Abstract
During the last decade the cubic perovskite oxide EuTiO3 (ETO) has attracted enormous novel research activities due to possible multiferroicity, hidden magnetism far above its Néel temperature at TN = 5.5 K, structural instability at TS = 282 K, possible application as magneto-electric optic device, and strong spin–lattice coupling. Here we address a novel highlight of this compound by showing that well below TS a further structural phase transition occurs below 210 K without the application of an external magnetic field, and by questioning the assumed tetragonal symmetry of the structure below TS where tiny deviations from true tetragonality are observed by birefringence and XRD measurements. It is suggested that the competition in the second nearest neighbor spin–spin interaction modulated by the lattice dynamics is at the origin of these new observations.
Similar content being viewed by others
Introduction
Perovskite oxides are well known for their tendency to undergo various structural instabilities with multiple ground states ranging from ferroelectric, antiferroelectric, ferromagnetic, antiferromagnetic, skyrmion type, and complex combinations of those. This variability is the origin for their large application potential and constantly increasing research interests. While many of these compounds have been discovered in the early 1950’th1, the largest research activities were devoted to few of them only, e.g. PbTiO3 and homologues, where the unusual dielectric, pyroelectric, ferroelastic and polar features are promising properties for all types of applications. EuTiO3 (ETO) also belongs to this material class2, but has long been ignored by the research society since it was believed to be rather boring and only antiferromagnetism (AFM) has been reported below 5.5 K3. During the last 10 years the situation for ETO has changed considerably since the onset of AFM order has been shown to be correlated with an appreciable anomaly in the dielectric permittivity4. This—in turn—has been related to a soft optic mode reminiscent of a ferroelectric instability5,6 thereby suggesting the possibility of multiferroic capabilities. The alikeness of ETO with SrTiO3 (STO), namely almost the same lattice constants, cubic at high temperature, valency of Eu, Sr being + 2, empty Ti d-shell, has been pursued further and shown to be continued by the fact that ETO also undergoes a cubic to “tetragonal” phase transition7,8,9,10,11, however at much enhanced temperature as compared to STO12,13,14. The origin of this enhancement stems from strong spin–lattice coupling which on the one hand modifies the lattice dynamics, on the other hand the spin activity7,15. The interplay between both was predicted to induce “hidden” spin order visible in the magnetic susceptibility16, the birefringence17, the Raman response18, the lattice constants19 and the dielectric properties20. Very convincing breakthrough confirmations of these predictions have been achieved by muon spin rotation (µSR) experiments21,22,23,24, which are the most sensitive tools to detect any kind of magnetic order, even if this is not visible by bulk probing experiments. From birefringence as well as XRD, dielectric, and µSR data taken under the action of an external magnetic field17,19,20,21 a novel phase transition could be detected in ETO which takes place around 210 K and must be accompanied by a symmetry lowering. Since these experiments have been performed in an external magnetic field one could argue that the field causes this new phase which consequently should be absent once the field is removed. Intuitively, this assumption is supported by the strong spin–lattice interaction which is enhanced by a magnetic field. Also, high resolution XRD data could not detect any further transition except the one at TS. Here we show unambiguously by new birefringence data that the transition is also present without the field and even followed by another one at lower temperature. In addition, earlier XRD data19 together with the present birefringence data are explored in deeper detail and shown to exhibit features which are incompatible with true tetragonality. Our results may also apply to other related perovskites where the obvious and as-given taken structures hide tiny deviations from it and thus converge with results obtained from pair distribution function (PDF) data.
Experimental
Birefringence results
The birefringence data have been taken from an ETO film of thickness 1 µm grown on STO where in situ XRD experiments have confirmed the cubic structure at room temperature. Effects of strain can be excluded to be present since the films have the same lattice constant as the bulk material and in addition, ETO and STO have almost identical lattice constants. Also, the transition to antiferromagnetic order has been verified at TN = 5.5 K. Furthermore the structural phase transition at TS = 282 K was confirmed by XRD measurements and birefringence. Therefore, we conclude that the films are indeed ETO and no signatures of any other phase are present.
Details of the experimental technique have been described in25. In that paper, domain structures in the investigated ETO film were observed for which the birefringence value Δn has been derived. This structure was well visible after subtracting from each orientation map at given temperature the “background” map referring to the one taken at 320 K, i.e. far enough away from the structural phase transition temperature TS = 282 K and well in the cubic phase. Based on this map we were able to calculate the birefringence for regions corresponding to a well-defined indicatrix orientation. Thus, it is possible to conclude from such data about a potential phase transition. This can be rather easily visualized through a color code, which corresponds to different indicatrix orientations.
Before going into more details with respect to the indicatrix orientation, the temperature dependence of the birefringence of ETO, as reported by us earlier, is shown in Fig. 1. This dependence has been plotted based on calculations for the regions of the size 200 µm × 200 µm. There are apparent, though much smaller than in a magnetic field, signatures of several phase transitions. As expected, the birefringence Δn is zero for T > TS, i.e. in cubic symmetry. Slightly above TS a small enhancement is visible in accordance with precursor effects which have been observed in many perovskite oxides26. Below TS Δn increases linearly with decreasing temperature and follows a Landau type behavior which can be fitted by Δn ~ (TS–T)β, β = 126, up to approximately T* ~ 210 K. Below this temperature, the data are no more describable by this law but a clear new upturn appears which seems to be again linear in temperature with a critical exponent β ⁓ 1/2. We can definitely exclude any effects from the substrate since the STO related birefringence is not only much smaller than the one of ETO but is also zero above 105 K where the cubic to tetragonal phase transition of STO takes place.
(Lower Part) Temperature dependence of Δn(T) of ETO. The linear regime of the temperature dependence, as expected from, e.g., Landau theory, is observed below TS. The full vertical line at 282 K corresponds to the onset of symmetry lowering at TS. A dashed line is placed at the point where transition near 210 K is suggested, although conclusive evidence is discussed further in the text (see Fig. 2). (Upper Part) there are exemplary birefringence maps of ETO taken at temperatures T = 130 K (left), T = 170 K (middle), and T = 240 K (right). The white framed squares of size 200 µm × 200 µm are those regions for which Δn(T) has been determined. The colour code indicates the indicatrix angle φ.
In order to define the structural changes related to TS and T*, the maps of indicatrix orientations in Fig. 1 were analyzed in detail. Around 240 K, i.e. in the tetragonal phase, the crystal is almost monochrome as would be anticipated in tetragonal symmetry. However, it is important to note that some strikes are appearing which might not be compatible with genuinely tetragonal symmetry. At 170 K and below a clear stripe-like structure is visible and a multicolored impression appears. From the color code this can be identified as stemming mainly from zero and 90° indicatrix, as could be in the tetragonal phase. However, this directly demonstrates that the symmetry is lower than tetragonal.
Assuming that the symmetry for T < TS is tetragonal, the Δn indicates the intrinsic value measured in the [100] direction. The setup used for the birefringence measurement detects absolute values |Δn|. Thus, in the case of the tetragonal symmetry, we should obtain the same birefringence value with the slow axis oriented 0° and 90° to the [100] direction. However, it is shown in Fig. 2 that for T > 210 K, the Δn(T) runs are slightly different.
(a) Example of indicatrix orientations at temperature T = 140 K. Two types of indicatrix orientations corresponding to [100] (magenta) and [010] (blue) can be distinguished. (b) Temperature dependence of the birefringence calculated for small regions marked by the white framed rectangular in (a). Below this temperature, the abrupt change of Δn is a signature of a different phase transition. The inset in Fig. 2b is the difference in birefringence between the [100] and [010] orientations. While the transition near 210 K is well visible, slightly above this temperature, some traces of the Δn might be incompatible with the tetragonal symmetry.
The birefringence changes below 210 K, calculated for a region of the size 200 µm × 200 µm, provide a very pronounced difference in the two temperature runs typical for a symmetry change and as expected for another structural phase transition. It might be suspected that the size of the region used for the calculations is too large, mirroring an average effective value of Δn. In order to exclude any artefact like this, two regions with smaller size have been selected lying within domains along of [100] and [001] orientation. The Δn(T) values for these regions are shown in Fig. 2. While for T < TS, these two dependencies are almost identical (see inset to Fig. 2b) below T⁓220 K, they distinctly split into two independent runs. This is a clear signature of another phase transition in ETO to a symmetry lower than tetragonal.
In various recent papers, we have reported that bulk ETO and films of ETO are susceptible to an external magnetic field of relatively low intensity. Hence, we have also carried out calculations for two small regions (domains) for our film sample that correspond to two different crystallographic orientations (blue and orange). As is shown in Fig. 3, a magnetic field of H = 0.1 T has the following effects:
-
It increases the value of Δn(T), but it does not destroy tetragonal phase below TS,
-
It splits Δn(T) into two different temperature dependencies below T = 210 K, corresponding to a symmetry lowering,
-
Below T = 100 K the temperature dependence of Δn changes dramatically and points to another phase transition at this temperature.
-
Most striking is the fact that the magnetic field changes the character of the split of the Δn(T) than that detected in the absence of the field (Fig. 2). It once again points to another phase transition below 210 K. The two Δn(T) runs above 210 K suggest that the magnetic field stabilizes the tetragonal symmetry of the lattice and even extends it beyond TS.
Temperature dependence of Δn(T) in an applied magnetic field of 0.1 T with the field orientation as shown on the left side of the figure. Δn has been calculated for the white framed squares shown on the right side of the figure. The black symbols are the difference between the blue and the orange data.
XRD data
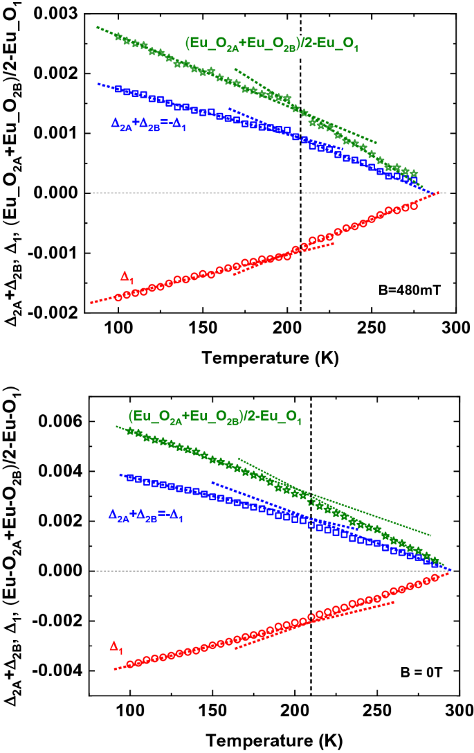
The doubts about the tetragonality below TS are further supported by very recent XRD measurements19 performed at the XRD1 beamline of Elettra Synchrotron (Trieste), where detailed data for the Eu_O distances in the “tetragonal” phase have been taken, assuming the tetragonal (I4/mcm space group) for the lower than room temperature data. Since in this phase three Eu_O bond distances are realized (see Fig. 4), namely the apical one and two planar ones, the planar ones must follow the relation [Eu_O2A(T)] + x = [Eu_O2B(T)]-x where Eu_O2A is the shorter distance oxygen atom and Eu_O2B the longer one and x is the bond length shift caused by the tetragonal distortion. Eu_O1 refers to the apical oxygen Eu_O bond length. Upon subtracting from all the bonds the corresponding temperature dependent average Eu_Oaverage of the three measured distances at the respective temperature T, i.e. [Eu_O2A(T) + Eu_O2B(T) + Eu_O1(T)]/3 = Eu_Oaverage(T), the difference values: Eu_O2A(T)-Eu_Oaverage(T) = Δ2A(T); Eu_O2B(T)-Eu_Oaverage(T) = Δ2B(T), Eu_O1(T)-Eu_Oaverage(T) = Δ1(T) are obtained; all of them should approach continuously zero when approaching TS from lower temperatures. In addition, the two planar distances, namely Δ2A(T) + Δ2B(T) should add up to zero for all temperatures below 282 K, as well as the difference (Eu_O2A + Eu_O2B)/2-Eu_O1.
However, neither the difference sum nor the apical Eu_O1 difference follows these considerations. (Fig. 5 left). Around T⁓210 K (dashed lines with colors corresponding to the respective symbols) all quantities show a break in the linear temperature dependence and adopt a new gradient. This temperature coincides approximately with the one where the birefringence data also show a new slope and a splitting of the domain structure (Figs. 2, 3). Upon applying a small magnetic field of 0.48 T all three values are decreased by more than a factor of 2, i.e., tetragonality is on the verge of being restored (Fig. 5 right). Amazingly, also under the action of the field again the temperature of ⁓210 K plays a borderline temperature where the inclination of the linearity changes even more pronouncedly as compared to zero field. These results together with the ones obtained from birefringence support the conclusion that the tetragonal phase is not truly tetragonal, but that small deviations from it are present which are re-established by an external magnetic field.
Bond distance variations from the average of the sum of the planar Δ2A + Δ2B distance deviations (blue squares), the apical one Δ1 (red circles), and half of the sum of the two planar distances minus the apical one (green stars) in zero field (left) and in a field of 480mT (same symbols and colors). Bond length values were obtained from Rietveld analysis assuming the tetragonal I4/mcm space group. The crossing of the dotted lines (same color code as the symbols) indicates the temperatures where the gradient of the linear regions changes. The dashed black vertical lines are a guide to the eye for the temperature where the mentioned anomalies occur.
Discussion
One might argue that the observed length differences (Fig. 5) are too tiny to influence any possible magnetic or structural responses, however, in various earlier work it has been shown that changes in the lattice constant, the Eu–O bond distance, respectively, of less than 0.01%, i.e. of the order of 10–4 Å, can cause, e.g., a ferroelectric phase transition or a transition from AFM to PM. Also, pair distribution function (PDF)27,28,29 data support these results. It implies that ETO is on the verge of various structural instabilities under pressure or strain30 where in30 support for deviations from tetragonality have been observed at low pressure.
The spin Hamiltonian in the antiferromagnetic phase of ETO reads:
where \(h={g}_{i}{\mu }_{B}{B}_{0}\), with \({g}_{i}\)=gyromagnetic moment,\({\mu }_{B}\)=Bohr magneton, and \({B}_{0}\)=external magnetic field. J1, J2 are the nearest and next nearest neighbor spin–spin interactions with J1/kB = − 0.021 K, J2/kB = 0.040 K, Si = 7/231, J1, J2 are the nearest and next nearest neighbor spin–spin interactions, α is the spin–lattice coupling constant, z1,2 are the nearest and next nearest neighbors, and \(\langle {{W}^{2}}_{T}\rangle \) is the self-consistently determined thermal average of the polarizability coordinate. In the paramagnetic and pseudo-tetragonal phase J1 is too small to contribute to any magnetic activity, whereas the second term J2 splits into three according to the tetragonal splitting of the Eu_O bond lengths, i.e. J2, Eu-O1, J2, Eu-O2, J2, Eu-O2*. The polarizability coordinate of ETO increases with temperature from 0.04 Å to a maximum 0.065 Å, where tiny changes in it have dramatic consequences for the lattice and spin dynamics. In a magnetic field \(\langle {{W}^{2}}_{T}\rangle \) has to be replaced by:
Since the bare J2 is also almost zero in the paramagnetic phase as J1, the next nearest neighbor spin–spin interaction is exclusively dominated by the polarizability coordinate, a dynamical quantity, and the sensitivity of the lattice constant to a magnetic field. Both are known from earlier work22,32. The magnetic field strength used in XRD and birefringence experiments is small (< 0.5 T), and in this external field the lattice constant increases nonlinearly. It has the consequence that the renormalized polarizability coordinate (Eq. 2) representing here the spin–spin exchange interaction, changes its sign by the tetragonal distortion, especially in the plane where one bond is increased while for the other the opposite happens. It means that for the Eu_O2A bond the renormalized spin–spin interaction \({\tilde{J }}_{2}\) is attractive, i.e. AFM, whereas for Eu_O2B it is repulsive, i.e. FM with \({\tilde{J }}_{2}\) being given by:
as long as the magnetic field is zero. With field it changes according to Eq. 1. This produces a highly frustrated situation for the spin state, which can be reverted by returning to the tetragonal phase. In addition, this frustration causes the deviations from the ideal tetragonal structure in order to minimize the spin induced energy increase. With decreasing temperature the lattice contracts further to reach the temperature where the spin frustration is lifted by a symmetry lowering to orthorhombic or even lower symmetry. Unfortunately, we are not able to either determine experimentally the true symmetry of the “nearly tetragonal” phase or the one of the phase below 210 K since the changes in the lattice constants are too small to be detected (Rietveld analysis assuming various possible space groups could not provide decisive conclusions). Also theoretically it is extremely difficult to make any predictions based on density functional theory (DFT)33 since the energy differences between the possible space groups are very small (a few meV, depending on the size of the Hubbard U term) to unambiguously assign the symmetry. However, in33 it was concluded that three candidate ground states:a0a0c− (I4/mcm), a0b−b− (Imma), and a−a−a− (R ̄3c) are most likely realized where again the calculated energy differences are too small to allow the distinction which of these phases as the ground state. Even, a phase coexistence has been discussed. In another DFT study on ETO I4/mcm, Imma, Pnma, and C2/c have been identified as the lowest energy candidates34. Only from our earlier data taken in a magnetic field17 we find as possible and likely candidates Cmcm and C2/m or even lower symmetries. A detailed crystallographic study of the related compound EuNbO335 where Eu also has the valency + 2, has identified two phase transitions where the cubic high temperature symmetry is lowered to tetragonal at TS = 460 K and further lowered to orthorhombic Imma at T* = 360 K. The latter symmetry would be consistent with our birefringence data in a magnetic field. In36 the mixed crystal serie EuTi1-xNbxO3 has been investigated by resonant ultrasound spectroscopy where a systematic increase in TS with increasing x was observed, consistent with35 with the highest TS. Combining these two studies and including the present results suggests that the here reported structural transition at 210 K should also be present in the mixed crystal series and increase systematically with x to 360 K at x = 1.
Summary
In summary, we have presented unambiguous experimental evidence for first a second structural phase transition below TS to orthorhombic or even lower symmetry around 210 K. Second, both data sets, birefringence and XRD, reveal small deviations from true tetragonality, which cause a competition of the second nearest neighbor spin–spin interaction. This competition can be compensated by a magnetic field, which restores the tetragonal symmetry. All effects reported here can only be understood by intriguing spin–lattice interactions, which are interwoven to modify the lattice properties and the spin activity in an intricate way.
Change history
08 February 2022
A Correction to this paper has been published: https://doi.org/10.1038/s41598-022-06487-y
References
Lines, M. E. & Glass, A. M. Principles and Applications of Ferroelectric and Related Materials (Clarendon Press, 1977).
Brous, J., Frankuchen, I. & Banks, E. Rare earth titanates with a perovskite structure. Acta Crystallogr. 6, 67–69 (1953).
McGuire, T. R., Shafer, M. W., Joenk, R. J., Halperin, H. A. & Pickart, S. Magnetic structure of EuTiO3. J. Appl. Phys. 37, 981–985 (1966).
Katsufuji, T. & Takagi, H. Coupling between magnetism and dielectric properties in quantum paraelectric EuTiO3. Phys. Rev. B 64, 054415 (2001).
Kamba, S. et al. Magnetodielectric effect and optic soft mode behaviour in quantum paraelectric EuTiO3 ceramics. Europhys. Lett. 80, 27002 (2007).
Goian, V. et al. Polar phonon mixing in magnetoelectric EuTiO3. Eur. Phys. J. B 71, 429–433 (2009).
Bussmann-Holder, A., Köhler, J., Kremer, R. K. & Law, J. M. Relation between structural instabilities in EuTiO3 and SrTiO3. Phys. Rev. B 83, 212102 (2011).
Ellis, D. S. et al. X-ray study of the structural distortion in EuTiO3. Phys. Condens. Matter 442, 34–39 (2014).
Bessas, D. et al. Lattice instabilities in bulk EuTiO3. Phys. Rev. B 88, 144308 (2013).
Ellis, D. S. et al. Phonon softening and dispersion in EuTiO3. Phys. Rev. B 86, 220301 (2012).
Ellis, D. S., Uchiyama, H., Sugimoto, K., Kato, K. & Baron, A. Q. R. Growth and characterization of EuTiO3 single crystals. Ferroelectrics 441, 42–47 (2012).
Müller, K. A. & Burkard, H. SrTiO3: An intrinsic quantum paraelectric below 4 K. Phys. Rev. B 19, 3593–3602 (1979).
Fleury, P. A., Scott, J. F. & Worlock, J. M. Soft phonon modes and the 110°K phase transition in SrTiO3. Phys. Rev. Lett. 21, 16–19 (1968).
Gallardo, M. C., Burriel, R., Romero, F. J., Gutiérrez, F. J. & Salje, E. K. H. Low-temperature calorimetric study of SrTiO3. J. Phys. Condens. Matter 14, 8 (2002).
Bettis, J. L., Whangbo, M.-H., Köhler, J., Bussmann-Holder, A. & Bishop, A. R. Lattice dynamical analogies and differences between SrTiO3 and EuTiO3 revealed by phonon-dispersion relations and double-well potentials. Phys. Rev. B 84, 184114 (2011).
Caslin, K. et al. Lattice and polarizability mediated spin activity in EuTiO3. J. Phys. Condens. Matter 26, 022202 (2014).
Bussmann-Holder, A. et al. Transparent EuTiO3 films: A possible two-dimensional magneto-optical device. Sci. Rep. 7, 40621 (2017).
Pappas, P., Liarokapis, E., Calamiotou, M. & Bussmann-Holder, A. Magnetic interactions and the puzzling absence of any Raman mode in EuTiO3. J. Raman Spectrosc 2, 6075 (2021).
Pappas, P., Calamiotou, M., Polentarutti, M., Bais, G., Bussmann-Holder, A. & Liarokapis, E. Magnetic field driven novel phase transitions in EuTiO3, arXiv: 2103.04742
Gregori, G., Köhler, J., Scott, J. F. & Bussmann-Holder, A. Hidden magnetism in the paramagnetic phase of EuTiO3. J. Phys. Condens. Matter 27, 496003 (2015).
Guguchia, Z. et al. Complexity in the structural and magnetic properties of almost multiferroic EuTiO3. Phys. Rev. B 94, 220406 (2016).
Bussmann-Holder, A., Köhler, J., Roleder, K., Guguchia, Z. & Keller, H. Unexpected magnetism at high temperature and novel magneto-dielectric-elastic coupling in EuTiO 3: A critical review. Thin Solid Films 643, 3–6 (2017).
Guguchia, Z. et al. Spin-lattice coupling induced weak dynamical magnetism in EuTiO3 at high temperatures. Phys. Rev. B 90, 064413 (2014).
Guguchia, Z. et al. Nonlinear pressure dependence of TN in almost multiferroic EuTiO3. J. Phys. Condens. Matter 25, 376002 (2013).
Stuhlhofer, B. et al. New features from transparent thin films of EuTiO3. Phase Trans. 89, 731–739 (2016).
Bussmann-Holder, A., Roleder, K. & Ko, J.-H. What makes the difference in perovskite titanates?. J. Phys. Chem. Solids 117, 148–157 (2018).
Allieta, M. et al. Role of intrinsic disorder in the structural phase transition of magnetoelectric EuTiO3. Phys. Rev. B 85, 184107 (2012).
Widenmeyer, M., Checchia, S., Xiao, X., Scavini, M. & Weidenkaff, A. Effects of nanodomains on local and long-range phase transitions in perovskite-type Eu0.8Ca0.2TiO3–δ. Nanomaterials 10(4), 769 (2020).
Scavini, M. et al. Investigating the temperature evolution of EuTiO3 local structure by means of pair distribution function analysis. Inst. Laue-Langevin (ILL) https://doi.org/10.5291/ILL-DATA.5-23-669 (2015).
McGuire, T. R., Shafer, M. W. & Joenk, R. J. Magnetic Structure of EuTiO3. J. Appl. Phys. 37, 981 (1966).
Bessas, D. et al. Pressure-mediated structural transitions in bulk EuTiO3. Phys. Rev. B 98, 054105 (2018).
Reuvekamp, P. G., Kremer, R. K., Köhler, J. & Bussmann-Holder, A. Spin-lattice coupling induced crossover from negative to positive magnetostriction in EuTiO3. Phys. Rev. B 90, 094420 (2014).
Rushchanskii Konstantin, Z., Spaldin Nicola, A. & Lezaic, M. First-principles prediction of oxygen octahedral rotations in perovskite-structure EuTiO3. Phys. Rev. B 85, 104109 (2012).
Yang, Y., Ren, W., Wang, D. & Bellaiche, L. Understanding and revisiting properties of EuTiO3 bulk material and films from first principles. Phys. Rev. Lett. 109, 267602 (2012).
Yoshiro, K. et al. Structural phase transitions in EuNbO3 perovskite. J. Solid State Chem. 239, 192–199 (2016).
Li, L. et al. Structural and magnetic phase transitions in EuTi1−xNbxO3. Phys. Rev. B 92, 024109 (2019).
Acknowledgements
ABH acknowledges many helpful and enlightening discussions with Prof. Dr. Hugo Keller. EL acknowledges the important comments on this paper provided by Prof. M. Calamiotou and Dr. P. Pappas and their critical contribution to the xrd work.
Funding
Open Access funding enabled and organized by Projekt DEAL. The synchrotron xrd research leading to this result has been supported by the project CALIPSO plus under Grant Agreement 730872 from the EU Framework Programme for Research and Innovation HORIZON 2020.
Author information
Authors and Affiliations
Contributions
A.B.H. has initiated the project and contributed with theoretical considerations, E.L. has performed the XRD experiments, and K.R. has carried out the birefringence experiments.
Corresponding author
Ethics declarations
Competing interests
The authors declare no competing interests.
Additional information
Publisher's note
Springer Nature remains neutral with regard to jurisdictional claims in published maps and institutional affiliations.
The original online version of this Article was revised: The Funding section in the original version of this Article was incomplete: “Open Access funding enabled and organized by Projekt DEAL.” now reads: “Open Access funding enabled and organized by Projekt DEAL. The synchrotron xrd research leading to this result has been supported by the project CALIPSO plus under Grant Agreement 730872 from the EU Framework Programme for Research and Innovation HORIZON 2020.”
Rights and permissions
Open Access This article is licensed under a Creative Commons Attribution 4.0 International License, which permits use, sharing, adaptation, distribution and reproduction in any medium or format, as long as you give appropriate credit to the original author(s) and the source, provide a link to the Creative Commons licence, and indicate if changes were made. The images or other third party material in this article are included in the article's Creative Commons licence, unless indicated otherwise in a credit line to the material. If material is not included in the article's Creative Commons licence and your intended use is not permitted by statutory regulation or exceeds the permitted use, you will need to obtain permission directly from the copyright holder. To view a copy of this licence, visit http://creativecommons.org/licenses/by/4.0/.
About this article
Cite this article
Bussmann-Holder, A., Liarokapis, E. & Roleder, K. Intriguing spin–lattice interactions in EuTiO3. Sci Rep 11, 18978 (2021). https://doi.org/10.1038/s41598-021-98503-w
Received:
Accepted:
Published:
Version of record:
DOI: https://doi.org/10.1038/s41598-021-98503-w







