Abstract
The nature of economies and the movement of agricultural crops across Eurasia in the Bronze Age have been the subject of significant research interest in recent years. This study presents and discusses new results of flotation, radiocarbon and carbon stable isotope analyses from the seed assemblage at the Adunqiaolu site (northwestern Xinjiang), in combination with archaeological evidence. Archaeobotanical evidence, including carbonized foxtail millet, broomcorn millet, and naked barley, documents the diversity of local cereal consumption during the mid-second millennium BC. Our results suggest that crops were not grown locally, however, but in the lower Boertala Valley, supporting the argument that Adunqiaolu was a winter camp. These new sets of data constitute an important contribution to the discussion on cereal dispersal across the Tianshan Mountains in the Bronze Age.
Similar content being viewed by others
Introduction
The Bronze Age of Eurasia has been associated with increasing interaction between different populations1,2,3. A growing body of research focusing on ‘food globalization’ in Eurasia4,5,6,7 has pointed to Central Asia, and in particular to the Inner Asia Mountain Corridor (henceforth IAMC) as a significant route for the exchange and diffusion of cereals8,9,10,11,12,13,14,15,16,17. The IAMC is a foothill ecozone ranging from the Hindu Kush, through the Pamir, Tianshan, and Dzhungar Mountains, to the Altai Range, which functioned as a pathway for the transmission of cultural and economic practices9.
Early evidence of crops consists of a few grains of wheat and barley from the Altai region (i.e., Tongtiandong Cave, Jeminay County) dated to the late fourth millennium BC18. However, a consistent expansion and diversification of crop use occurred in the IAMC in the period 2500–1500 BC7,19,20. A variety of grains—including naked barley, broomcorn millet, wheat and pea—were recovered from archaeobotanical assemblages in present-day Kazakhstan, showing dietary diversity in the regional Bronze Age communities21,22. In the Hexi Corridor, at the easternmost end of the Tianshan Range, the traditional C4 millet-based diet was integrated with barley and wheat after 2000 BC, as demonstrated by isotopic and macro-botanical data-sets23,24 (Figs. 1, 6). While researchers generally agree that cereals spread across Central Asia from their original sites of domestication in East and West Asia, there is an ongoing debate as to how and why this bidirectional crop dispersal occurred, probably as early as the mid-3rd millennium BC7,19,25,26,27. This study presents new results of the flotation work conducted at Adunqiaolu (Wenquan County, northwest Xinjiang), combined with new radiocarbon dates and carbon stable isotopes. The novel datasets are discussed in light of the archaeological material in order to contribute to a better understanding of crop dispersal via the IAMC and, specifically, the Tianshan Mountains during the Bronze Age.

adapted from open access map GlobeLand30 http://www.globeland30.org/home_en.html, introduced by Chen et al87).
Map of the sites mentioned in this study and the modern landcover of Xinjiang (this map is edited by D.T. using ArcGIS 10.6 https://www.esri.com, the base map is from World Terrain Base in ArcGIS Online https://www.arcgis.com/home/item.html?id=d476e726bd8c4c3aa5168d735f647dcc, and the map of modern landcover is
The Bronze Age settlement of Adunqiaolu is located in the southern foothills of the Alatao (Dzunghar) Mountain, on the upper reaches of the Boertala River Valley (Fig. 1). According to the altitude, the area is characterized by three vegetation zones: at about 1800 masl the narrow and rocky river valley is surrounded by a few wooded areas (e.g., Salix spp., Ulmus spp.) and clusters of shrubs (e.g. Caragana sinica, Achnatherum splendens, Hippophae rhamnoides); at ca. 2300 masl steppe plants (e.g. Stipa capillata, Convolvulus fruticosus, Festuca rupicola and various Cyperaceae, Asteraceae, Fabaceae and Liliaceae) dominates the environment28. Above 3000 masl, the area is characterized by alpine deserts and glaciers.
During the survey and excavations at Adunqiaolu in 2011–2014, eleven groups of houses were discovered. Based on analogy with present-day pastoral land use and analysis of pollen and phytoliths from ancient sheep dung, at least one house, F1, at an altitude of 2300 masl, was most likely a winter settlement, occupied only on a seasonal basis29,30. The botanical evidence examined in this paper was recovered from F1, which was a rectangular semi-subterranean structure, framed by a double line of stone slabs and internally divided into four spaces (Fig. 2). Ash pits, fireplaces, pottery sherds, stone artifacts and dung were found. There was evidence for a differential use of space within the structure. The north-west section appears to have been a domestic space with a large hearth, a scatter of potsherds and well-preserved animal dung, possibly stored for fuel. The north-east section too perhaps was predominantly intended for domestic use, as it contained sherd scatters but no hearth. The south-east section may have been an open yard. It had no artefacts but contained a large flat rock at the base. The south-west corner contained a dense concentration of sherds in a matrix of ash with traces of burning possibly from occasional cooking. House F1 yielded a sequence of radiocarbon dates showing that it was in use for around 400 years from the mid-eighteenth century BC onward31,32 (Table 1). The radiocarbon dates, artifacts and architecture at Adunqiaolu are all consistent with the eastern Andronovo archaeological complex (Federovo variant)31 (Table 1).
Plan of F1 and quantitative proportions of cereal crops per sampling grids (the plan is mapped by D.C. in-field and digitized using Adobe Photoshop CC 14.0 https://www.adobe.com/products/photoshop.html).
Results
Seeds
1174 carbonized seeds were collected from 85 of the 110 samples, with a density of 0.79 per liter of soil sample. 71 domesticated grains were recovered from 39 samples, accounting for 6.0% of the total. They include naked barley, broomcorn millet and foxtail millet (Fig. 2). The assemblage is consistent with that of the phytoliths examined by Shao et al.33. 1103 seeds of herbaceous plants (94.1%)—10 genera from 7 families—were also identified (Table 2 and Table S1).
Barley (Hordeum vulgare)
Naked barley is the most abundant and ubiquitous cereal in Adunqiaolu (intact grains = 19; fragments = 19) (Fig. 3a,b). The average length and width of the grains are 4.26 mm and 2.81 mm, respectively (Table S3). The twisted shape indicates that it is six-row barley34. Notably, no by-products of crop processing, such as husks and rachises, were found.
Seeds from F1. Scale bar is 1 mm. (a) Barley (ventral side); (b) Barley (dorsal side); (c) Foxtail millet; (d) Broomcorn millet; (e) Chenopodium album; (f) Astragalus sp. (the figure is generated by D.T. using Adobe Photoshop CC 14.0 https://www.adobe.com/products/photoshop.html).
Millets
Foxtail millet (Setaria italica) (n = 17) (Fig. 3c) and broomcorn millet (Panicum miliaceum) (n = 16) (Fig. 3d) reach similar levels of ubiquity. The average length and width of broomcorn millet grains are 1.94 mm and 1.78 mm respectively, and those of foxtail millet grains are 1.48 mm and 1.31 mm respectively (Table S3 and Table S5). The florets of foxtail millet—a caryopsis with a husk—are exceptionally well-preserved and match the criteria for identification 35.
Other seeds
With the exception of a few plant seeds of Polygonaceae, Rubiaceae and Valerianaceae, the other herbaceous seeds are forage genera existing in Xinjiang36,37. Among them, Chenopodium album (Fig. 3e) and Astragalus sp. (Fig. 3f) present a high degree of ubiquity.
Chronology
The results of radiocarbon dating are consistent with those obtained by Jia et. al31, located in the mid-second millennium BC (Table 1).
Carbon stable isotopes
The δ13C values of three barley samples range from − 21.0‰ to − 24.2‰, while the calculated Δ13C values range from 14.9‰ to 18.2‰ (Table 1).
Discussion
Subsistence strategies in Adunqiaolu
The archaeobotanical evidence indicates a multi-crop consumption pattern in Adunqiaolu in the mid-second millennium BC. Accelerator Mass Spectrometry (henceforth AMS) dating for barley grains ranges from the late seventeenth century BC (Layer 4) to the thirteenth century BC (Layer 3) (Table 1). The broomcorn millet and foxtail millet remains have not been dated by AMS; they co-exist with barley in the samples collected from the floor near the fireplaces (grids O2, O3, O4 and P3, Fig. 2 and Table S1).
Botanical material indicates that the occupants of Adunqiaolu consumed agricultural products. However, there is little evidence for the local cultivation of such products. The rocky high mountain steppe landscape of Adunqiaolu is poorly suited to crop cultivation. The ancient site is located at 2300 masl, while evidence of Bronze Age agricultural practices in the IAMC have been mostly found below 2000 masl38,39. Most importantly, Adunquiolu has been identified as a winter camp29,30 where cultivation would not be expected. The area of pasture where it is located is regarded as an optimal site for winter as it is in a sheltered position on a south-facing slope and has a particular localised wind pattern that prevents snow from drifting deeply. This allows animals to maximize their access to grazing in the cooler months and thus reduces the amount of fodder needed to support them. The low density of cereal grains and the absence of by-products of crop processing, crop residues and farming tools in the archaeological context are consistent with the argument that Adunqiaolu was exclusively a pastoral site40,41,42. House F1 lies immediately adjacent to a modern seasonal winter camp comprising a stone-built house with animal pen. Within the modern annual cycle employed by Kazakh and Mongol herders, there is a dominant focus on seasonal transhumant pastoralism, but agriculture is practiced for food, cash crops and winter fodder in low-lying camps on level ground, close to the river, that is occupied in spring and late summer-autumn30. It is likely, therefore, that crops from F1 were grown on lower altitude sites, possibly on the fertile lacustrine plain, in the lower reaches of the Boertala Valley, where the river flows into Lake Aibi and the valley flattens at an elevation of 400–600 m (Fig. 1a). This area, ca. 80 km east of ancient Adunqiaolu, is characterized by fertile soils and relatively abundant water. It is an important area for modern agriculture43 and recent archaeological surveys have identified Bronze Age sites40.
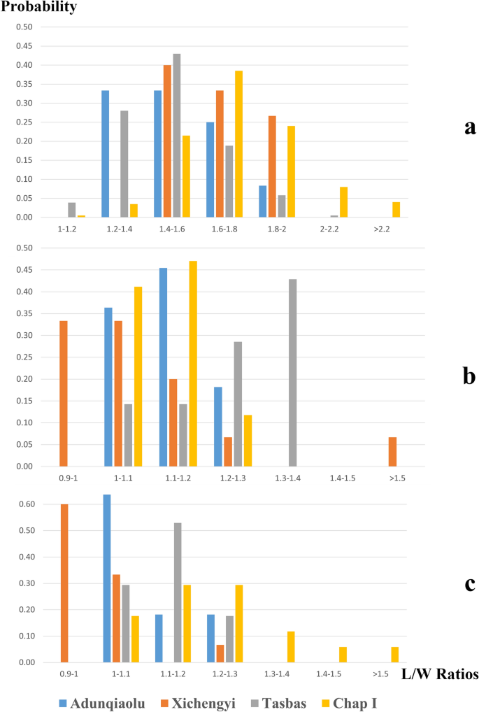
The low standard deviation (SDEV) of grain size calculated for crops recovered from F1 shows relatively small variability (Table S3, Table S4 and Table S5). The size range is consistent with measurements recorded in Bronze Age agricultural sites at low elevation (below 1500 masl). L/W ratio values for barley grains in Adunqiaolu are close to those recorded in Tasbas; values for millet are comparable to those of grains from the Hexi Corridor (Fig. 4)44,45. Agricultural sites at higher altitude (2000 masl), such as Chap I, show more variety in grain size (Fig. 4)46.
The distribution of Length to Width (L/W) ratios of cereal crops in Bronze Age sites in Xinjiang, Eastern Kazakhstan and Hexi Corridor. (a) Barley; (b) Foxtail millet; (c) Broomcorn millet (the figure is generated by D.T. using Microsoft 365 Excel 2104 https://www.microsoft.com/en-us/microsoft-365/enterprise).
Our carbon stable isotope results are limited by the low number of samples (n = 3); however, they still provide a rough estimate of the quantity of water available to the crops. Δ13C values fall in the poor (< 17‰) to moderate (17–18.5‰) water input range according to Wallace et al.47. This suggests a limited availability of water in the absence of advanced water-management systems. The comparison of Δ13C values with the AMS dates shows a decline in water supply from the mid-second millennium BC. This may possibly be related to the decline in precipitation after 1500 BC48. However, further carbon stable isotope investigations are necessary to clarify specific regional water conditions in relation to cereal cultivation.
Among the non-domesticated plants, charred remains of Chenopodium were discovered in F1. Chenopodium is widespread in Central Asia, including Xinjiang, owing to its long fruit-growing season49 hard testa and reproductive rate50. In particular, it grows densely on abandoned campsites51. In the Bronze Age and throughout the Iron Age, Chenopodium was similarly distributed18,52. Spengler51 has argued that high representation of Chenopodium in Central Asian sites is a result of the use of dung for fuel. Figure 5 and Table S1 illustrate the high density of Chenopodium in the domestic space where dung fossil is found. It can therefore be suggested that some of the herbaceous seeds found in F1 were deposited when animal dung containing them was burned on site.
Density of charcoal, Chenopodium, Astragalus, barley and millet in F1 (the base map is Fig. 2, and the distribution of density is calculated and illustrated by D.T. using ArcGIS 10.6 https://www.esri.com).
Astragalus is not a tough or high-yield herb. Hence, the considerable amounts of it found in F1 are likely to be at least partially related to the practice of storage and use as fodder for livestock. These seeds of Fabaceae may have found their way into the fire either as debris on the floor or contained within dung used as fuel (Figs. 2, 5). Eleven species, distributed across the river floodplains and mountain meadows in Adunqiaolu, are still used as forage by local herders36,49. Ethnographic data from Tuva and the Altai indicate that local pastoralists would collect wild grass or shrubs as supplementary food for herding before moving to their winter camps53. Archaeobotanical evidence from the Trans-Urals also suggests that Fabaceae were stored as forage in winter settlements54.
Within F1, there is a clear distinction between the distribution of Chenopodium and that of Astragalus (Fig. 5), implying differential storage patterns and probably use. Chenopodium remains closely match those of general charcoal distribution, both occurring in the area of dung storage against the center of the back wall of the building. This perhaps suggests the presence of waste fuel from hearths in the adjacent domestic space in the north-west corner. Astragulus is more widely dispersed within the north-east corner, reinforcing the idea that it was collected and stored separately for fodder. In this case, it might seem odd that carbonized seeds were present, but there is evidence that F1 was abandoned following a fire. Burned timbers were found in this area which may have fallen from either the roof or from a burnt wooden internal partition. It might then be suggested that the distinct differences in the distribution of Chenopodium and Astragalus reflect patterns of storage at the time of the fire.
Despite the relatively small samples, there are also significant differences in the distribution of barley and millet. Both appear to have been stored and used in the northwest corner of the building, but barley was more widely dispersed, including the cooking area to the south-west, with extra evidence for storage in a small chamber in the center of the structure. These patterns may imply that barley was used more for human consumption while millet may perhaps have served as supplementary fodder as well as occasional food. This suggestion is supported by studies of isotopic ratios in faunal remains at the sites of Begash and Dali in the eastern mountains of Kazakhstan not far over the border from Adunqialou27.
Adunqiaolu and crop dispersal
Radiocarbon-dated archaeobotanical evidence suggests that wheat and barley moved northeastward from the Karakorum Mountains to the Altai in the late fourth millennium BC18, while the IAMC possibly begun to function9. They then spread to Central China via various routes16,26,55,56. As a result, these crops were consistently consumed in the second millennium BC in the Tianshan Mountains, Hexi Corridor and Tibetan Plateau14,23,57. Macro-botanical data show that barley was more popular than wheat in the mountain areas of Xinjiang, perhaps owing to its ecological versatility, its adaptation to high-altitude environments and the scheduling requirements of mountain pastoralism52. In F1 no wheat grains were found.
Broomcorn millet and foxtail millet have a comparatively lower density and lack radiocarbon dates. Convincing Bronze Age evidence of foxtail millet in Xinjiang includes the charred remains in Tongtiandong, dated to the early second millennium BC18, and the grains from Adunqiaolu presented in this study. Further west, carbonized foxtail millet remains and phytolith fossils from Tasbas 2a have been placed after 1500 BC38, which fits the general date range for foxtail millet consumption in Central Asia. Early carbonized broomcorn millet was recovered from Begash and Dali, ca. 250 km west of Adunqiaolu, where it was most likely used for rituals and forage27,58. A few charred grains were found at Tongtiandong18. They all date from the late third millennium BC. Broomcorn millet directly dated to c. 2500–2400 BC has recently been reported from Pethpuran Teng, a Northern Neolithic site in Kashmir, suggesting that in addition to the movement of millet from northwest China into Semirech’ye and the Altai, there may have also been an early transmission into the Western Himalayas, southwards along the IAMC19. Large quantities of broomcorn millet grains discovered in Xiaohe (Lop Nur) were used for ritual purposes and as staple food in the early second millennium BC59,60,61. Genetic studies and stable carbon isotopic research on ancient crops and diets have provided further evidence for millet diffusion in Xinjiang and Central Asia after 2000 BC22,62,63,64,65. This is corroborated by the new data from Adunqiaolu presented in this study.
A consistent and relatively large-scale consumption of diverse crop grains is especially attested in the foothills of the Tianshan Mountains in the second millennium BC39,66, (Table 3). This steppe/mountain ecozone can support herding and low-investment farming and it is important for agro-pastoralism. During the late Holocene, the climate in the Tianshan Mountains fluctuated slightly between warm and cool phases, and no radical change has been recorded67,68. Indeed, the distribution of modern croplands on the hilly flanks of the Tianshan Mountains generally overlaps with that of the Bronze Age sites where crops remains have been found (Fig. 1b). Modern villages on the northern slopes of the Tianshan Mountains are located on river terraces in the foothills or on floodplains where the rainfall is higher and temperatures less extreme than further south. Rainfall along the foothills is around 350 mm, within the practical range for dry agriculture69. Notably, however, on local scales the fluctuation of temperature has affected crop productivity. In particular, the diversification in cropping patterns across Central Asia in the second millennium BC has been linked to the need to deal with cooler conditions70.
After 2000 BC, migrations on both a local and regional scale occurred across the Tianshan Mountains (Fig. 6). Adunqiaolu is located in the southern foothills of the Dzhungar (Alatao) Mountains, the northern spur of the Tianshan Range and one of the ridges of the IAMC. This region was suitable for pastoralism and increasing evidence points to herders as the main agents of cultural contact and crop dispersal in the Bronze Age9,17. Together with Adunqiaolu, the agro-pastoralist sites of Tasbas, Begash and Dali in eastern Kazakhstan are part of a Middle/Late Bronze Age cultural grouping that shares commonalities with the Federovo variant of the Andronovo Archaeological Complex (ca. 2000–900 BC)27,31,58,71.
Diffusion of crops and cultures during the Bronze Age in Xinjiang (this map is edited by D.T. using ArcGIS 10.6 https://www.esri.com and Adobe Photoshop CC 14.0 https://www.adobe.com/products/photoshop.html, the base map is from World Terrain Base in ArcGIS Online https://www.arcgis.com/home/item.html?id=d476e726bd8c4c3aa5168d735f647dcc).
Eastward movements intensified in the second millennium BC and the cultural impact of the Andronovo Archaeological Complex reached Central Asia and, further east, Xinjiang—specifically western and central Tianshan (e.g. Adunqiaolu, Husta, Kalasu, Saensayi), Pamir (Xiabandi), and the Altai Mountains (Xiakalangguer)31,72,73,74,75. Recent investigations at Baigetuobie suggest that the Andronovo influence may have extended as far as the eastern Tianshan Mountains76. The westward counterpart to these movements is represented by the so-called ‘painted pottery cultures’ in the Hexi Corridor—such as Siba and Xichengyi (ca. 2100–1500 BC)–which spread to eastern Xinjiang, as indicated by the remains at Tianshanbeilu and Nanwan2,77,78.
While climate fluctuations may have led to a diversification in cropping patterns, the dispersal of cereals was most likely driven by the local and regional migration of pastoralist communities across the Tianshan Mountains (Fig. 6). Cereal consumption by pastoralist groups may have begun as a supplementary subsistence strategy21. However, the change in dietary habits across time22,64,65 suggests that cereals were not exotica, but developed into a key element in local economic strategies. Crop dispersal was prompted by expediency, and quite possibly by necessity, which according to Liu and Jones6 was a primary agent of food globalization. These factors may have led to a shift in regional food production and consumption and to the adoption of new cereals as staple food.
The data sets presented and discussed in this study highlight a relative paucity of evidence for cereals, supporting the contention that House F1 and its neighbors were winter pastoral encampments. We hold that the upper reaches of the Boertala River Valley were seasonal pastures only, while crops were possibly cultivated in the lower reaches of the river. At the same time, we would also argue that the variety of grains in Adunqiaolu, including carbonized foxtail millet, broomcorn millet and naked barley in low density, was a consequence of the interconnectivity across the Tianshan Mountains during the second millennium BC. In particular, local and regional-scale migrations of pastoralists—the eastward expansion of the Andronovo Archaeological Complex and the westward movements of ‘the painted pottery cultures’ – facilitated crop dispersal in the Bronze Age.
Methods
In this study, all methods comply with relevant institutional, national, and international guidelines and legislation.
Archaeobotanical analyses
The plant material analyzed for this study was obtained during field excavations undertaken under a permit issued by the Chinese Academy of Social Sciences to the author D.C. All the samples were carbonized plant remains which do not constitute any biohazard or environmental threat. Carbonized plant remains do not fall under any specific regulations regarding laboratory analysis.
During the excavation of F1, 1 m × 1 m square grids were set up (Fig. 2). Two test trenches were set in the northeastern side of F1 to analyze the stratigraphy. 110 sediment samples (approximately 1492 L) were collected. All samples were floated at the excavation site, the protocol having been adapted from Pearsall79 and Zhao80. We filled a bucket with 10 L of water and sprinkled the soil sample evenly into the bucket, stirring gently with a plastic stick. The supernatant was poured into the second bucket through a 0.2 mm sampling sieve, and the process was repeated twice. Finally, the material collected in the sieve was transferred to the white cloth by spraying water, and it was then hung up and dried in the shade. The laboratory analysis was conducted at the Institute of Archaeology, Chinese Academy of Social Science, on the basis of Zhao80, with several references to Zhang81 and Liu et al.82. The samples were first screened in the laboratory with 2.0 mm, 1.0 mm and 0.5 mm sampling sieves, then observed and identified using a Cewei PXS-5T stereomicroscope, and photographed and measured using a Zeiss Stemi 2000C stereomicroscope. For botanical names, this paper employs the standard version recorded on the online Flora of China database (http://www.iplant.cn/foc/). The density of plant is the ratio of the number of plant seeds and the volume of sample (Table S2) and it illustrated by the software ArcGIS 10.6 (Fig. 5).
Radiocarbon dating
Three samples of carbonized seeds selected for dating by AMS. Dates were measured at Beta Analytic laboratories in Miami (USA) and calibrated in OxCal 4.3, using IntCal13 calibration curve83,84.
Carbon stable isotope
Three samples of carbonized barley were chosen for carbon stable isotope measurement. δ13C values were measured at the Beta Analytic laboratories in Miami (USA). In order to evaluate the water supply available to our barley during the growing period, the δ13C data were plugged into the formula by Farquhar et al.85:
δ13Cair(δ13C of the atmosphere in the past) was established on the basis of Ferrio et al.86 (the dataset is available at http://web.udl.es/usuaris/x3845331/AIRCO2_LOESS.xls). δ13Cplant values were provided by the Beta Analytic laboratories in Miami (USA). The evaluation of the water supply during the growing period was made by referring to Wallace et al.47.
References
Levine, M., Rassamakin, Y., Kislenko, A. & Tatarintseva, N. Late prehistoric exploitation of the Eurasian steppe (McDonald Institute for Archaeological Research, 1999).
Mei, J. Cultural interaction between China and central Asia during the Bronze Age. Proc. Brit. Acad. 121, 1–39 (2003).
Sherratt, A. The Trans-Eurasian exchange: The prehistory of Chinese relations with the West. In Contact and exchange in the ancient world, (ed. Mair, V. H.) (Honolulu: University of Hawaii Press, 2006).
Jones, M. et al. Food globalization in prehistory. World Archaeol. 43, 665–675. https://doi.org/10.1080/00438243.2011.624764(2011) (2011).
Boivin, N., Fuller, D. Q. & Crowther, A. Old World globalization and the Columbian exchange: comparison and contrast. World Archaeol. 44, 452–469. https://doi.org/10.1080/00438243.2012.729404 (2012).
Liu, X. & Jones, M. K. Food globalisation in prehistory: top down or bottom up?. Antiquity 88, 956–963. https://doi.org/10.1017/S0003598X00050912 (2014).
Liu, X. et al. From ecological opportunism to multi-cropping: Mapping food globalisation in prehistory. Quatern. Sci. Rev. 206, 21–28. https://doi.org/10.1016/j.quascirev.2018.12.017 (2019).
Flad, R., Li, S., Wu, X. & Zhao, Z. Early wheat in China: results from new studies at Donghuishan in the Hexi Corridor. Holocene 20, 955–965. https://doi.org/10.1177/0959683609358914 (2010).
Frachetti, M. D. Multiregional emergence of mobile pastoralism and nonuniform institutional complexity across Eurasia. Curr. Anthropol. 53, 2–38. https://doi.org/10.1086/663692 (2012).
Dodson, J. R. et al. Origin and spread of wheat in China. Quatern. Sci. Rev. 72, 108–111. https://doi.org/10.1016/j.quascirev.2013.04.021 (2013).
Spengler, R. N. Agriculture in the Central Asian Bronze Age. J. World Prehist. 28, 215–253. https://doi.org/10.1007/s10963-015-9087-3 (2015).
Spengler, R. N. Fruit from the sands: The Silk Road origins of the foods we eat (University of California Press, 2019).
Spengler, R. N., Ryabogina, N., Tarasov, P. E. & Wagner, M. The spread of agriculture into northern Central Asia: Timing, pathways, and environmental feedbacks. Holocene 26, 1527–1540. https://doi.org/10.1177/0959683616641739 (2016).
Liu, X. et al. The virtues of small grain size: Potential pathways to a distinguishing feature of Asian wheats. Quatern. Int. 426, 107–119. https://doi.org/10.1016/j.quaint.2016.02.059 (2016).
Stevens, C. J. et al. Between China and South Asia: A middle Asian corridor of crop dispersal and agricultural innovation in the Bronze Age. Holocene 26, 1541–1555. https://doi.org/10.1177/0959683616650268 (2016).
Liu, X. et al. Journey to the east: diverse routes and variable flowering times for wheat and barley en route to prehistoric China. PLoS ONE. https://doi.org/10.1371/journal.pone.0209518 (2017).
Frachetti, M. D., Smith, C. E., Traub, C. M. & Williams, T. Nomadic ecology shaped the highland geography of Asia’s Silk Roads. Nature 543, 193–198. https://doi.org/10.1038/nature21696 (2017).
Zhou, X. et al. 5,200-year-old cereal grains from the eastern Altai Mountains redate the trans-Eurasian crop exchange. Nat. Plants 6, 78–87. https://doi.org/10.1038/s41477-019-0581-y (2020).
Yatoo, M. A., Spate, M., Betts, A., Pokharia, A. K. & Shah, M. A. New evidence From the Kashmir Valley indicates the adoption of East and West Asian crops in the Western Himalayas by 4400 Years Ago. Quatern. Sci. Adv.. https://doi.org/10.1016/j.qsa.2020.100011 (2020).
Yang, Q., Zhou, X., Spengler, R. N., Zhao, K. & Li, X. Prehistoric agriculture and social structure in the southwestern Tarim Basin: multiproxy analyses at Wupaer. Sci. Rep.. https://doi.org/10.1038/s41598-020-70515-y (2020).
Spengler, R. N., Frachetti, M. D. & Doumani Dupuy, P. N. Late Bronze Age agriculture at Tasbas in the Dzhungar Mountains of eastern Kazakhstan. Quatern. Int. 348, 147–157. https://doi.org/10.1016/j.quaint.2014.03.039 (2014).
Lightfoot, E. et al. How ‘pastoral’is pastoralism? Dietary diversity in Bronze Age communities in the Central Kazakhstan steppes. Archaeometry 57, 232–249. https://doi.org/10.1111/arcm.12123 (2015).
Liu, X., Reid, R. E., Lightfoot, E., Motuzaite-Matuzeviciute, G. & Jones, M. K. Radical change and dietary conservatism: mixing model estimates of human diets along the Inner Asia and China’s mountain corridors. Holocene 26, 1556–1565. https://doi.org/10.1177/0959683616646842 (2016).
Dong, G. et al. Prehistoric trans-continental cultural exchange in the Hexi Corridor, northwest China. Holocene 28, 621–628. https://doi.org/10.1177/0959683617735585 (2017).
Betts, A., Jia, P. W. & Dodson, J. R. The origins of wheat in China and potential pathways for its introduction: a review. Quatern. Int. 348, 158–168. https://doi.org/10.1016/j.quaint.2013.07.044 (2014).
Long, T. et al. The early history of wheat in China from 14C dating and Bayesian chronological modelling. Nat. Plants 4, 272–279. https://doi.org/10.1038/s41477-018-0141-x (2018).
Hermes, T. R. et al. Early integration of pastoralism and millet cultivation in Bronze Age Eurasia. Proc. Bio. Sci. 2019, 286. https://doi.org/10.1098/rspb.2019.1273 (2019).
Wenquan County Local Gazetteers Committee. Local Gazetteers of Wenquan County (Xinjiang People’s Press, 2003) (in Chinese).
Caspari, G., Betts, A. & Jia, P. W. The Bronze Age in the Western Tianshan, China: A new model for determining seasonal use of site. J. Archaeol. Sci. Rep. 14, 12–20. https://doi.org/10.1016/j.jasrep.2017.05.036(2017) (2017).
Jia, P. W. et al. Seasonal movements of Bronze Age transhumant pastoralists in western Xinjiang. PLoS ONE. https://doi.org/10.1371/journal.pone.0240739(2020) (2020).
Jia, P. W. et al. Adunqiaolu: new evidence for the Andronovo in Xinjiang, China. Antiquity 91, 621–639 (2017).
Chan, A. & Cong, D. Results of field research on ancient stonework in the river valleys of Bortala and Ili in Western Tian Shan (Xinjiang, China). Asian Perspect. 59, 385–420 (2020).
Shao, K. et al. Analysis on plant microfossils reveals the ancient survival strategy of the Adunqiaolu site in Xinjiang, China. Quat Sci 39, 37–47. https://doi.org/10.1007/s00334-020-00774-2 (2019) (in Chinese).
Zohary, D., Hopf, M. & Weiss, E. Domestication of plants in the Old World: the origin and spread of domesticated plants in Southwest Asia, Europe, and the Mediterranean Basin (Oxford University Press, 2012).
Liu, C. & Kong, Z. Morphological comparison between foxtail millet and broomcorn millet grains and its significance for archaeological identification. Archaeology 7, 76–83 (2004) (in Chinese).
Cui, N. et al. (eds) The main forage in Xinjiang 1 (Xinjiang People’s Press, 1990) (in Chinese).
Cui, N. et al. (eds) The main forage in Xinjiang 2 (Xinjiang Science and Health Publishing House, 1994) (in Chinese).
Doumani Dupuy, P. N. et al. Burial ritual, agriculture, and craft production among Bronze Age pastoralists at Tasbas (Kazakhstan). Archaeol. Res. Asia 1, 217–232. https://doi.org/10.1016/j.ara.2015.01.001 (2015).
Zhang, J. et al. Cultivation strategies at the ancient Luanzagangzi settlement on the easternmost Eurasian steppe during the late Bronze Age. Veg. Hist. Archaeobot. 26, 505–512. https://doi.org/10.1007/s00334-017-0608-0 (2017).
Jia, P. W. An archaeological survey on prehistoric nomadic pastoralism: an analysis of prehistoric settlements in Western Tianshan of Xinjiang. Western Regions Studies 3, 63–75 (2018) (in Chinese).
Jia, P. W. & Chau, F. M. Early wheat cultivation and plant use in Xinjiang prehistory - new evidence from starch analysis. In Archaeology and conservation along the Silk Road, (ed. Krist Gabriela, Z. L.) (Böhlau Verlag, Wien, 2018).
Cong, D. & Jia P. W. Environmental archaeology on prehistoric subsistence economies: A case study of the Adunqiaolu site in Xinjiang, China. Quat Sci 39, 18–27, https://doi.org/10.11928/j.issn.1001-7410.2019.01.20 (2019) (in Chinese).
Boertala Mongolia Autonomous Region Local Gazetteers Committee. Local gazetteers of the Bortala Mongol Autonomous Prefecture (Xinjiang University Press, 1999) (in Chinese).
Fan, X. Analysis of carbonized botanic remains in Xinchengyi site. 37–42. Data repository at https://kns.cnki.net/kcms/detail/detail.aspx?dbcode=CMFD&dbname=CMFD201701&filename=1016162433.nh&v=31rlVL8jFj2h%25mmd2FVhqRSmHgtCN6C3ZmejbphHj9bYroQrrhelNHXRv8b4Np6cWL3%25mmd2Fp (2016) (in Chinese).
Spengler, R.N. Botanical resource use in the bronze and iron age of the Central Eurasian mountain/steppe interface: decision making in multiresource pastoral economies. 452–463. Data repository at https://openscholarship.wustl.edu/etd/1045 (2013).
Motuzaite Matuzeviciute, G., Mir-Makhamad, B. & Tabaldiev, K. The first comprehensive archaeobotanical analysis of prehistoric agriculture in Kyrgyzstan. Veget. Hist. Archaeobot. https://doi.org/10.1007/s00334-021-00827-0 (2021).
Wallace, M. et al. Stable carbon isotope analysis as a direct means of inferring crop water status and water management practices. J. World Archaeol. 45, 388–409. https://doi.org/10.1080/00438243.2013.821671 (2013).
Hill, D. J. Climate change and the rise of the Central Asian Silk Roads. In Socio-environmental dynamics along the historical Silk Road (eds. Yang, L., Bork, H. R. & Fang, X.) (Springer, Cham, 2019).
Committee for Flora of Xinjiang. Flora of Xinjiang 3 (Xinjiang Science and Technology Press, 2011) (in Chinese).
Qiang, S. Wild plants studies (Chinese Agriculture Press, 2009) (in Chinese).
Spengler, R. N. Dung burning in the archaeobotanical record of West Asia: where are we now?. Veg. Hist. Archaeobot. 28, 215–227. https://doi.org/10.1007/s00334-018-0669-8 (2019).
Tian, D. et al. Cultivation of naked barley by Early Iron Age agro-pastoralists in Xinjiang. China. Environ. Archaeol. 23, 416–425. https://doi.org/10.1080/14614103.2017.1415121 (2018).
Vainshtein, S. Nomads of South Siberia: The pastoral economies of Tuva (Cambridge University Press, 1980).
Rühl, L., Herbig, C. & Stobbe, A. Archaeobotanical analysis of plant use at Kamennyi Ambar, a Bronze Age fortified settlement of the Sintashta culture in the southern Trans-Urals steppe. Russia. Veg. Hist. Archaeobot. 24, 413–426. https://doi.org/10.1007/s00334-014-0506-7 (2015).
Zhao, Z. Eastward spread of wheat into China: New data and new issues. Chin. Archaeol. 9, 1–9. https://doi.org/10.1515/CHAR.2009.9.1.1 (2009).
Deng, Z. et al. Assessing the occurrence and status of wheat in late Neolithic central China: the importance of direct AMS radiocarbon dates from Xiazhai. Veg. Hist. Archaeobot. 29, 61–73 (2020).
Chen, F. et al. Agriculture facilitated permanent human occupation of the Tibetan Plateau after 3600 B.P. Science 347, 248–250. https://doi.org/10.1126/science.1259172 (2015).
Frachetti, M. D., Spengler, R. N., Fritz, G. J. & Mar’Yashev, A. N. Earliest direct evidence for broomcorn millet and wheat in the central Eurasian steppe region. Antiquity 84, 993–1010. https://doi.org/10.1017/S0003598X0006703X (2010).
Xinjiang Institution of Archaeology. Preliminary report of the 2003 excavation of the Xioahe cemetery in Lop Nur. Xinjiang. Cultural Relics 10, 4–42 (2007) (in Chinese).
Yang, R. et al. Investigation of cereal remains at the Xiaohe Cemetery in Xinjiang. China. J. Archaeol. Sci. 49, 42–47. https://doi.org/10.1016/j.jas.2014.04.020 (2014).
Qu, Y. et al. Diverse lifestyles and populations in the Xiaohe culture of the Lop Nur region, Xinjiang. China. Archaeol. Anthropol. Sci. 10, 2005–2014. https://doi.org/10.1007/s12520-017-0520-7 (2018).
Svyatko, S. V. et al. Stable isotope dietary analysis of prehistoric populations from the Minusinsk Basin, Southern Siberia, Russia: a new chronological framework for the introduction of millet to the eastern Eurasian steppe. J. Archaeol. Sci. 40, 3936–3945. https://doi.org/10.1016/j.jas.2013.05.005 (2013).
Hunt, H. V. et al. Genetic evidence for a western Chinese origin of broomcorn millet (Panicum miliaceum). Holocene 28, 1968–1978. https://doi.org/10.1177/0959683618798116 (2018).
Wang, W. et al. Human diet and subsistence strategies from the Late Bronze Age to historic times at Goukou, Xinjiang, NW China. Holocene 28, 640–650. https://doi.org/10.1177/0959683617735588 (2018).
Wang, T. et al. Tianshanbeilu and the Isotopic Millet Road: reviewing the late Neolithic/Bronze Age radiation of human millet consumption from north China to Europe. National Sci. Rev. 6, 1024–1039. https://doi.org/10.1093/nsr/nwx015 (2019).
Jia, P. W., Betts, A. & Wu, X. New evidence for Bronze Age agricultural settlements in the Zhunge’er (Junggar) Basin. China. J. Field Archaeol. 36, 269–280. https://doi.org/10.1179/009346911X13140904382057 (2011).
Yao, Y. et al. Holocene vegetation succession and climate-environment change in the Xinjiang region. Chin. Sci. Bull. 60, 2963–2976 (2015) (in Chinese).
Chen, F. et al. A persistent Holocene wetting trend in arid central Asia, with wettest conditions in the late Holocene, revealed by multi-proxy analyses of loess-paleosol sequences in Xinjiang. China. Quatern. Sci. Rev. 146, 134–146. https://doi.org/10.1016/j.quascirev.2016.06.002 (2016).
Yan, S., Mu, G., Kong, Z., Ni, J. & Yang, Z. Environmental evolvement and human activity impact in the late Holocene on the north slopes of the Tianshan Mountains. J. Glaciol. Geocryol. 25, 403–410 (2004).
D’alpoim Guedes, J. & Bocinsky, R. K. Climate change stimulated agricultural innovation and exchange across Asia. Sci. Adv. 4, 44–91. https://doi.org/10.1126/sciadv.aar4491 (2018).
Doumani Dupuy, P. N., Betts, A., Jia, P. W. & Cong, D. Pots and potters of the Bronze Age of north-west Xinjiang. Antiquity 93, 1231–1248 (2019).
Mei, J. & Shell, C. The existence of Andronovo cultural influence in Xinjiang during the 2nd millennium BC. Antiquity 73, 570–578. https://doi.org/10.1017/S0003598X00065121 (1999).
Kuzʹmina, E. E. The prehistory of the Silk Road (University of Pennsylvania Press, 2008).
Shao, H. The evolution of Xinjiang’s prehistoric cultural structure and the relationships with neighboring cultures (Science Press, 2018) (in Chinese).
Zhang, C. & Festa, M. Archaeological research in the Ili region: A review. Asian Perspect. 59, 338–384 (2020).
Zhu, J. et al. The Baigetuobie cemetery: New discovery and human genetic feature of Andronovo community’s diffusion to the Eastern Tianshan Mountains (1800–1500BC). Holocene https://doi.org/10.1177/0959683620970260 (2020).
Betts, A., Jia, P. W. & Abuduresule, I. A new hypothesis for early Bronze Age cultural diversity in Xinjiang. China. Archaeol. Res. Asia 17, 204–213. https://doi.org/10.1016/j.ara.2018.04.001 (2019).
Zhou, X., Li, X., Dodson, J. & Keliang, Z. Rapid agricultural transformation in the prehistoric Hexi corridor, China. Quat. Int. 426, 33–41 (2016).
Pearsall, D. M. Paleoethnobotany (Academic Press, 2000).
Zhao, Z. Archaeobontany: Theory, method and practice (Science Press, 2010) (in Chinese).
Zhang, Z. 2000. Chinese colored weed illustrated book (Ministry of Agriculture, Beijing, 2000) (in Chinese).
Liu, C., Jin, G. & Kong, Z. Archaeobotany: Research on seeds and fruits (Science Press, 2008) (in Chinese).
Bronk Ramsey, C. Methods for summarizing radiocarbon datasets. Radiocarbon 59, 1809–1833. https://doi.org/10.1017/RDC.2017.108 (2017).
Reimer, P. J. et al. J IntCal13 and Marine13 Radiocarbon Age Calibration Curves 0–50,000 Years cal BP. Radiocarbon 55, 1869–1887. https://doi.org/10.2458/azu_js_rc.55.16947 (2013).
Farquhar, G., Ehleringer, J. & Hubick, K. Carbon isotope discrimination and photosynthesis. Annu. Rev. Plant Biol. 40, 503–537. https://doi.org/10.1146/annurev.pp.40.060189.002443 (1989).
Ferrio, J. P., Araus, J. L., Buxó, R., Voltas, J. & Bort, J. Water management practices and climate in ancient agriculture: inference from the stable isotope composition of archaeobotanical remains. Veg. Hist. Archaeobot. 14, 510–517. https://doi.org/10.1007/s00334-005-0062-2(2005) (2005).
Chen, J., Ban, Y. & Li, S. China: Open access to Earth land-cover map. Nature 2014, 514. https://doi.org/10.1038/514434c (2014).
Mair, V. H. The northern cemetery: Epigone or progenitor of small river cemetery no. 5? In Reconfiguring the silk road: New research on east-west exchange in antiquity, (eds. Mair V. H. & Hickman J.) (University of Pennsylvania Press, Philadelphia, 2014).
Acknowledgements
We are grateful to Mr. Jingang Yang (Institute of Archaeology, Chinese Academy of Social Science) for his assistance during the laboratory work. The archaeological fieldwork and sampling were funded by the National Social Science Foundation of China (19ZDA226), which also provided financial support for the laboratory work (19CKG031).
Author information
Authors and Affiliations
Contributions
D.T. collected the samples, analyzed the data, prepared all figures and tables, and wrote the first draft of the manuscript; M.F. contributed to the interpretation of the data and revised the manuscript; D.C. provided the base map of Fig. 2; D.C., Z.Z., P.W.J. and A.B. offered valuable suggestions and contributed to the revision of the manuscript.
Corresponding author
Ethics declarations
Competing interests
The authors declare no competing interests.
Additional information
Publisher's note
Springer Nature remains neutral with regard to jurisdictional claims in published maps and institutional affiliations.
Supplementary Information
Rights and permissions
Open Access This article is licensed under a Creative Commons Attribution 4.0 International License, which permits use, sharing, adaptation, distribution and reproduction in any medium or format, as long as you give appropriate credit to the original author(s) and the source, provide a link to the Creative Commons licence, and indicate if changes were made. The images or other third party material in this article are included in the article's Creative Commons licence, unless indicated otherwise in a credit line to the material. If material is not included in the article's Creative Commons licence and your intended use is not permitted by statutory regulation or exceeds the permitted use, you will need to obtain permission directly from the copyright holder. To view a copy of this licence, visit http://creativecommons.org/licenses/by/4.0/.
About this article
Cite this article
Tian, D., Festa, M., Cong, D. et al. New evidence for supplementary crop production, foddering and fuel use by Bronze Age transhumant pastoralists in the Tianshan Mountains. Sci Rep 11, 13718 (2021). https://doi.org/10.1038/s41598-021-93090-2
Received:
Accepted:
Published:
Version of record:
DOI: https://doi.org/10.1038/s41598-021-93090-2
This article is cited by
-
Chronology of early China: A radiocarbon databank for Chinese archaeology
Scientific Data (2025)
-
Spatio-temporal changes of prehistoric human activities and subsistence in relation to trans-Eurasian exchange in the Inner Asian Mountain Corridor
Journal of Geographical Sciences (2025)
-
Irrigated Farming Among Mountain Agropastoralists: An Archaeobotanical Investigation at Mohuchahangoukou (Mid-First Millennium AD), Southern Tian Shan Foothills, Xinjiang, China
Journal of Archaeological Method and Theory (2025)
-
The rise of urbanism and exchange network: reconstruction of a 4000-year local history of Xinjiang, northwestern China
Heritage Science (2024)
-
Radiocarbon chronology and settlement patterns in the Bronze Age of the Qaidam Basin, Northwestern China
Scientific Reports (2024)







