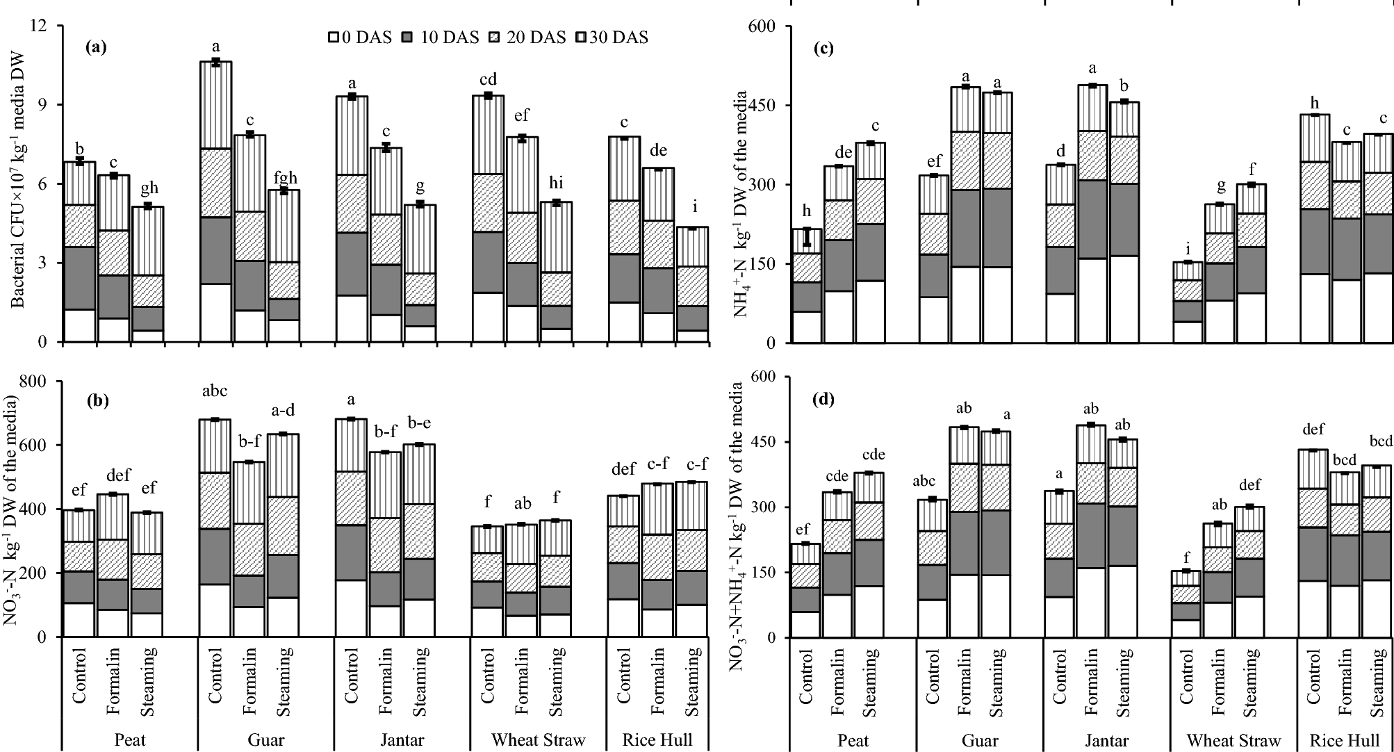
Figure 2

Effect of sanitized media on: (a) relative abundance of nitrifying bacteria over the time, (b) NO3−–N mg kg−1 media, (c) NH4+–N mg kg−1 media and (d) NO3−–N + NH4+–N mg kg−1 media over the time. All the values are means ± S.E of three replicates, whereas case letters indicate significant differences among the treatments at p ≤ 0.05 level. All the composts used in greenhouse experiment were established at 10% AFP. DAS = Days were after sanitation.