Abstract
Uniform quasi-one-dimensional integer spin compounds are of interest as a potential realization of the Haldane conjecture of a gapped spin liquid. This phase, however, has to compete with magnetic anisotropy and long-range ordered phases, the implementation of which depends on the ratio of interchain J′ and intrachain J exchange interactions and both uniaxial D and rhombic E single-ion anisotropies. Strontium nickel selenite chloride, Sr2Ni(SeO3)2Cl2, is a spin-1 chain system which passes through a correlations regime at Tmax ~ 12 K to long-range order at TN = 6 K. Under external magnetic field it experiences the sequence of spin-flop at Bc1 = 9.0 T and spin-flip transitions Bc2 = 23.7 T prior to full saturation at Bsat = 31.0 T. Density functional theory provides values of the main exchange interactions and uniaxial anisotropy which corroborate the experimental findings. The values of J′/J = 0.083 and D/J = 0.357 place this compound into a hitherto unoccupied sector of the Sakai-Takahashi phase diagram.
Similar content being viewed by others
Introduction
Among the basic concepts stimulating research on strongly correlated electron systems is the Haldane conjecture of a gapped spin liquid implemented in the uniform chains of Heisenberg integer spins1,2. Tens of compounds, both organic and inorganic, have been studied to verify this idea and some of them have been identified as belonging to the Haldane sector of the Sakai-Takahashi phase diagram3. This representation takes into account the ratios between interchain J′ and intrachain J exchange interactions and uniaxial D single-ion anisotropy4. In addition, properties of uniform integer spin chains can be influenced by rhombic single-ion anisotropy E5 and anisotropy of spin–spin exchange interactions6.
In the Sakai-Takahashi phase diagram, J′/J versus D/J, the existence of the Haldane phase is limited by the critical value of J′/J = 0.0162 for the square lattice of adjacent chains7. At positive D, the Haldane sector is restricted by D/J = 0.9688, beyond which the large-D, or quantum paramagnet, phase continues. At negative D, the critical point at D/J = − 0.316 distinguishes the Haldane and Néel phases9.
Both the presence of quantum fluctuations—which are quite pronounced for low-dimensional low-spin systems—and of frustration of interchain exchange interactions suppress the Néel phase. On the contrary, the competition between nearest-neighbor and next-nearest-neighbor exchange interactions within the chains restricts the Haldane phase. Basically, the identification of the quantum ground state of a given magnetic system is possible both experimentally and theoretically. The case of a uniform quasi-one-dimensional spin S = 1 system, strontium nickel selenite chloride, Sr2Ni(SeO3)2Cl2, illustrates the remarkable correspondence of these two approaches, which places this compound into the yet unoccupied sector of the Sakai-Takahashi phase diagram, i.e. the sector of an easy-plane XY antiferromagnet at D < 1.
In the structure of Sr2Ni(SeO3)2Cl2, the Ni2+ ions are positioned at the center of octahedra formed by four oxygen ions in the basal plane and two chlorine ions in apical positions. The SeO3 pyramids bridge the NiO4Cl2 octahedra into uniform spin S = 1 chains running along the a-axis. The crystal structure of Sr2Ni(SeO3)2Cl2 in polyhedral representation is shown in Fig. 1.
The crystal structure of Sr2Ni(SeO3)2Cl2. Strontium ions are shown by blue spheres, nickel ions in black. The solid line marks the unit cell. The arcs mark exchange interaction pathways (see the text). VESTA software has been used for crystal structure visualization37.
Results
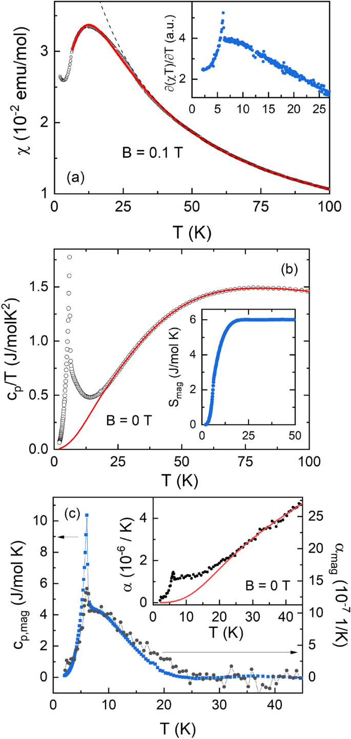
The static magnetic susceptibility χ = M/B reveals the low-dimensional nature of magnetism in Sr2Ni(SeO3)2Cl2 as well as its competition with the evolution of long-range magnetic order. Specifically, the magnetic susceptibility demonstrates a Curie–Weiss-like behavior at high temperatures, but shows a pronounced correlation hump at Tmax ~ 12 K before evidencing a kink at the Néel temperature TN = 6 K. The formation of long-range magnetic order is most pronounced in the Fisher specific heat ∂(χT)/∂T, as shown in the inset to Fig. 2a. The fit by the Curie–Weiss law, i.e. χ = χ0 + C/(T − Θ), gives the Curie constant C = 1.277 ± 0.001 emu K/mol thereby defining the effective magnetic moment of the Ni2+ ions µeff = 3.233 ± 0.003 µB and their g-factor g = 2.26 ± 0.01. The Weiss temperature Θ is negative, Θ = − 17.8 ± 0.1 K, which points to the predominance of antiferromagnetic exchange interactions at elevated temperatures. Finally, the temperature independent term χ0 = − (1.82 ± 0.02) × 10–4 emu/mol equals the sum of Pascal constants of the constituent ions10.
Temperature dependence of the static magnetic susceptibility χ = M/B taken at B = 0.1 T. The solid line represents fit by the Weng Eq. (1). The Fisher specific heat ∂(χT)/∂T is shown in the inset (a). Temperature dependences of specific heat cp/T (left ordinate) and magnetic entropy Smag (right ordinate). The estimated phonon contribution is shown by the solid red line (b). Temperature dependences of the magnetic contributions to the specific heat cp,mag and thermal expansion αmag. The inset shows α as measured and the phonon background (red line) (c).
The presence of significant antiferromagnetic correlations is evidenced by the fact that the magnetic susceptibility deviates from the Curie–Weiss behavior below about 6TN. This behavior, including the appearance of a correlation maximum, is typical for a linear spin-1 chain system. As shown in Fig. 2a, in a wide temperature range above TN the χ(T) dependence is well described by Weng equation11
where \(x=\frac{J}{{k}_{B}T}\), NA, µB and kB are Avogadro, Bohr and Boltzmann constants. For fitting the static susceptibility data (solid line in Fig. 2a), both χ0 and the g-factor were kept fixed to the abovementioned values resulting in the intrachain exchange interaction parameter J = 9.97 ± 0.02 K.
The low-dimensional nature of the spin system in Sr2Ni(SeO3)2Cl2 is further corroborated by the specific heat cp data in Fig. 2b which in addition to the anomaly at TN confirm significant entropy change well above TN. Describing the lattice specific heat by fitting a model of one Debye and three Einstein modes to the high-temperature regime from 22.5 K up to 200 K (see red line in Fig. 2b) allows obtaining the temperature dependence of the magnetic entropy Smag, as shown in Fig. 2b (right ordinate). The Debye and Einstein temperatures and respective coefficients obtained from fitting were θD = 118.3 K, nD = 1.42, θE,1 = 277.4 K, nE,1 = 4.55, θE,2 = 635.9 K, nE,2 = 3.13, θE,3 = 162.9 K, nE,3 = 2.26. The fitting procedure is explained in the methods section. The data imply that about 65% of the full magnetic entropy of Rln(3) are released below ~ 25 K while only a portion of which (~ 25%) is spent below TN. The data thereby point to significant short-range magnetic correlations well above TN and hence to the quasi one-dimensional character of magnetism in Sr2Ni(SeO3)2Cl2.
The evolution of short-range magnetic correlations is also visible in the thermal expansion coefficient α shown in Fig. 2c. In particular, the data are well described by the phonon background at temperatures up to 55 K, which has been obtained as explained in the methods section, but exhibit a small peak at TN and a broad region of non-phononic thermal expansion, thereby implying considerable magneto-elastic coupling in Sr2Ni(SeO3)2Cl2. Both the anomaly at TN and the length changes in the correlation regime signal the decrease of the volume of the unit cell upon evolution of short-range and long-range magnetic order, respectively. Comparing the thermal expansion coefficients with the specific heat cp allows to quantify magneto-elastic coupling by exploiting the Grüneisen ratio γ = α/cp. As shown in Fig. 2c, the magnetic contributions to the specific heat and to the thermal expansion coefficients can be scaled in the correlation regime. The data hence imply the presence of a single dominating energy scale12. As entropy changes are of magnetic nature, we conclude that a single magnetic degree of freedom, i.e., the magnetic intrachain exchange J, drives the observed non-phonon length and entropy changes. The corresponding scaling parameter yields the hydrostatic pressure dependence of J via the Grüneisen equation13 γ = αmag/cp,mag = 1/Vm ∂lnJ/∂p|T = 0.24(2) mol/MJ, with Vm = 1.26 10–4 m3/mol being the molar volume, calculated from the unit cell volume Vcell = 417.66 Å314. However, the Grüneisen ratio changes at the λ-like anomaly around TN and reaches γ = 0.16(2) mol/MJ. We conclude that the formation of long-range magnetic order at TN is either driven by more than one energy scale or an energy different from J. This is expected as the evolution of long-range magnetic order appears to result only in the presence of J′ and is affected by anisotropy D. Quantitatively, using the Ehrenfest relation yields the hydrostatic pressure dependence dTN/dp = TNVmγ = 0.12(4) K/GPa.
Electronic structure and exchange interactions
The electronic properties including exchange interactions for Sr2Ni(SeO3)2Cl2 have been calculated in the frame of the GGA + U approach. Figure 3 represents total and partial densities of states in Sr2Ni(SeO3)2Cl2. As in other charge-transfer insulators the top of the valence band is formed mostly by O 2p and Cl 3p states, while the bottom of the conduction band is dominated by Ni 3d states. The band gap is about 2 eV. The valence band width is about 9 eV and there is a strong hybridization of Ni 3d, O 2p and Cl 3p states. The conduction band width is about 5.5 eV.
Total and partial density of states (DOS) plots in Sr2Ni(SeO3)2Cl2. The Fermi level has been shifted to zero.
In order to identify the origin of the low-dimensional magnetic behavior of Sr2Ni(SeO3)2Cl2 the calculations of Heisenberg exchange parameters using the total energy method implemented in the JaSS code15 have been performed. To obtain the values of the main exchange parameters, shown by arcs in Fig. 1, DFT + U calculations for the supercell, containing 8 Ni2+ ions of 4 magnetic configurations, were carried out. The Heisenberg model was chosen to be
with J > 0 corresponding to antiferromagnetic exchange. The sum runs once over each pair of magnetic ions, numerated by i,j indices for intrachain interactions and i,k indices for interchain interactions. The calculations yield J = 9.75 K—the intrachain exchange interaction parameter between Ni2+ ions located at a distance of 5.325(1) Å along the a-axis, J′ = 0.8 K—exchange interaction parameter at a distance of 6.436(1) Å along the b axis, and J″ = − 0.35 K—exchange interaction parameter corresponding to a distance of 7.294(1) Å in the ac-plane. At these parameters, one might expect a long-range magnetic order with Néel temperature
where critical value of interchain interaction \({J}_{c}^{^{\prime}}\sim {Je}^{-\pi }\) which promotes the formation of true long-range order16. |J′|+ 2|J″|= 1.5 K yields TN ~ 4.8 K. The single-ion anisotropy may influence this value. Calculating in the GGA + U + SOC approximation the total energies of different configurations with spins lying in the (oxygen) basal plane and along Ni-Cl bonds we find that the single ion anisotropy is of easy-plane type, D = 3.5 K.
Discussion
The analysis of the static magnetic susceptibility, the specific heat and the thermal expansion clearly confirms the one-dimensional nature of magnetism in Sr2Ni(SeO3)2Cl2 governing the properties above TN and a separated regime of long-range magnetic order at lowest temperatures. The numerical results agree with the one-dimensional nature of magnetism in this compound. The numerically obtained nearest-neighbor intrachain coupling agrees quite well with the experimentally determined value. Further information on the magnetic parameters is provided by studies of the field dependence of the magnetization, at low temperatures, as shown in Fig. 4. The behavior at lowest magnetic fields, i.e. the convex curvature, is influenced by the presence of about 1% of defects/impurities. At higher fields, the M(B) curve evidences a sequence of phase transitions at BC1 = 9 T and BC2 = 23.7 T while at Bsat = 31.0 T the magnetization arrives to the full saturation at Msat = 2.15 µB.
Magnetic field dependence of the magnetization M (black filled markers) in the upsweep mode and the magnetic susceptibility ∂M/∂B (blue open markers) obtained in pulsed magnetic fields up to 45 T at T = 1.46 K. The data have been normalized by quasi-static measurements up to 14 T. No appreciable magnetocaloric effect has been noticed. The sequence of critical fields at Bc1, Bc2 and Bsat can be treated as follows17.
While the polycrystalline nature of the material under study may suggest the presence of two features at high magnetic fields associated with the saturation fields for the different directions of the field with respect to the g-factor, the difference in Bc2 and Bsat is too large for a reasonable anisotropy of the g-factor. In addition, the presence of a low-field feature is unexpected for an easy-plane magnet. The results shown in Fig. 4, however, clearly rule out an easy-axis antiferromagnet where in case of not too large anisotropy the sequence of a spin-flop (at Bc1) and a spin-flip transition (at Bc2) fully describe the evolution of magnetization under magnetic field. Evidently, this is not the case for Sr2Ni(SeO3)2Cl2 as the magnetization rises significantly till saturation at Bsat > Bc2. In contrast, for an easy-plane antiferromagnet there should be no spin-flop transition, since for any direction of external magnetic field the magnetic moments will orient perpendicular to the field. We hence conclude the presence of rhombic anisotropy E within the XY plane along with uniaxial anisotropy D along the Z axis in order to account for the observed features. In this case, the sequence of features at Bc1, Bc2 and Bsat can be treated as follows.
The spin-flop transition within the XY plane takes place at
the spin-flip transition within the XY plane occurs at
and, finally, the full saturation along the Z axis takes place at
Experimentally found critical values in the M(B) curve (in Tesla) can be put into correspondence with DFT results (in Kelvin) at the field of the spin-flip transition17
The analysis of the M versus B curve hence yields an additional set of magnetic parameters which not only agree to the value of J deduced from the analysis of the static susceptibility, but also agrees well to J and D obtained numerically from DFT. Both experimental and calculated values of J, D and E, as well as critical fields Bc1, Bc2 and Bsat are given in Table 1.
In the original calculations of Sakai and Takahashi within the mean-field approximation (MFA) the critical value limiting the Haldane phase at D = 0 is J′/J = 0.013 for the square lattice of adjacent chains and 0.017 for the triangular or kagome lattices4. Quantum Monte Carlo calculations7,8 provide slightly higher values 0.0162 and 0.0219 for the square and triangular lattices, respectively. As soon as the critical ratio J′/J depends on the geometry of adjacent chains, for accurate comparison of the systems with different geometry it is preferable to use the quantity zJ′/J, where z is the chain coordination number, or more complex equations if different interchain exchange interactions are present. A lower bound for zJ′/J is 0.051 in MFA and 0.068 in QMC8. In Sr2Ni(SeO3)2Cl2, we find (J′ + 2 J″)/J = 0.154 and D/J = 0.54 (exp) and D/J = 0.36 (DFT) which place this system into a yet unexplored and rather unique position in the Sakai-Takahashi phase diagram, as shown in Fig. 5.
Sakai-Takahashi phase diagram for uniform spin-1 chain compounds. Sharp borders between various phases are obtained within the mean-field approximation, while the comb follows from the quantum Monte Carlo calculations.
Conclusion
The Haldane conjecture on gapped integer spin liquids belongs to the milestones of low-dimensional quantum magnetism18. Up to date, several inorganic compounds, i.e. Y2BaNiO519, AgVP2S620, PbNi2V2O821 and after some controversy SrNi2V2O822,23, were put into the Haldane sector of the Sakai-Takahashi phase diagram. Few more, CsNiCl324, RbNiCl325 and LiVSi2O626 were assigned to the easy-axis antiferromagnetic sector (Z—AFM) of this diagram. Contradictory results have been reported for two trirutile-type tetragonal compounds, NiTa2O627 and NiSb2O628. Judging from the claimed values of J′/J and D/J ratios both systems should fall into the Haldane sector of this diagram. However, opposite to these estimations both nickel tantalate and nickel antimonite reach long-range order at high enough temperatures TN = 10.3 K and 6.7 K, respectively. The title compound, Sr2Ni(SeO3)2Cl2, is unequivocally positioned at J′/J > 0 and 0 < D/J < 1 in the hitherto unoccupied easy-plane antiferromagnetic (XY—AFM) long-range ordered sector of the Sakai-Takahashi phase diagram. This makes Sr2Ni(SeO3)2Cl2 an extremely interesting compound both for further theoretical and experimental studies. Varying the alkaline-earth metal or applying external pressure or strain one obtains a playground for studying yet unexplored region of the phase diagram and gaining deeper insight into Haldane physics.
Methods
The sample of strontium nickel selenite chloride was obtained from SrSeO3 and anhydrous NiCl2 precursors29. The mixture of 0.2 g SrSeO3 and 0.06 g of NiCl2 has been ground in the agate mortar and loaded into a quartz tube. The tube was sealed under vacuum and placed into the furnace for 10 days at 750 °C. The X-ray pattern was fully indexed in the monoclinic unit cell with parameters a = 5.3373(21)Å, b = 6.4526(23) Å, c = 12.231(4) Å, β = 92.518(20)°, space group P21/n30.
Thermodynamic properties, i.e. magnetization M and specific heat Cp, of the pressed pellet sample were studied using various options of Magnetic Properties Measurements System MPMS-7 T and Physical Properties Measurements System PPMS-14 T (Quantum Design) up to 14 T in the temperature range from 2 to 300 K. Pulsed-magnetic-field magnetization has been measured up to 45 T using a coaxial pick-up coil system. The pulsed-field magnetization data have been calibrated by means of static magnetic field measurements. The measurements of thermal expansion have been provided by means of a three-terminal high-resolution capacitance dilatometer in a home-built set-up31. The final fitting procedure, after trying several ways of approaching the fitting, for the phonon background was the following: first, the thermal expansion data up to 55 K, excluding the range from 3 to 22.5 K was fitted with one Debye and two Einstein modes. This yielded θD = 118.3 K, θE,1 = 277.4 K and θE,2 = 1497.81 K. θE,2 only contributes to the overall thermal expansion above 70 K. Therefore, the thermal expansion data was re-fit with one Debye mode and one Einstein mode with fixed θD = 118.3 K, θE = 277.4 K, which corresponds to the background shown in Fig. 2 and used to obtain αmag. To satisfactorily describe the specific heat data, two Einstein modes were then added and fit with fixed θD = 118.3 K, θE,1 = 277.4 K and freely varying θE,2 and θE,3. This fit resulted in the final parameters as described in the text. Lastly, the fit was subtracted from cp to obtain the magnetic contribution cp,mag to the specific heat.
To calculate the electronic and magnetic structure of Sr2Ni(SeO3)2Cl2 within the density functional theory the pseudopotential VASP code32 with the Perdew-Burke-Ernzerhof version of the exchange correlation potential33 has been used. To take into account the strong electronic correlations on Ni the GGA + U approach has been applied34. On-site Hubbard U and intra-atomic exchange JH for Ni2+ ions were chosen to be 8.0 and 0.9 eV, respectively35,36. A 5 × 3 × 3 k-mesh in the symmetry-irreducible part of the first Brillouin zone was used in all calculations. The convergence condition for the total energy was set to 10–6 eV.
Data availability
The datasets generated and/or analyzed during this study are available to qualified requestors from the corresponding author.
References
Haldane, F. D. M. Continuum dynamics of the 1-D Heisenberg anti-ferromagnet—Identification with the O(3) non-linear sigma-model. Phys. Lett. A 93, 464–468 (1983).
Haldane, F. D. M. Non-linear field-theory of large-spin Heisenberg anti-ferromagnets—Semi-classically quantized solitons of the one-dimensional easy-axis Néel state. Phys. Rev. Lett. 50, 1153–1156 (1983).
Maximova, O. V., Streltsov, S. V. & Vasiliev, A. N. Long range ordered, dimerized, large-D and Haldane phases in spin 1 chain compounds. Crit. Rev. Sol. State Mater. Sci. https://doi.org/10.1080/10408436.2020.1852911 (2020).
Sakai, T. & Takahashi, M. Effect of the Haldane gap on quasi-one-dimensional systems. Phys. Rev. B 42, 4537–4543 (1990).
Tzeng, Y. C., Onishi, H., Okubo, T. & Kao, Y. J. Quantum phase transitions driven by rhombic-type single-ion anisotropy in the S = 1 Haldane chain. Phys. Rev. B 96, 060404 (2017).
Leushin, A. M. & Eremin, M. V. Anisotropy of exchange interactions. J. Exp. Theor. Phys. 69, 2190–2198 (1975).
Wierschem, K. & Sengupta, P. Characterizing the Haldane phase in quasi-one-dimensional spin-1 antiferromagnets. Mod. Phys. Lett. B 28, 1430017 (2014).
Wierschem, K. & Sengupta, P. Quenching the Haldane gap in spin-1 Heisenberg antiferromagnets. Phys. Rev. Lett. 112, 247203 (2014).
Albuquerque, A. F., Hamer, C. J. & Oitmaa, J. Quantum phase diagram and excitations for the one-dimensional S = 1 Heisenberg antiferromagnet with single-ion anisotropy. Phys. Rev. B 79, 054412 (2009).
Bain, J. A. & Berry, J. F. Diamagnetic corrections and Pascal’s constants. J. Chem. Educ. 85, 532–536 (2008).
Weng, C. Y. Ph.D. Thesis, Carnegie Mellon University (1968).
Gegenwart, P. Cruneisen parameter studies on heavy fermion quantum criticality. Rep. Prog. Phys. 79, 114502 (2016).
Klingeler, R. et al. Pressure-induced melting of the orbital polaron lattice in La1−xSrxMnO3. Phys. Rev. B 73, 214432 (2006).
Berdonosov, P. S., Kuznetsova, E. S. & Dolgikh, V. A. Transition metal selenite halides: A fascinating family of magnetic compounds. Curr. Comput.-Aided Drug Des. 8, 159 (2018).
Streltsov, S. V. www.jass-code.org.
Katanin, A. A. & Irkhin, V. Y. Magnetic order and spin fluctuations in low-dimensional insulating systems. Phys. Usp. 50, 613–635 (2007).
Brambleby, J. et al. Combining microscopic and macroscopic probes to untangle the single-ion anisotropy and exchange energies in an S=1 quantum antiferromagnet. Phys. Rev. B 95, 134435 (2017).
Vasiliev, A., Volkova, O., Zvereva, E. & Markina, M. Milestones of low-D quantum magnetism. NPJ Quantum Mater. 3, 18 (2008).
Darriet, J. & Regnault, L. P. The compound Y2BaNiO5—A new example of a Haldane-gap in a S = 1 magnetic chain. Solid State Commun. 86, 409–412 (1993).
Mutka, H., Soubeyroux, J. L., Bourleaux, G. & Colombet, P. Support for the Haldane conjecture: Gap for magnetic excitations in the quasi-one-dimensional S = 1 Heisenberg antiferromagnet AgVP2S6. Phys. Rev. B 39, 4820–4823 (1989).
Zheludev, A. et al. Distribution of exchange energy in a bond-alternating S = 1 quantum spin chains. Phys. Rev. B 69, 144417 (2004).
Zheludev, A. et al. Magnetic excitations in coupled Haldane spin chains near the quantum critical point. Phys. Rev. B 62, 8921–8930 (2000).
Bera, A. K. et al. Field-induced magnetic ordering and single-ion anisotropy in the quasi-one-dimensional Haldane chain compound SrNi2V2O8: A single-crystal investigation. Phys. Rev. B 87, 224423 (2013).
Morra, R. M., Buyers, W. J. L., Armstrong, R. L. & Hirakawa, K. Spin dynamics and the Haldane gap in the spin-1 quasi-one-dimensional antiferromagnet CsNiCl3. Phys. Rev. B 38, 543–555 (1988).
Tun, Z., Buyers, W. J. L., Harrison, A. & Rayne, J. A. Observation of the Haldane gap in RbNiCl3. Phys. Rev. B 43, 13331–13334 (1991).
Vasiliev, A. N., Ignatchik, O. L., Isobe, M. & Ueda, Y. Long range Néel order in quasi-one-dimensional vanadium-based (S = 1) pyroxenes (Li, Na)V(Si, Ge)2O6. Phys. Rev. B 70, 132415 (2004).
Law, J. M. et al. Strongly correlated one-dimensional magnetic behavior of NiTa2O6. Phys. Rev. B 89, 014423 (2014).
Christian, A. B., Hunt, C. D. & Neumeier, J. J. Local and long-range order and the influence of applied magnetic field on single-crystalline NiSb2O6. Phys. Rev. B 96, 024433 (2017).
Dityatiev, O. A., Lightfoot, P., Berdonosov, P. S. & Dolgikh, V. A. SrSeO3 from a combined X-ray and neutron powder diffraction study. Acta Cryst. E 63, 149–150 (2007).
Berdonosov, P. S., Olenev, A. V., Kuznetsov, A. N. & Dolgikh, V. A. A group of new selenite-chlorides of strontium and d-metals (Co, Ni): Synthesis, thermal behavior and crystal chemistry. J. Solid State Chem. 182, 77–82 (2009).
Werner, J. et al. Anisotropy-governed competition of magnetic phases in the honeycomb quantum magnet Na3Ni2SbO6 studied by dilatometry and high-frequency ESR. Phys. Rev. B 95, 214414 (2017).
Kresse, G. & Furthmüller, J. Efficient iterative schemes for ab initio total-energy calculations using a plane-wave basis set. Phys. Rev. B 54, 11169–11186 (1996).
Perdew, J. P., Burke, K. & Ernzerhof, M. Generalized gradient approximation made simple. Phys. Rev. Lett. 77, 3865–3868 (1996).
Dudarev, S. L., Botton, G. A., Savrasov, S. Y., Humphreys, C. J. & Sutton, A. P. Electron-energy-loss spectra and the structural stability of nickel oxide: An LSDA+U study. Phys. Rev. B 57, 1505–1509 (1998).
Korotin, D. M., Mazurenko, V. V., Anisimov, V. I. & Streltsov, S. V. Calculation of exchange constants of the Heisenberg model in plane-wave-based methods using the Green’s function approach. Phys. Rev. B 91, 224405 (2015).
Muthuselvam, I. P. et al. Successive spin orderings of tungstate-bridged Li2Ni(WO4)2 of spin 1. J. Phys. Condens. Matter 27, 456001 (2015).
Momma, K. & Izumi, F. VESTA—A three-dimensional visualization system for electronic and structural analusis. J. Appl. Crystallogr. 41(3), 653–658 (2008).
Acknowledgements
Support by the P220 program of Government of Russia through the project 075-15-2021-604 is acknowledged. ANV acknowledges support by the RFBR Grant 19-02-00015. Work at Heidelberg was supported by BMBF via the project SpinFun (13XP5088) and by Deutsche Forschungsgemeinschaft (DFG) under Germany’s Excellence Strategy EXC2181/1-390900948 (the Heidelberg STRUCTURES Excellence Cluster) and through project KL 1824/13-1. We acknowledge the support of the HLD-HZDR, member of the European Magnetic Field Laboratory (EMFL). Theoretical calculations using density functional theory were supported by the Russian Science Foundation via project 20-62-46047. Experimental research was supported by the Russian Science Foundation via project 19-42-02010.
Author information
Authors and Affiliations
Contributions
S.V.S., R.K., and A.N.V. designed the project. E.S.K., A.V.M., M.U., S.S., and A.E. carried out the experiments; V.V.G. and S.V.S. carried out the theoretical analysis; P.S.B. synthesized the samples. S.V.S., R.K., and A.N.V. supervised the investigation and wrote the paper with key contributions from E.S.K. and S.S. The manuscript reflects the contributions of all authors.
Corresponding author
Ethics declarations
Competing interests
The authors declare no competing interests.
Additional information
Publisher's note
Springer Nature remains neutral with regard to jurisdictional claims in published maps and institutional affiliations.
Rights and permissions
Open Access This article is licensed under a Creative Commons Attribution 4.0 International License, which permits use, sharing, adaptation, distribution and reproduction in any medium or format, as long as you give appropriate credit to the original author(s) and the source, provide a link to the Creative Commons licence, and indicate if changes were made. The images or other third party material in this article are included in the article's Creative Commons licence, unless indicated otherwise in a credit line to the material. If material is not included in the article's Creative Commons licence and your intended use is not permitted by statutory regulation or exceeds the permitted use, you will need to obtain permission directly from the copyright holder. To view a copy of this licence, visit http://creativecommons.org/licenses/by/4.0/.
About this article
Cite this article
Kozlyakova, E.S., Moskin, A.V., Berdonosov, P.S. et al. Quasi-1D XY antiferromagnet Sr2Ni(SeO3)2Cl2 at Sakai-Takahashi phase diagram. Sci Rep 11, 15002 (2021). https://doi.org/10.1038/s41598-021-94390-3
Received:
Accepted:
Published:
Version of record:
DOI: https://doi.org/10.1038/s41598-021-94390-3







