Figure 1
From: Differentially private density estimation with skew-normal mixtures model

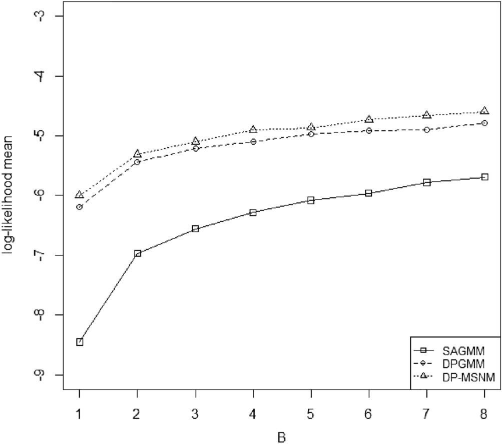
Effect of total privacy budget on AIS data set.
From: Differentially private density estimation with skew-normal mixtures model

Effect of total privacy budget on AIS data set.