measurements to stratify treatment. The Institutional Review Board of National Taiwan University Hospital approved the study, and all of the participants or their guardians provided written informed consent in accordance with the Declaration of Helsinki. Details of the protocols and risk group assignment have been published elsewhere35,36,37.
Multiplex ligation-dependent probe amplification analysis
We analysed genomic DNA after multiplex ligation-dependent probe amplification (MLPA) using the SALSA MLPA kit (MRC-Holland, Amsterdam, Netherlands), according to the manufacturer’s instructions. The PCR fragments were separated by capillary electrophoresis using Life Technologies 3500 Genetic Analyzer (Thermo Fisher Scientific, Waltham, MA, USA). We analysed the MLPA data using Coffalyser.Net v.140721.1958 (MRC-Holland, Amsterdam, Netherlands). Probe ratios between 0.75 and 1.3 were considered within the normal range. A probe ratio of < 0.75 or > 1.3 indicated deletion or gain, respectively. A probe ratio of < 0.25 or > 1.8 indicated biallelic deletion or amplification. We used the SALSA MLPA P335 ALL-IKZF1 probemix to detect alterations of EBF1, IKZF1, CDKN2A, CDKN2B, PAX5, ETV6, RB1 and BTG1. We used SALSA MLPA P327 iAMP21-ERG probemix to detect alterations in ERG and the intrachromosomal amplification of chromosome 21. We used SALSA MLPA P329 CRLF2-CSF2RA-IL3RA probemix to detect P2RY8-CRLF2 (PAR1 deletion)38.
RT-PCR for non-Ph kinase fusions
Most major cytogenetic alterations in childhood B-ALL are mutually exclusive16. The study design for this project is shown in Fig. 1. We screened using RT-PCR to identify samples with ETV6-RUNX1, TCF3-PBX1, BCR-ABL1 and P2RY8-CRLF2. The primer sequences for these fusions are listed in the Supplementary Table S1. The patient samples without known cytogenetic alterations were subject to multiplex and singleplex RT-PCR assays for previously identified kinase fusions. In brief, we prepared complementary DNA (cDNA) from total RNA (1 µg) using High-Capacity cDNA Reverse Transcription Kit (Life Technologies, Waltham, MA, USA). We then used the cDNA (0.5 µL; equivalent to 25 ng of starting RNA) for RT-PCR amplifications to detect kinase fusions occurring in ABL1, ABL2, CSF1R, JAK2, NTRK3, TYK2 and PDGFRB. The primer sequences were published by Reshmi et al.21.
Testing algorithm for identifying kinase alterations in this cohort.
Detection of fusion transcripts using RNA kinome capture sequencing
Patient samples with no kinase gene fusions identified by multiplex or singleplex PCR were subject to RNA kinome capture sequencing of 612 genes (571 kinases) using Agilent SureSelect RNA Kinome Capture Kit (Agilent Technologies, Santa Clara, CA, USA). The RNA library was prepared per the manufacturer’s instructions and sequenced using Illumina NextSeq 500. To detect kinase fusions, samples were analysed using the Rapid RNA-Seq tool from the St. Jude Cloud (https://www.biorxiv.org/content/10.1101/2020.08.24.264614v1)39. All identified fusions were confirmed via bidirectional Sanger sequencing.
IGH capture sequencing
IGH capture sequencing was performed using a SeqCap EZ product from Roche/NimbleDesign (Roche Sequencing Solutions, Pleasanton, CA, USA). The custom region (~ 3 Mb) was designed to capture 17 genes including IGH and 16 additional IGH-related partner genes. The genes are listed in Supplementary Table S2. We prepared the DNA library as per the manufacturer’s instructions and sequenced using Illumina NextSeq 500. To detect IGH translocations, we used the Fusion and Chromosomal Translocation Enumeration and Recovery Algorithm for the detection of genomic fusions in paired-end targeted sequencing data40. The primer sequences for the validated fusions are listed in the Supplementary Table S1.
Statistical analysis
Five-year EFS and OS were calculated using the Kaplan–Meier method, and the log-rank test was used to compare differences between survival curves41. The OS was measured from the protocol commencement date until the date of death regardless of cause, excluding patients who were alive at the last follow-up. EFS was defined as achieving complete remission, and was measured from the date of attaining complete remission until the date of relapse. Patients with no reports of relapse by the end of the follow-up were censored on the date of last follow-up. Fisher’s exact test was used for the analysis of contingency tables. Comparisons of the distribution of continuous variables in different groups including age at the time of onset and white blood cell counts were performed using the Mann–Whitney test. An effect was considered significant if the P value was < 0.05. The statistical software SAS 9.4 (SAS Institute, Cary, NC, USA) was used for all data analyses.
Ethics declaration
This study was conducted in accordance with the Declaration of Helsinki guidelines. Written informed consent was obtained from all study participants or their guardians.
Results
Detecting kinase fusion genes using multiplex RT-PCR
A total of 142 patients were excluded from the study because of the lack of diagnostic samples. The clinical characteristics of studied and non-studied cohorts are summarized in Supplementary Table S3. The white blood cell counts were lower in the studied subjects than in the non-studied cohort. The clinical features of the entire studied cohort are summarized in Table 1. Of 212 patients, 145 were not subject to further multiplex RT-PCR or next-generation sequencing assays as they carried known ALL subtype genetic alterations, including hyperdiploidy, hypodiploidy, intrachromosomal amplification of chromosome 21, KMT2A rearrangement, ETV6-RUNX1, BCR-ABL1, TCF3-PBX1, TCF3-HLF and P2RY8-CRLF2. A schematic diagram illustrating this study is shown in Fig. 1. The remaining 67 patients were analysed for additional kinase alterations, initially using RT-PCR for known fusions and, if negative, by kinome capture followed by NGS. We discovered 3 in-frame fusion candidates—EBF1-PDGFRB, ETV6-ABL1 and ZC3HAV1-ABL2—which we validated by Sanger sequencing. The validated Sanger sequences are listed in Fig. 2. Sixty-four samples tested negative by PCR analysis were subject to kinome analysis. We detected a novel CNTRL-ABL1 fusion by kinome analysis, which we validated by Sanger sequencing (Fig. 2).
Validated Sanger sequences and protein domains of detected kinase fusions.
IGH fusions identified using IGH capture-based NGS
The procedures described above were not able to identify EPOR-IGH and IGH-CRLF2 rearrangements. Therefore, we used IGH capture method, followed by NGS. A patient with known IGH rearrangements, such as those found in Burkitt’s leukaemia, served as the positive control (see Supplementary Fig. S1). Sixty-nine patient samples and six normal controls were analysed for IGH fusions. We identified one patient with EPOR-IGH, seven patients with IGH-DUX4 and one patient with IGH-ZFP36L2 (see Supplementary Fig. S1). The details of the patients with non-Ph kinase fusions are summarized in Table 2 and Supplementary Table S4.
IKZF1 deletions are enriched in patients with BCR-ABL1, kinase fusions and DUX4 rearrangements
In this cohort, 36 patients harboured IKZF1 deletions. Of the 14 patients with BCR-ABL1, nine (64.3%) had IKZF1 deletions; of the seven patients with non-Ph kinase fusions, four (57.1%) had IKZF1 deletions; of the seven patients with DUX4 rearrangements, five (71.4%) had IKZF1 deletions. The incidence of IKZF1 deletions amongst these patients was higher than that amongst the patients without these rearrangements (18/184) (Table 1).
Survival analysis between patients with non-Ph kinase fusions and other common B-ALL subtypes
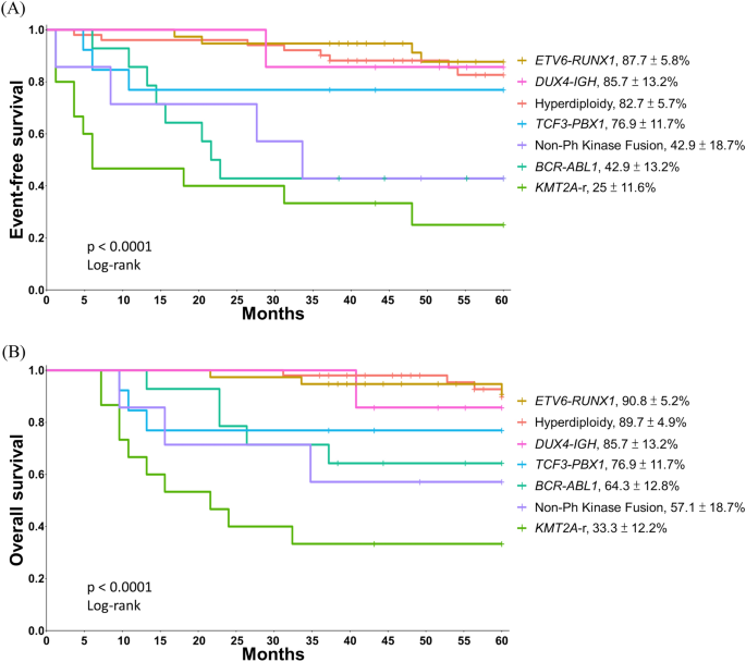
Patients with B-ALL were further classified by their genetic markers and frequency: ETV6-RUNX1 (17.9%), hyperdiploidy (24.1%), TCF3-PBX1 (6.1%), KMT2A (7.0%) and BCR-ABL1 (6.6%). Favourable factors included ETV6-RUNX1 (17.9%), hyperdiploidy (24.1%), TCF3-PBX1 and DUX4 rearrangements, which were associated with 5-year EFS of 87.7% ± 5.8%, 82.7% ± 5.7%, 76.9% ± 11.7% and 85.7% ± 13.2%, respectively, and 5-year OS of 90.8% ± 5.2%, 89.7% ± 4.9%, 76.9% ± 11.7% and 85.7% ± 13.2%, respectively. Patients with non-Ph kinase fusions, BCR-ABL1, and KMT2A fusions had worse outcomes: 5-year EFS of 42.9% ± 18.7%, 42.9% ± 13.2% and 25.0% ± 11.6%, respectively, and 5-year OS of 57.1% ± 18.7%, 64.3% ± 12.8% and 33.3% ± 12.2%, respectively. The 5-year OS and EFS of the groups with the different genetic classifications were significantly different (P < 0.0001 and P < 0.0001, respectively; Fig. 3).
Five-year event-free survival (A) and overall survival (B) by acute lymphoblastic leukaemia genotype.
Discussion
In this retrospective study, 67 out of 212 patients without known genetic alterations were included for further analysis. After performing several molecular analyses, including 13 multiplex RT-PCRs, NGS using the kinome kit, and IGH capturing, only five patients with childhood B-ALL were identified with non-Ph kinase fusions, which comprised EBF1-PDGFRB, ETV6-ABL1, ZC3HAV1-ABL2, EPOR-IGH and the novel CNTRL-ABL1. ALL with non-Ph kinase fusions is associated with inferior 5-year EFS and OS compared with other common subtypes of paediatric ALL, such as ETV6-RUNX1, hyperdiploidy and TCF3-PBX1 and is similar to BCR-ABL1 fusion.
Amongst B-ALL patients, approximately 10% to 15% of paediatric patients, approximately 25% of adolescents and young adults, and 20% to 30% of adults have Ph-like ALL, based on most reports on Caucasian cohorts3,4,20,21,22,24,25,26,33. The prevalence rate of Ph-like ALL in Asian cohorts is less well established because of the limited number of studies and small patient populations9,23,42. Imamura et al. identified 29 paediatric patients with non-Ph kinase fusions by transcriptome analysis or multiplex RT-PCR analysis in 373 Ph-negative B-ALL patients without recurrent genetic abnormalities in Japan23. Another study in China showed the prevalence rate of paediatric Ph-like ALL amongst ALL cases was only 5% by RNA-seq9. Rearrangement of CRLF2 is the most frequent genetic alteration in Ph-like ALL; however, up to 10% of CRLF2-rearranged ALL cases have distinctly different gene expression profiles without the activated kinase signature, and thus, are not categorised as Ph-like ALL43. In this study, we did not use gene expression to accurately evaluate the prevalence rate of Ph-like ALL. However, using multiplex RT-PCR and kinome and IGH capture sequencing, we identified only five patients with non-Ph kinase fusions and 2 with P2RY8-CRLF2 amongst the 212 patients with B-ALL. Our methods of analysis failed to detect approximately 10% of Ph-like ALL cases that lack kinase or CRLF2 rearrangements, according to previous findings44. We identified no patients with IGH-CRLF2, which might account for approximately 50% patients with CRLF2 rearrangements. Imamura et al. identified ten patients with P2RY8-CRLF2 and two with IGH-CRLF2 in 373 paediatric B-ALL without genetic abnormalities23. While Yeoh et al. used RNA-seq to profile 377 paediatric B-ALL samples and the prevalence rate of Ph-like ALL was only 2%, whereas another 2% had CRLF2 rearrangements42. The lower frequency of paediatric B-ALL with CRLF2 rearrangements in Asians remains to be determined using more sequencing of larger paediatric ALL cohorts.
Analysis of patient samples using multiplex RT-PCR followed by kinome capture sequencing can identify targetable kinase fusions. However, this approach is labour-intensive and identifies only kinase fusions. The lower incidence of kinase fusion ALL may make this approach inefficient in Taiwan. In addition, after recent efforts in transcriptome sequencing, almost 97% of childhood B-ALL can be classified using RNA-seq, with some prognostic relevance15,16. With the progressive decrease in the cost of RNA-seq and the increase in the availability of bioinformatics analysis tools, RNA-seq may represent the best strategy to identify not only kinase fusions but also other novel ALL subtypes such as ETV6-RUXN1-like and ALL with ZNF384 and MEF2D fusions16,21. Strategies to exclude common recurrent B-ALL, such as that characterised by ETV6-RUNX1 and hyperdiploidy, could be used to minimise the number of samples submitted for RNA-seq, making it a reasonable, cost-effective approach in Taiwan and other developing countries38.
Most retrospective studies reported that Ph-like ALL is associated with worse outcomes than other types of ALL3,4,20,21,22,25,26,33,45. A recent report from Australia and New Zealand demonstrated that despite a risk-adjusted treatment approach, a high rate of relapse persisted amongst children in the ANZCHOG ALL8 study who were retrospectively identified as having Ph-like disease46. Imamura et al. also demonstrated the inferior prognosis of Ph-like ALL in a Japanese cohort23. Previous studies have also indicated that TKIs may be effective for Ph-like ALL47,48. Tanasi et al. reported, using the largest cohort of patients with ABL-class kinase rearrangements treated with TKI frontline therapy or at relapse, promising minimal residual disease responses and outcomes, reminiscent of those observed in early trials of imatinib combined with chemotherapy in Ph-like ALL49. In our study, patients with non-Ph kinase fusions had inferior 5-year EFS and OS, similar to findings previously reported by most studies on Ph-like ALL3,4,20,21,22,25,26,33,45.
Although we identified targetable kinase fusions using this approach, a limitation of this study is that we did not use GEP to identify all Ph-like ALL; identification of Ph-like ALL is based on GEP, although the methods vary17,18,19. Since several possible targetable kinase fusions could be identified in this subtype of B-ALL, GEP-based method is used to screen samples with Ph-like, followed by next-generation sequencing (RNA- or target- seq) or fluorescence in situ hybridization (FISH) to identify fusions44. The initial development of low density array (LDA) and/or FISH to identify kinase aimed to shorten the timing for potential patients who might be enrolled into clinical trials34. LDA, using 15 genes, was first developed by Harvey et al.50. The tests were highly sensitive and specific (93% and 89%, respectively) for Ph-like ALL identification. The concordance between this assay and the result of the original 257-gene set analysis was only 87%. Other LDAs with fewer genes were also developed by Heatley et al. and Roberts et al.22,46. Chiaretti et al. created a Ph-like ALL predictor by assessing expression of ten genes51. Screening for Ph-like ALL by directly searching for specific translocations, similar to this study is also possible. Nonetheless, several cases were detected with Ph-like gene expression signature without detectable driver genetic alterations even with RNA-seq. The actual risk and clinical significance in such cases remain unknown34. However, for cost effectiveness, using the RNA-seq might be a better approach than other methods that include multiple steps of screening to identify the targetable kinase fusions16. RNA-seq can also classify the subtypes of B-ALL and fusions detections16, whereas our sequential approach can identify patients with kinase fusions or CRLF2 rearrangements although we could not determine whether patients with CRLF2 rearrangements were Ph-like ALL. This may be resolved using RNA-seq analysis in future prospective studies. Another limitation is the relatively small cohort compared with those of previous studies performed in Caucasian populations. The prevalence rate of B-ALL with kinase fusions observed in this study was considerably lower than that reported in Caucasians, but similar to that reported in other Asian cohorts9,23,42. The lower frequency of Ph-like ALL may limit the benefit of just screening Ph-like or kinase fusions in childhood B-ALL in Asian population.
In conclusion, patients with non-Ph kinase fusions have inferior 5-year EFS and OS compared with patients with other common genetic subtypes, in this cohort. The inferior outcomes of the patients with non-Ph kinase fusions supports the use of TKIs in future protocols in Taiwan. Our data suggest that the incidence of Ph-like ALL is low in Taiwan and that other emerging novel subtypes are clinically important. RNA-seq may be a more comprehensive tool for the future genetic analysis of childhood B-ALL in Taiwan.
Data availability
The datasets generated during and/or analyzed during the current study are available from the corresponding author on reasonable request.
References
Pui, C. H., Nichols, K. E. & Yang, J. J. Somatic and germline genomics in paediatric acute lymphoblastic leukaemia. Nat. Rev. Clin. Oncol. 16, 227–240. https://doi.org/10.1038/s41571-018-0136-6 (2019).
Zhang, J. et al. The genetic basis of early T-cell precursor acute lymphoblastic leukaemia. Nature 481, 157–163. https://doi.org/10.1038/nature10725 (2012).
Roberts, K. G. et al. Targetable kinase-activating lesions in Ph-like acute lymphoblastic leukemia. N. Engl. J. Med. 371, 1005–1015. https://doi.org/10.1056/NEJMoa1403088 (2014).
Roberts, K. G. et al. Genetic alterations activating kinase and cytokine receptor signaling in high-risk acute lymphoblastic leukemia. Cancer Cell 22, 153–166. https://doi.org/10.1016/j.ccr.2012.06.005 (2012).
Andersson, A. K. et al. The landscape of somatic mutations in infant MLL-rearranged acute lymphoblastic leukemias. Nat. Gene 47, 330. https://doi.org/10.1038/ng.3230 (2015).
Lilljebjorn, H. et al. Identification of ETV6-RUNX1-like and DUX4-rearranged subtypes in paediatric B-cell precursor acute lymphoblastic leukaemia. Nat. Commun. 7, 11790. https://doi.org/10.1038/ncomms11790 (2016).
Paulsson, K. et al. The genomic landscape of high hyperdiploid childhood acute lymphoblastic leukemia. Nat. Gene 47, 672–676. https://doi.org/10.1038/ng.3301 (2015).
Gu, Z. et al. Genomic analyses identify recurrent MEF2D fusions in acute lymphoblastic leukaemia. Nat. Commun. 7, 13331. https://doi.org/10.1038/ncomms13331 (2016).
Liu, Y. F. et al. Genomic profiling of adult and pediatric B-cell Acute lymphoblastic leukemia. EBioMedicine 8, 173–183. https://doi.org/10.1016/j.ebiom.2016.04.038 (2016).
Suzuki, K. et al. MEF2D-BCL9 fusion gene is associated with high-risk acute B-cell precursor lymphoblastic leukemia in adolescents. J. Clin. Oncol. 34, 3451–3459. https://doi.org/10.1200/JCO.2016.66.5547 (2016).
Hirabayashi, S. et al. ZNF384-related fusion genes define a subgroup of childhood B-cell precursor acute lymphoblastic leukemia with a characteristic immunotype. Haematologica 102, 118–129. https://doi.org/10.3324/haematol.2016.151035 (2017).
Qian, M. et al. Whole-transcriptome sequencing identifies a distinct subtype of acute lymphoblastic leukemia with predominant genomic abnormalities of EP300 and CREBBP. Genome Res. 27, 185–195. https://doi.org/10.1101/gr.209163.116 (2017).
Yasuda, T. et al. Recurrent DUX4 fusions in B cell acute lymphoblastic leukemia of adolescents and young adults. Nat. Genet. 48, 569–574. https://doi.org/10.1038/ng.3535 (2016).
Zhang, J. et al. Deregulation of DUX4 and ERG in acute lymphoblastic leukemia. Nat. Genet. 48, 1481–1489. https://doi.org/10.1038/ng.3691 (2016).
Li, J.-F. et al. Transcriptional landscape of B cell precursor acute lymphoblastic leukemia based on an international study of 1,223 cases. Proc. Natl. Acad. Sci. 115, E11711–E11720. https://doi.org/10.1073/pnas.1814397115 (2018).
Gu, Z. et al. PAX5-driven subtypes of B-progenitor acute lymphoblastic leukemia. Nat. Genet. 51, 296–307. https://doi.org/10.1038/s41588-018-0315-5 (2019).
Mullighan, C. G. et al. Deletion of IKZF1 and prognosis in acute lymphoblastic leukemia. N. Engl. J. Med. 360, 470–480. https://doi.org/10.1056/NEJMoa0808253 (2009).
Den Boer, M. L. et al. A subtype of childhood acute lymphoblastic leukaemia with poor treatment outcome: A genome-wide classification study. Lancet Oncol. 10, 125–134. https://doi.org/10.1016/S1470-2045(08)70339-5 (2009).
Harvey, R. C. et al. Identification of novel cluster groups in pediatric high-risk B-precursor acute lymphoblastic leukemia with gene expression profiling: Correlation with genome-wide DNA copy number alterations, clinical characteristics, and outcome. Blood 116, 4874–4884. https://doi.org/10.1182/blood-2009-08-239681 (2010).
Roberts, K. G. et al. High frequency and poor outcome of philadelphia chromosome-like acute lymphoblastic leukemia in adults. J. Clin. Oncol. 35, 394–401. https://doi.org/10.1200/jco.2016.69.0073 (2017).
Reshmi, S. C. et al. Targetable kinase gene fusions in high-risk B-ALL: A study from the Children’s Oncology Group. Blood 129, 3352–3361. https://doi.org/10.1182/blood-2016-12-758979 (2017).
Roberts, K. G. et al. Genomic and outcome analyses of Ph-like ALL in NCI standard-risk patients: A report from the Children’s Oncology Group. Blood 132, 815–824. https://doi.org/10.1182/blood-2018-04-841676 (2018).
Imamura, T. et al. Characterization of pediatric Philadelphia-negative B-cell precursor acute lymphoblastic leukemia with kinase fusions in Japan. Blood Cancer J. 6, e419. https://doi.org/10.1038/bcj.2016.28 (2016).
Marketa, Z. et al. Genomic landscape of pediatric B-other acute lymphoblastic leukemia in a consecutive European cohort. Haematologica 104, 1396–1406. https://doi.org/10.3324/haematol.2018.204974 (2019).
Herold, T. et al. Adults with Philadelphia chromosome–like acute lymphoblastic leukemia frequently have IGH-CRLF2 and JAK2 mutations, persistence of minimal residual disease and poor prognosis. Haematologica 102, 130–138. https://doi.org/10.3324/haematol.2015.136366 (2017).
Sabina, C. et al. Philadelphia-like acute lymphoblastic leukemia is associated with minimal residual disease persistence and poor outcome. First report of the minimal residual disease-oriented GIMEMA LAL1913. Haematologica. https://doi.org/10.3324/haematol.2020.247973 (2020).
Iacobucci, I. et al. Truncating erythropoietin receptor rearrangements in acute lymphoblastic leukemia. Cancer Cell 29, 186–200. https://doi.org/10.1016/j.ccell.2015.12.013 (2016).
Cario, G. et al. Presence of the P2RY8-CRLF2 rearrangement is associated with a poor prognosis in non-high-risk precursor B-cell acute lymphoblastic leukemia in children treated according to the ALL-BFM 2000 protocol. Blood 115, 5393–5397. https://doi.org/10.1182/blood-2009-11-256131 (2010).
Harvey, R. C. et al. Rearrangement of CRLF2 is associated with mutation of JAK kinases, alteration of IKZF1, Hispanic/Latino ethnicity, and a poor outcome in pediatric B-progenitor acute lymphoblastic leukemia. Blood 115, 5312–5321. https://doi.org/10.1182/blood-2009-09-245944 (2010).
Moorman, A. V. et al. IGH@ Translocations, CRLF2 deregulation, and microdeletions in adolescents and adults with acute lymphoblastic leukemia. J. Clin. Oncol. 30, 3100–3108. https://doi.org/10.1200/jco.2011.40.3907 (2012).
Yoda, A. et al. Functional screening identifies CRLF2 in precursor B-cell acute lymphoblastic leukemia. Proc. Natl. Acad. Sci. U.S.A. 107, 252–257. https://doi.org/10.1073/pnas.0911726107 (2010).
Mullighan, C. G. et al. Rearrangement of CRLF2 in B-progenitor– and down syndrome-associated acute lymphoblastic leukemia. Nat. Genet. 41, 1243–1246. https://doi.org/10.1038/ng.469 (2009).
Jain, N. et al. Ph-like acute lymphoblastic leukemia: A high-risk subtype in adults. Blood 129, 572–581. https://doi.org/10.1182/blood-2016-07-726588 (2017).
Avraham, F. & Yishai, O. How I diagnose and manage Philadelphia chromosome-like acute lymphoblastic leukemia. Haematologica 104, 2135–2143. https://doi.org/10.3324/haematol.2018.207506 (2019).
Li, M.-J. et al. Treatment for childhood acute lymphoblastic leukemia in Taiwan: Taiwan Pediatric Oncology Group ALL-2002 study emphasizing optimal reinduction therapy and central nervous system preventive therapy without cranial radiation. Pediatr. Blood Cancer 64, 234–241. https://doi.org/10.1002/pbc.26142 (2017).
Liang, D. C. et al. Long-term results of Taiwan Pediatric Oncology Group studies 1997 and 2002 for childhood acute lymphoblastic leukemia. Leukemia 24, 397–405. https://doi.org/10.1038/leu.2009.248 (2010).
Yang, Y. L. et al. IKZF1 deletions predict a poor prognosis in children with B-cell progenitor acute lymphoblastic leukemia: A multicenter analysis in Taiwan. Cancer Sci. 102, 1874–1881. https://doi.org/10.1111/j.1349-7006.2011.02031.x (2011).
Yu, C. H. et al. MLPA and DNA index improve the molecular diagnosis of childhood B-cell acute lymphoblastic leukemia. Sci. Rep. 10, 11501. https://doi.org/10.1038/s41598-020-68311-9 (2020).
Tian, L. et al. CICERO: A versatile method for detecting complex and diverse driver fusions using cancer RNA sequencing data. Gen. Biol. 21, 126. https://doi.org/10.1186/s13059-020-02043-x (2020).
Newman, A. M. et al. FACTERA: A practical method for the discovery of genomic rearrangements at breakpoint resolution. Bioinformatics 30, 3390–3393. https://doi.org/10.1093/bioinformatics/btu549 (2014).
Kaplan, E. L. A. M. Nonparametric estimation from incomplete observations. J. Am. Stat. Assoc. 53, 25 (1958).
Yeoh, A. E. J. et al. RNA sequencing in childhood B-lymphoblastic leukemia improves molecular and risk assignment. Blood 134, 651–651. https://doi.org/10.1182/blood-2019-131653 (2019).
Harvey, RC., Tasian, S., K Clinical diagnostics and treatment strategies for Philadelphia chromosome–like acute lymphoblastic leukemia. Blood Adv. 4(1), 218–228 (2020).
Roberts, K. G. The biology of Philadelphia chromosome-like ALL. Best Pract. Res. Clin. Haematol. 30, 212–221. https://doi.org/10.1016/j.beha.2017.07.003 (2017).
Roberts, K. G. et al. Outcomes of children with BCR-ABL1-like acute lymphoblastic leukemia treated with risk-directed therapy based on the levels of minimal residual disease. J. Clin. Oncol. 32, 3012–3020. https://doi.org/10.1200/JCO.2014.55.4105 (2014).
Heatley, S. L. et al. High prevalence of relapse in children with Philadelphia-like acute lymphoblastic leukemia despite risk-adapted treatment. Haematologica 102, e490–e493. https://doi.org/10.3324/haematol.2016.162925 (2017).
Lengline, E. et al. Successful tyrosine kinase inhibitor therapy in a refractory B-cell precursor acute lymphoblastic leukemia with EBF1-PDGFRB fusion. Haematologica 98, e146–e148. https://doi.org/10.3324/haematol.2013.095372 (2013).
Weston, B. W. et al. Tyrosine kinase inhibitor therapy induces remission in a patient with refractory EBF1-PDGFRB-positive acute lymphoblastic leukemia. J. Clin. Oncol. 31, e413-416. https://doi.org/10.1200/JCO.2012.47.6770 (2013).
Tanasi, I. et al. Efficacy of tyrosine kinase inhibitors in Ph-like acute lymphoblastic leukemia harboring ABL-class rearrangements. Blood 134, 1351–1355. https://doi.org/10.1182/blood.2019001244 (2019).
Harvey, R. C. et al. Development and validation of a highly sensitive and specific gene expression classifier to prospectively screen and identify B-precursor acute lymphoblastic leukemia (ALL) patients with a philadelphia chromosome-like (“Ph-like” or “BCR-ABL1-Like”) signature for therapeutic targeting and clinical intervention. Blood 122, 826–826. https://doi.org/10.1182/blood.V122.21.826.826 (2013).
Chiaretti, S. et al. Rapid identification of BCR/ABL1-like acute lymphoblastic leukaemia patients using a predictive statistical model based on quantitative real time-polymerase chain reaction: Clinical, prognostic and therapeutic implications. Br. J. Haematol. 181, 642–652. https://doi.org/10.1111/bjh.15251 (2018).
Acknowledgements
The authors express their gratitude to all of the patients who participated in this study and their parents. The authors also acknowledge the efforts of the TPOG and the Childhood Cancer Foundation in Taiwan. We thank the Pharmacogenomics Laboratory of the National Core Facility for Biopharmaceuticals and the NGS and Microarray Core Facility of NTU Centres of Genomic and Precision Medicine for technical support. This work was supported by grants from the Ministry of Science and Technology, Taiwan (MOST-103-2314-B-002-199- to YLY; MOST-108-2319-B-002-001- to SLY) and from the National Taiwan University Hospital (NTUH.105-N03) as well as the Centre of Precision Medicine from The Featured Areas Research Centre Program within the framework of the Higher Education Sprout Project by the Ministry of Education in Taiwan.
Author information
Authors and Affiliations
Contributions
Y.-C.H., C.-H.Y., C.G.M., S.-L.Y. and Y.-L.Y. designed the study, analysed the data and wrote the manuscript. Y.-C.H., C.-H.Y., Y.-L.N., S.-W.L. and B.-C.H. acquired, processed patient specimens and performed experiments. C.-C.C. and K.G.R. performed the analysis. K.-H.L., S.-T.J., M.-Y.L., S.-H.C., K.-H.W., H.-H.C. and D.-T.L. provided clinical samples and data. The manuscript was written by Y.-L.Y, S.-L.Y and C.G.M. and was reviewed and edited by all authors.
Corresponding authors
Ethics declarations
Competing interests
The authors declare no competing interests.
Additional information
Publisher's note
Springer Nature remains neutral with regard to jurisdictional claims in published maps and institutional affiliations.
Supplementary Information
Rights and permissions
Open Access This article is licensed under a Creative Commons Attribution 4.0 International License, which permits use, sharing, adaptation, distribution and reproduction in any medium or format, as long as you give appropriate credit to the original author(s) and the source, provide a link to the Creative Commons licence, and indicate if changes were made. The images or other third party material in this article are included in the article's Creative Commons licence, unless indicated otherwise in a credit line to the material. If material is not included in the article's Creative Commons licence and your intended use is not permitted by statutory regulation or exceeds the permitted use, you will need to obtain permission directly from the copyright holder. To view a copy of this licence, visit http://creativecommons.org/licenses/by/4.0/.
About this article
Cite this article
Hsu, YC., Yu, CH., Chen, YM. et al. Philadelphia chromosome-negative B-cell acute lymphoblastic leukaemia with kinase fusions in Taiwan. Sci Rep 11, 5802 (2021). https://doi.org/10.1038/s41598-021-85213-6
Received:
Accepted:
Published:
Version of record:
DOI: https://doi.org/10.1038/s41598-021-85213-6





