Correction to: Scientific Reports https://doi.org/10.1038/s41598-021-93528-7, published online 07 July 2021
The original version of this Article contained an error in the Introduction,
"Hepatocellular carcinoma (HCC) is the seventh (4.7%) most commonly diagnosed cancer"
now reads:
"Hepatocellular carcinoma (HCC) is the sixth (4.7%) most commonly diagnosed cancer".
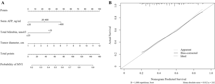
Additionally, the Article contained errors in the x-axis and y-axis of Figure 3B, where the x-axis,
“Nomogram Predicated Survival”
now reads:
“Predicted probability of MVI”
And, the y-axis,
“Actual Survival”
now reads:
“Actual probability of MVI”
Consequently, the legend of the Figure 3 has been corrected accordingly,
“Developed diagnosis nomogram for microvascular invasion prediction. (A) A vertical line was drown upward to find the number of points received for AFP, tumor diameter and TB. The sum of three influencing factors was presented on the total point axis, and a vertical line was also drawn downward to the the probability of MVI. (B) The calibration curves of nomogram model prediction in HCC patients. The X-axis showed the predicted survival. The Y-axis showed the actual survival. The solid line indicated the performance of the developed nomogram model.”
now reads:
“Developed diagnosis nomogram for microvascular invasion prediction. (A) A vertical line was drown upward to find the number of points received for AFP, tumor diameter and TB. The sum of three influencing factors was presented on the total point axis, and a vertical line was also drawn downward to the the probability of MVI. (B) The calibration curves of nomogram model prediction in HCC patients. The X-axis showed the predicted probability of MVI. The Y-axis showed the actual probability of MVI. The solid line indicated the performance of the developed nomogram model.”
The original Figure 3 and accompanying legend appear below.
Developed diagnosis nomogram for microvascular invasion prediction. (A) A vertical line was drown upward to find the number of points received for AFP, tumor diameter and TB. The sum of three influencing factors was presented on the total point axis, and a vertical line was also drawn downward to the the probability of MVI. (B) The calibration curves of nomogram model prediction in HCC patients. The X-axis showed the predicted survival. The Y-axis showed the actual survival. The solid line indicated the performance of the developed nomogram model.
The original Article has been corrected.
Author information
Authors and Affiliations
Corresponding authors
Rights and permissions
Open Access This article is licensed under a Creative Commons Attribution 4.0 International License, which permits use, sharing, adaptation, distribution and reproduction in any medium or format, as long as you give appropriate credit to the original author(s) and the source, provide a link to the Creative Commons licence, and indicate if changes were made. The images or other third party material in this article are included in the article's Creative Commons licence, unless indicated otherwise in a credit line to the material. If material is not included in the article's Creative Commons licence and your intended use is not permitted by statutory regulation or exceeds the permitted use, you will need to obtain permission directly from the copyright holder. To view a copy of this licence, visit http://creativecommons.org/licenses/by/4.0/.
About this article
Cite this article
Mao, S., Yu, X., Yang, Y. et al. Author Correction: Preoperative nomogram for microvascular invasion prediction based on clinical database in hepatocellular carcinoma. Sci Rep 11, 20047 (2021). https://doi.org/10.1038/s41598-021-99553-w
Published:
Version of record:
DOI: https://doi.org/10.1038/s41598-021-99553-w
