Correction to: Scientifc Reports https://doi.org/10.1038/s41598-021-97378-1, published online 8 September 2021
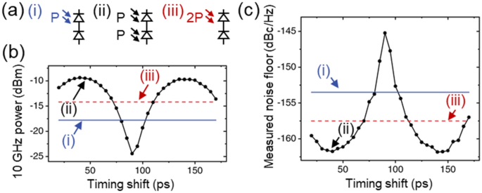
The original version of this Article contained an error in Figure 3, where the plot lines for conditions (i) and (iii) were incorrectly placed in panels (b) and (c). The original Figure 3 and accompanying legend appear below.
(a) Illumination conditions tested: (i) optical power (P, 2-mW) incident on single photodiode (top diode of BPD in this case), (ii) 2-mW incident on both photodiodes of opposite polarity with certain timing shift (Δt), (iii) 4-mW incident on single photodiode. (b) Microwave power at 10 GHz versus timing shift for each condition denoted in (a). (c) Measured noise floor for each condition denoted in (a).
The original Article has been corrected.
Author information
Authors and Affiliations
Corresponding author
Rights and permissions
Open Access This article is licensed under a Creative Commons Attribution 4.0 International License, which permits use, sharing, adaptation, distribution and reproduction in any medium or format, as long as you give appropriate credit to the original author(s) and the source, provide a link to the Creative Commons licence, and indicate if changes were made. The images or other third party material in this article are included in the article's Creative Commons licence, unless indicated otherwise in a credit line to the material. If material is not included in the article's Creative Commons licence and your intended use is not permitted by statutory regulation or exceeds the permitted use, you will need to obtain permission directly from the copyright holder. To view a copy of this licence, visit http://creativecommons.org/licenses/by/4.0/.
About this article
Cite this article
Hyun, M., Jeon, CG. & Kim, J. Author Correction: Ultralow-noise microwave extraction from optical frequency combs using photocurrent pulse shaping with balanced photodetection. Sci Rep 11, 18624 (2021). https://doi.org/10.1038/s41598-021-98466-y
Published:
Version of record:
DOI: https://doi.org/10.1038/s41598-021-98466-y
