Figure 4
From: Quasi-1D XY antiferromagnet Sr2Ni(SeO3)2Cl2 at Sakai-Takahashi phase diagram

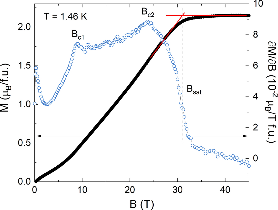
Magnetic field dependence of the magnetization M (black filled markers) in the upsweep mode and the magnetic susceptibility ∂M/∂B (blue open markers) obtained in pulsed magnetic fields up to 45 T at T = 1.46 K. The data have been normalized by quasi-static measurements up to 14 T. No appreciable magnetocaloric effect has been noticed. The sequence of critical fields at Bc1, Bc2 and Bsat can be treated as follows17.