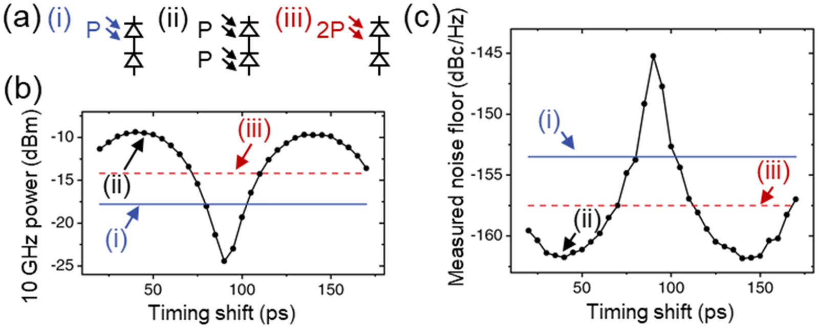
Figure 3

(a) Illumination conditions tested: (i) optical power (P, 2-mW) incident on single photodiode (top diode of BPD in this case), (ii) 2-mW incident on both photodiodes of opposite polarity with certain timing shift (Δt), (iii) 4-mW incident on single photodiode. (b) Microwave power at 10 GHz versus timing shift for each condition denoted in (a). (c) Measured noise floor for each condition denoted in (a).