Abstract
Nutrient disorder and presence of disease-causing agents in soilless media negatively influence the growth of muskmelon. To combat these issues, use of environmentally-friendly sanitation techniques is crucial for increased crop productivity. The study was conducted under greenhouse and field conditions to investigate the effect of two different sanitation techniques: steaming and formalin fumigation on various media’s characteristics and their impact on muskmelon yield. Media: jantar, guar, wheat straw and rice hull and peat moss of 10% air-filled porosity and sanitized with formalin and steaming. Steaming of guar, jantar, and wheat straw increased the phosphorus (P) and potassium (K) concentrations by 13.80–14.86% and 6.22–8.45% over formalin fumigation. Likewise, P and K concentrations in muskmelon were higher under steaming. Steaming significantly inhibited the survival of Fusarium wilt sp. melonis, root knot nematode sp. meloidogyne and nitrifying bacteria in media than formalin fumigation. In conclusion, steaming decreased the prevalence of nitrifying bacteria and pathogens which thus improved the NO3−–N:NH4+–N ratios, P and K nutritional balance both in the media and muskmelon transplants. Hence, steaming as an environment-friendly approach is recommended for soilless media. Further, optimization of steaming for various composts with different crops needs to be investigated with steaming teachnique.
Similar content being viewed by others
Introduction
Plant based-media have a great potential as an alternative to peat moss. It may limit the use of soils and reduce the fertilizer cost for transplant growth1. Farmers can also earn an additional income by marketing their own potting media2. However, characteristics i.e. air-filled porosity (AFP) of the media are of major concern. Generally, AFP ranges 10–30% in the media based on different particles sizes3,4,5,6.
After establishing AFP, sanitation techniques or approaches are mandatory for maintaining of the composition and nutrient balance in potting media. Sanitation has been known to alter the composition of composts and may better respond to the plant’s specific requirements and increased nutrient release, thereby improving the growth, yield, and food quality7,8. In addition, soil sanitation with methyl bromide, chloropicrin and steaming in pot culture improved the nitrogen dynamics and beneficial microbial biomass9 and reduced the pest attack10. Similarly, sanitation of soil using fumigants has been implicated with reduced pathogens, replants disease and enhanced the peach growth11.
Chemicals may also reduce the severity of both soil and seed-borne diseases12. For instance, soil fumigation with metam sodium decreased the potato scab by 98%13. Ammonia gas fumigation in the cucumber field suppressed the harmful plant pathogen causing Fusarium wilt disease and enhanced the yield14. Likewise, dimethyl sulphide was an effective soil fumigant against nematodes15. Other than chemicals, steam disinfection16, soil solarization17, and biochar application18 are effective. Disinfection techniques kills nematodes and pathogens, however may harm beneficial microbes and have negative impacts on the plant growth and development19. In addition, peat alternatives and sanitation techniques should fulfill media’s health requirements20.
Agricultural wastes must be considered as an attractive source for making value-added products in order to address food security challenge12,21. In this regard, guar, jantar, wheat straw and rice hull are abundant agricultural wastes that can be utilized and processed through composting. Guar and jantar being leguminous in nature, have low nutrient requirements for their production, commercially produced and may be utilized for N source of fertilization22.
Muskmelon is an important vegetable crop from Cucurbitaceae family cultivated throughout the world23,24. Additionally, it is a short duration crop and can respond quickly to the nutrient supply while raising muskmelon seedlings in the composts25,26. There is a need to ascertain which type of sanitation is suitable for particular media and growth of transplants. Although different sanitation methods of the media have been reported, very little is known about surviving ability of pathogens, nitrifying bacteria, nitrification inhibition and nutrient mineralization in media-plant systems. We hypothesized that steam sanitation of the media not only kills the population of nitrifying bacteria and disease-causing pathogens but also balances and increases nutrients availability to the plants than formalin fumigation. As a result, competition between the plants and pathogens is strongly inhibited for nutrient uptake. The present study was designed to assess; (1) surviving ability of nitrifying bacteria and other pathogens under the influence of steaming and formalin fumigation of the media, (2) characterization of the composts under the influence of specific sanitation technique for their nutrient release potential and improving the growth and yield of muskmelon.
Results
Germination, mortality and muskmelon yield
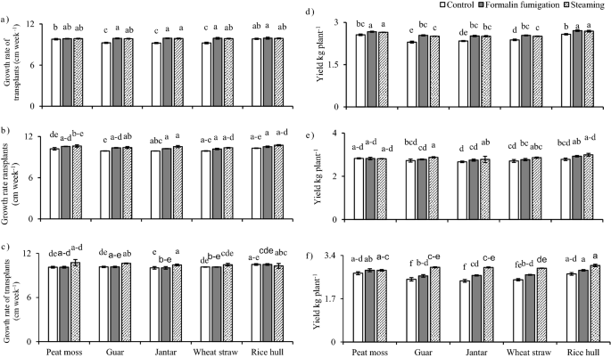
Interactive effects of media and sanitation techniques were significant for plant growth traits like seed germination, root length, leaf chlorophyll contents, number of leaves, leaf area, stem thickness and shoot fresh weights (Table 1). The generalized ANOVA exhibited significance (F-value) for root length (29.37), no. of leaves per seedling (468.69), leaf area (6.94) and shoot fresh weight (3.49) at p ≤ 0.05, 0.01 and 0.001 levels. Overall, steaming of composts performed better for growth rates and yield among sanitation treatments followed by formalin fumigation and unsanitized control (lowest yield). Rice hull showed the best growth and yield among composts (Fig. 1a–c).
Effect of composts and sanitation techniques on: (a) growth rate (cm week−1) for site 1; (b) growth rate (cm week−1) for site 2; (c) Growth rate (cm week−1) for site 3; (d) yield (kg plant−1) for site 1; (e) yield (kg plant−1) for site 2, (f) yield (kg plant−1) for site 3 of muskmelon. All the values are means ± S.E of three replicates, whereas case letters indicate significant differences among the treatments at p ≤ 0.05 level.
Similar to growth, muskmelon yield was positively influenced by steaming of the composted media (Fig. 1d–f). Muskmelon transplants grown under rice hull compost had maximum yield (3.50–3.25 kg plant−1). At all sites, all the media under the influence of steaming increased the yield plant−1 than transplants grown in media receiving formalin fumigation.
Establishing AFP of the composts
Results of the present study revealed that particle sizes greatly influenced the AFPs of the media (Tables S1 and S2). Relative proportions of particles of 2–3.3 mm and < 2 mm were associated with AFPs of guar (R2 = 0.94), jantar (R2 = 0.83) and wheat straw (R2 = 0.91). In the case of rice hull compost, relationship between varying proportions of particles size of 1–2 mm blended with 0.5–1 mm and AFPs was highly significant (R2 = 0.88).
Physicochemical properties of the sanitized media
Electrical conductivity (EC) and pH were not significantly influenced by the sanitation techniques, but remained in the suitable range for the growth of muskmelon (Table S3). Although all the media were of same AFP levels, water holding capacity (WHC) of the composts varied.
Population of nitrifying bacteria and nitrogen transformation in the media and muskmelon transplants
Sanitation reduced the population of nitrifying bacteria in the media at 0 and 10 d when compared with the control and fumigation, respectively. Nitrifying bacteria got recovered after 20 and 30 d of sanitation, however, population of these bacteria was high 30 d after sanitation of the media (Fig. 2a). In general, steaming sanitation had lower population of nitrifying bacteria than formalin fumigation.
Effect of sanitized media on: (a) relative abundance of nitrifying bacteria over the time, (b) NO3−–N mg kg−1 media, (c) NH4+–N mg kg−1 media and (d) NO3−–N + NH4+–N mg kg−1 media over the time. All the values are means ± S.E of three replicates, whereas case letters indicate significant differences among the treatments at p ≤ 0.05 level. All the composts used in greenhouse experiment were established at 10% AFP. DAS = Days were after sanitation.
Nitrate (NO3−–N) concentrations in all the steam sanitized media except peat moss at 0 and 10 d were increased over formalin fumigated (Fig. 2b). Similarly, ammonium (NH4+–N) concentrations were increased by steaming of guar and rice hull than formalin fumigation (Fig. 2c). Steaming of the media increased the NO3−–N concentrations at 20 d and 30 d as compared to formalin fumigation. In contrast to NO3−–N, NH4+–N concentrations in the media after 20 d and 30 d of sanitation varied largely among the composts. Moreover, NO3−–N + NH4+–N in concentrations in the steam sanitized media were higher than that of formalin-fumigation (Fig. 2d). Nitrate–N and NH4+–N concentrations were accumulated more in muskmelon transplants which were grown in sanitized media (Fig. 3).
Inorganic-N concentrations: NO3−–N and NH4+–N concentrations in muskmelon transplants as influenced by sanitation techniques. All the values are means ± S.E of three replicates, whereas case letters indicate significant differences among the treatments at p ≤ 0.05 level.
Nutrient concentrations of the media and muskmelon transplants as influenced by sanitation
Similar to N-forms, total N concentrations in the steam sanitized media were increased (Fig. 4a). Steam sanitized media increased the P concentrations of guar, jantar and wheat straw by 14.86%, 13.80% and 14.24% greater as compared to the formalin fumigation (Fig. 4b). Similarly, K concentrations in steam sanitized guar, jantar, and wheat straw composted media were increased by 6.22%, 7.54% and 8.45% when compared with the formalin fumigation (Fig. 4c).
Relative concentrations of nutrients in the media and muskmelon seedlings under different sanitation techniques. Concentrations of various nutrients: (a) total N; (b) P; (c) K in the media; (d) N; (e) P and (f) K in muskmelons transplants have been represented. All the values are means ± S.E of three replicates, whereas case letters indicate significant differences among the treatments at p ≤ 0.05 level.
Steaming increased the P concentrations in muskmelon transplants grown under peat, guar, jantar, wheat straw, rice hull composted media by 9.97%, 13.03%, 13.59%, 17.25% and 3.25% as compared to formalin fumigation (Fig. 4). Similarly, K concentrations in muskmelon transplants from steam sanitized peat, guar, jantar, wheat straw and rice hull media were 9.62%, 4.32%, 2.61%, 6.82% and 5.26% higher than the transplants received formalin fumigation (Fig. 4).
Prevalence of root knot nematodes and Fusarium wilt
Between the two sanitation techniques, steaming significantly reduced the disease severity of root knot nematodes and Fusarium wilt (Fig. 5 and Table 3). Moreover, steaming sanitation inhibited the population of disease-causing agents in all the media.
Comparative effect of the composts and sanitation techniques on root knot nematode disease severity (a) site 1; (b) site 2; (c) site 3 and Fusarium wilt disease (%), (d) site 1; (e) site 2; (f) site 3. All the values are means ± S.E of three replicates, whereas case letters indicate significant differences among the treatments at p ≤ 0.05 level.
Discussion
Seed germination and root length are the foremost indicators contributing to plant health and survival. In the present study, higher germination% in the rice hull compost was probably due to non-woody nature of the compost which thus decomposed when sanitized and enhanced seed germination. Rice hull compost provides optimal concentrations of N, P, K and additional supplements like Si, which thus improve the plant growth and development27. Moreover, the increase in seed germination and root length of steam sanitized media over their corresponding controls was correlated with the increased nutrient availability28. Steaming of the media probably influenced the C:N ratio of the media and increased NO3−–N availability to muskmelon seedlings. The increased root length and germination rate of muskmlon in the sanitized media suggest that these attributes determine plant survival.
Physical properties of the media are generally influenced by particle sizes and AFP of the composts, which thus contribute to plant growth and development. In the present study, suitable particle sizes were selected for the establishment of 10% AFP. These particles helped in holding moisture as small particles hold more water than the large particles. Moisture retention thus enhanced the germination and sustained the pH and EC in acceptable ranges28. Physical properties of the media contributed a lot in enhancing germination of tomato29. Since bulk density of the media is dependent on AFPs, thermal conductivity could be influenced differently30 and may affect the plant growth. This is well supported by the findings of31 who reported a differential convection of heat at various saturation and moisture levels. Penetration of steam through media is easier and higher in comparison to fumigants or dry heating32. Additionally, microbial communities are affected by physical properties of the media. In the present study, increased WHC by the composts helped in the promotion of plant growth and development, whereas sanitation of the media influenced the population of nitrifying bacteria and inhibited pathogen attack on muskmelon. In general, nitrifying bacteria contribute significantly to N transformation and nitrification33,34. Soil sterilization resulted in re-colonization of healthier microorganisms in the rhizosphere35. Recurrent drying and wetting largely affects the microbial biomass36. Similarly, warming of temperate forest soil altered the microbial community functioning37.
The reduction in nitrifying bacterial community under steaming inhibited the nitrification potential of the media at 0 and 10 d intervals and maintained optimal NO3−–N:NH4+–N ratios in muskmelon transplants. Since plant nutrient requirements, especially of N are very low at seedling stage, muskmelon growth in the present study was not affected rather synchronized with the needs of N of transplants at early stages. The increase in NO3−–N at 20 and 30 d of sanitation were resulted due to recovery of nitrifying bacteria, which thus enhanced the nitrification of NH4+–N to NO3−–N. The increase in NO3−–N at 20 and 30 d of sanitation enhanced the growth of muskmelon seedlings. This implies that crop NO3−–N requirements were high than NH4+–N. Previous studies exhibited that NH4+–N inhibited the maize growth, whereas the elevated levels of NO3−–N improved the growth of maize. Therefore, suitable ratios of both N-forms are necessary for the optimum plant growth, otherwise NH4+–N cause toxicity in the plants. In the present study, NO3−–N:NH4+–N ratio was closely adjusted to optimal (2:1) during crop growth cycle to reveal the effect of steaming and formalin fumigation. However, best plants growth was observed at 75:25 ratio of NO3−–N to NH4+–N38. These differences possibly resulted due to variations in crop genotypes, growth conditions, and growth medium.
The increase in nutrient uptake by muskmelon seedlings in sanitized media was resulted due to mineralization potential and WHC of the media. Since root lengths of muskmelon seedlings were increased in sanitized media, these interacted with the mineralized nutrient pool and absorbed water. Higher acquisition of K by muskmelon seedlings was achieved possibly due to competition between K and NH4+–N at root interface. This has been reported that K uptake was increased with the increase in NH4+–N39. In view of competition mechanism, anion like NO3−–N favored in PO43− accumulation in muskmelon seedlings. In the present study, suitable NO3−–N:NH4+–N ratio synergistically contributed to the uptake of P. In another study, suitable NO3−–N:NH4+–N ratio enhanced P uptake by maize40. In addition, N:P ratios influence the fungi, bacterial colonization, availability and uptake of nutrients41.
In spite of this, transplant shock under field conditions is obvious. Preventing transplants from shock, pathogenic attack and soil borne disease are major challenges in recent years. In the present study, media acted as bio-fumigants which reduced the widely distributed plants diseases like Fusarium wilt and pathogens like nematodes. Moreover, steaming of the media eradicated root nematode disease and Fusarium wilt more than formalin fumigation possibly due to increased NO3−–N uptake which in turn provided resistance against pathogenic attack and transplant shock. Several media alternatives like vinegar residue and spent coffee increased the resistance in plants against Fusarium wilt42 and enhanced the growth of basil and tomato43. In the present study, sanitation-induced effects on transplants growth persisted after transplantation and improved the growth of transplants under field conditions. The post-transplantation improvement in growth rate and yield of muskmelons was subjected to beneficial interaction effect of sanitation with guar and jantar and wheat straw media. Microbiome changes in rhizosphere led to decrease in root knot nematodes44. Fumigation with ammonium biocarbonate and organic fertilizer, suppressed the Fusarium wilt to 12% in watermelon and enhanced the yield45. Treating of plug trays at 65 °C for 60 min manifested in the reduction of phytophathora46. In the present study, steaming provided resistance in the muskmelon transplants against root knot nematodes and Fusarium wilt, thereby improved the growth and yield.
Conclusions
Steaming sanitation decreased the prevalence of nitrifying bacteria and inhibited nitrification in steaming thus improved the NO3−–N:NH4+–N ratios, P and K nutritional balance both in the media and muskmelon transplants than formalin fumigation. Additionally, steaming reduced pathogens and diseases in plants thus improved muskmelon growth and yield more than formalin fumigation. Based on our findings, steaming being a non-chemical and environment-friendly approach is recommended for soilless media. Further, optimization of steaming for various composts to use as media for various crops needs to be investigated with steaming technique.
Material and methods
Experimentation, climatic conditions and determination of disease severity
Muskmelon (Cucumis melo L. cv. Melon) nursery was raised in plug trays which contained all the media either sanitized or not. There were different plug trays for each of the media: wheat straw, guar, jantar, and rice hull and sanitation techniques: steaming and formalin. One seed in each hole of the plug trays was sown for 30 d. Germination percentage, mortality, seedling height, root length, number of true leaves per seedling and seedlings fresh weights were recorded.
Afterwards, seedlings were transplanted in three different fields located in Tehsil Mailsi, District Vehari, Punajb, Pakistan. Before transplantation, surface soil samples (0–15 cm depth) were collected for physico-chemical analysis (Table 2). Soils were prepared by conventional tillage practices and chemical fertilizers i.e. NPK were applied once at the time sowing from their sources: urea, di-ammonium phosphate (DAP), and sulphate of potash (SOP) at the rate of 200 kg N, 150 kg P2O5, and 110 kg K2O ha−1, respectively. The dimensions of the beds and furrows were: 150 cm wide × 60 cm wide, whereas 14,680 transplants ha−1 were maintained. All the cultural and management practices were implemented throughout the experiment.
Plants received natural sunlight and other climatic conditions of the study area are: mean day/night temperature 32 °C/24 °C with 13 h photoperiod and 51–52% relative humidity.
Muskmelon was grown in the fields till maturity or 105 d, whereas symptomatic plants were randomly selected for the evaluation of nematode disease severity47 and Fusarium wilt48 during whole experiment. Muskmelon yield plant−1 was measured at harvesting.
Preparation of composts and establishing required AFPs and sanitation treatments
Crop residues like wheat straw, jantar, guar and rice hull were subjected to composting by pit method49, whereas peat moss (Peltracom N.V., Belgium) was used as a reference material. Particles of sizes > 5 mm, 3.3–5 mm, 2–3.3 mm, < 2 mm, 2–1 mm, 1–0.5 mm and < 0.5 mm were separated passing through sieves of various sizes viz. 0.5, 1, 2, 3.3, and 5.0 mm. The mixes (substrates) were sequentially prepared with different AFPs (Tables S1 and S2). The required AFPs of the substrates were determined employing CEN standard50. The substrates of 10% AFPs and peat moss were used as controls and were sanitized with formalin at the rate of 2 ml l−1 or steaming at 60 °C for 30 min.
Determination of physic-chemical properties and fiber contents of the composts
Physico-chemical properties of the potting media like water holding capacity (WHC), bulk density and shrinkage percentage were determined50 (Table S3). Fiber contents of the substrates were separated by manual shaking in a container and their volume was quantified.
Determination root knot nematode sp. meloidogyne and Fusarium wilt sp. melonis population
Number of second stage juveniles (J2s) of root knot nematodes (Meloidogne sp.) were determined using hemocytometer and expressed as number of juveniles (J2s) root knot nematodes kg−1 of the media51 (Table 3). Similarly, spore farming units of F. oxysporium sp. melonis were quantified in the suspensions and serial dilutions52 (Table 3).
Determination of nitrifying bacteria in the composts
Composts samples were collected and brought to the laboratory under sterile conditions after 0, 10, 20 and 30 d (harvest) and abundance of nitrifying bacteria (CFUs) were determined by plating in the medium having chemical composition for all nitrifying bacteria53. Briefly, 1 g of the media was mixed with 30 ml using sterile water and serial dilutions of 10−1 to 10−5 suspensions were spread on agar media.
Determination of nutrient concentrations in the composts and muskmelon seedlings
For the determination of nutrient concentrations, extracts from the media were collected by shaking 1:5 (w/v) at a speed of 150 rpm for 30 min and used for the measurements of NPK by Kjeldahl apparatus, spectrophotometer and flame photometer, respectively. For the purpose of NO−3–N and NH+4–N concentrations, composts mixes were extracted in 2 M KCl for one hour at a speed of 150 rpm and collected aliquots were used to determine NO−3–N and NH+4–N by steam distillation54. Likewise, nutrients concentrations like total N, NO−3–N, NH+4–N, P, and K in muskmelon transplants were measured after digesting plant materials in acid digestion mixture HNO3:HClO4 (4:1 v/v).
Experimental design and statistical analyses
The experiment followed split plot design. In general, there were three replications in each treatment. One-way ANOVA was obtained for statistical evaluation of AFPs of different mixes, whereas two-way ANOVA was used for the interpretation of second stage juveniles (J2s) of disease-causing agents and mortality rate and muskmelon using Statistix 8.1 software. Treatment means of the yield data were compared according to Tukey’s post-hoc test. Generalized ANOVA was performed using SAS PROC Generalized Mixed Model (GLIMMAX) for analyses of the seedlings data. Since the data of variable germination was in the units of percent, modelling was employed by specifying the beta-binomial distribution (DIST = BETA). Data of root length, seedlings height, stem diameter, leaf area, and fresh weight variables were checked for normal distribution (DIST = LOGN). For these variables, standard error was merely usable on the natural log scale, hence estimates of the means are described with 95% confidence limits. Based on the fit statistics, (shifted) t distribution was found as suitable for model of the data of number of true leaves per seedling. Moreover, germination% and other seedlings growth attributes were modeled using class variables: compost type, sanitation type, and their interaction (compost x sanitation). Scheffe's adjustments were made for multiple comparisons among the treatments.
Ethics approval and consent to participate
We all declare that manuscripts reporting studies do not involve any human participants, human data, or human tissue. So, it is not applicable.
Complies with international, national and/or institutional guidelines
Experimental research and field studies on plants (either cultivated or wild), comply with relevant institutional, national, and international guidelines and legislation.
References
Zhong, X. Z. et al. Comparative study of composting the solid fraction of dairy manure with or without bulking material: Performance and microbial community dynamics. Bioresour. Technol. 247, 443–452 (2018).
Sharma, D., Yadav, K. D. & Kumar, S. Biotransformation of flower waste composting: Optimization of waste combinations using response surface methodology. Bioresour. Technol. 270, 198–207 (2018).
Kaudal, B. B., Aponte, C. & Brodie, G. Biochar from biosolids microwaved-pyrolysis: Characteristics and potential for use as growing media amendment. J. Anal. Appl. Pyrol. 130, 181–189 (2018).
Khandan-Mirkohi, A. & Pirgazi, R. The effect of mineral fractions on physical and phosphorus-related chemical properties of peat-based substrates for pot plants. J. Plant Nutr. 42, 1496–1504 (2019).
Najarian, A. & Souri, M. K. Influence of sugar cane compost as potting media on vegetative growth, and some biochemical parameters of Pelargonium × hortorum. J. Plant Nutr. 43, 2680–2684 (2020).
Ozdemir, S., Yetilmezsoy, K., Dede, G. & Sazak, M. Application of solarization for sanitization of sewage sludge compost. J. King Saud Univ. Sci. 32, 443–449 (2020).
Moreno-Velandia, C. A., Izquierdo-García, L. F., Ongena, M., Kloepper, J. W. & Cotes, A. M. Soil sterilization, pathogen and antagonist concentration affect biological control of Fusarium wilt of cape gooseberry by Bacillus velezensis Bs006. Plant Soil 435, 39–55 (2019).
Yamamoto, T., Ultra-Jr, V. U., Tanaka, S., Sakurai, K. & Iwasaki, K. Effects of methyl bromide fumigation, chloropicrin fumigation and steam sterilization on soil nitrogen dynamics and microbial properties in a pot culture experiment. Soil Sci. Plant Nutr. 54, 886–894 (2008).
Samtani, J. B. et al. Effect of steam and solarization treatments on pest control, strawberry yield, and economic returns relative to methyl bromide fumigation. HortScience 47, 64–70 (2012).
Thakur, K. K. & Sharma, D. P. Pot-culture studies on soil and leaf nutrients status of peach in response to different soil management techniques for preventing replant disease. Pharm. Innov. J. 7, 1046–1053 (2018).
Souri, M. K. & Hatamian, M. Aminochelates in plant nutrition: A review. J. Plant Nutr. 42, 67–78 (2019).
Tsror, L., Erlich, O., Hazanovsky, M. & Lebiush, S. Control of potato powdery scab (Spongospora subterranean) in Israel with chloropicrin, metam sodium or fluazinum. Crop Prot. 124, 104836 (2019).
Zhao, J. et al. Suppression of Fusarium wilt of cucumber by ammonia gas fumigation via reduction of Fusarium population in the field. Sci. Rep. 7, 43103 (2017).
Yan, D. et al. Dimethyl disulfide (DMDS) as an effective soil fumigant against nematodes in China. PLoS ONE 14, e0224456 (2019).
Huh, D. A. et al. Optimizing operating parameters of high-temperature steam for disinfecting total nematodes and bacteria in soil: Application of the Box–Behnken design. Int. J. Environ. Res. Public Health 17, 5029 (2020).
Yao, Y. et al. Efficiency of different solarization-based ecological soil treatments on the control of Fusarium wilt and their impacts on the soil microbial community. Appl. Soil Ecol. 108, 341–351 (2016).
George, C., Kohler, J. & Rillig, M. C. Biochars reduce infection rates of the root-lesion nematode Pratylenchus penetrans and associated biomass loss in carrot. Soil Biol. Biochem. 95, 11–18 (2016).
Stouvenakers, G., Dapprich, P., Massart, S. & Jijakli, M. H. Plant pathogens and control strategies in aquaponics. Aquaponics Food Prod. Syst. 22, 353 (2019).
Vandecasteele, B. et al. Plant fibers for renewable growing media: Potential of defibration, acidification or inoculation with biocontrol fungi to reduce the N drawdown and plant pathogens. J. Clean. Prod. 203, 1143–1154 (2018).
Shooshtari, F. Z., Souri, M. K., Hasandokht, M. R. & Jari, S. K. Glycine mitigates fertilizer requirements of agricultural crops: Case study with cucumber as a high fertilizer demanding crop. Chem. Biol. Technol. Agric. 7, 1–10 (2020).
Taylor, B. N. & Menge, D. N. Light regulates tropical symbiotic nitrogen fixation more strongly than soil nitrogen. Nat. Plants 4, 655–661 (2018).
Pourranjbari Saghaiesh, S., Souri, M. K. & Moghaddam, M. Characterization of nutrients uptake and enzymes activity in Khatouni melon (Cucumis melo var. inodorus) seedlings under different concentrations of nitrogen, potassium and phosphorus of nutrient solution. J. Plant Nutr. 42, 178–185 (2019).
Saghaiesh, S. P. & Souri, M. K. Root growth characteristics of Khatouni melon seedlings as affected by potassium nutrition. Acta Sci. Pol. Hortorum 17, 191–198 (2018).
Gruda, N. S. Increasing sustainability of growing media constituents and stand-alone substrates in soilless culture systems. Agronomy 9, 298 (2019).
Pourranjbari Saghaiesh, S., Souri, M. K. & Moghaddam, M. Effects of different magnesium levels on some morphophysiological characteristics and nutrient elements uptake in Khatouni melons (Cucumis melo var. inodorus). J. Plant Nutr. 42, 27–39 (2019).
Mustafa, G. et al. Comparison of various potting media for their influence on nutrients supply, germination, and growth of muskmelon (Cucumis melo L.) seedlings. Compost Sci. Util. 24, 61–71. https://doi.org/10.1080/1065657x.2015.1064047 (2015).
Wang, Y., Xiao, X. & Chen, B. Biochar impacts on soil silicon dissolution kinetics and their interaction mechanisms. Sci. Rep. 8, 1–1 (2018).
Mustafa, G. et al. Guar, jantar, wheat straw, and rice hull composts as replacements for peat in muskmelon transplant production. Int. J. Recycl. Org. Waste Agric. 5, 323–332 (2016).
Nesse, A. S., Sogn, T., Børresen, T. & Foereid, B. Peat replacement in horticultural growth media: The adequacy of coir, paper sludge and biogas digestate as growth medium constituents for tomato (Solanum lycopersicum L.) and lettuce (Lactuca sativa L.). Acta Agric. Scand. Soil Plant Sci. 69, 287–294 (2019).
Wallen, B. M., Smits, K. M., Sakaki, T., Howington, S. E. & Deepagoda, T. K. K. C. Thermal conductivity of binary sand mixtures evaluated through full water content range. Soil Sci. Soc. Am. J. 80, 592–603 (2016).
Rubio-Asensio, J. S. & Bloom, A. J. Inorganic nitrogen form: A major player in wheat and Arabidopsis responses to elevated CO2. J. Exp. Bot. 68, 2611–2625 (2017).
Hansen, J. D., Johnson, J. A. & Winter, D. A. History and use of heat in pest control: A review. Int. J. Pest Manag. 57, 267–289 (2011).
Souri, M. K. Effectiveness of chloride compared to 3, 4-dimethylpyrazole phosphate on nitrification inhibition in soil. Commun. Soil Sci. Plant Anal. 41, 1769–1778 (2010).
Souri, M. K. Plants adaptation to control nitrification process in tropical region; case study with Acrocomia totai and Brachiaria humidicola plants. Open Agric. 1, 144–150 (2016).
Li, K. et al. Soil sterilization leads to re-colonization of a healthier rhizosphere microbiome. Rhizosphere 12, 100176 (2019).
Sawada, K., Funakawa, S. & Kosaki, T. Effect of repeated drying–rewetting cycles on microbial biomass carbon in soils with different climatic histories. Appl. Soil Ecol. 120, 1–7 (2017).
Liu, D. et al. Microbial functionality as affected by experimental warming of a temperate mountain forest soil—A metaproteomics survey. Appl. Soil Ecol. 117, 196–202 (2017).
Barreto, F. et al. Accompanying ions of ammonium sources and nitrate: Ammonium ratios in tomato plants. J. Soil Sci. Plant Nutr. 181, 382–387 (2018).
Coskun, D., Britto, D. T. & Kronzucker, H. J. The nitrogen–potassium intersection: Membranes, metabolism, and mechanism. Plant Cell Environ. 40, 2029–2041 (2017).
Pedersen, I. F., Sørensen, P., Rasmussen, J., Withers, P. J. & Rubæk, G. H. Fertilizer ammonium: Nitrate ratios determine phosphorus uptake by young maize plants. J. Soil Sci. Plant Nutr. 182, 541–551 (2019).
Güsewell, S. & Gessner, M. O. N:P ratios influence litter decomposition and colonization by fungi and bacteria in microcosms. Funct. Ecol. 23, 211–219 (2009).
Shi, L. et al. Vinegar residue compost as a growth substrate enhances cucumber resistance against the Fusarium wilt pathogen Fusarium oxysporum by regulating physiological and biochemical responses. Environ. Sci. Pollut. Res. 23, 18277–18287 (2016).
Ronga, D., Pane, C., Zaccardelli, M. & Pecchioni, N. Use of spent coffee ground compost in peat-based growing media for the production of basil and tomato potting plants. Commun. Soil Sci. Plant Nutr. 47, 356–368 (2016).
Topalović, O., Elhady, A., Hallmann, J., Richert-Pöggeler, K. R. & Heuer, H. Bacteria isolated from the cuticle of plant-parasitic nematodes attached to and antagonized the root-knot nematode Meloidogyne hapla. Sci. Rep. 9, 1–13 (2019).
Xue, C. et al. Fumigation coupled with bio-organic fertilizer for the suppression of watermelon Fusarium wilt disease re-shapes the soil microbiome. Appl. Soil Ecol. 140, 49–56 (2019).
Simamora, A. V. et al. Phytophthora contamination in a nursery and its potential dispersal into the natural environment. Plant Dis. 102, 132–139 (2018).
Zeck, W. M. Rating scheme for field evaluation of root-knot nematode infestations. Pflanzenschutz Nachrichten 141–144 (1971).
Liu, L., Kloepper, J. W. & Tuzun, S. Induction of systemic resistance in cucumber against Fusarium wilt by plant growth-promoting rhizobacteria. Phytopathology 85, 695–698 (1995).
Agromisa, I. M. & Tersmette, T. The preparation and use of compost. In Agromisa, Vol. 27 (2005).
Comitte’ Europeen de Normalisation. Soil Improvers and Growing Media, Determination of pH. CEN/TC 223. 9 (European Committee for Standardization, 1999).
Goodey, T. Soil and freshwater nematodes. In (ed. Goodey, T.) 1–544 (Methuen & Co Ltd. and John Wiley & Sons, Inc., 1963).
Kumar, V. & McConchie, R. Involvement of antifungal compounds from rockmelon fruit rind (Cucumis melo L.) in resistance against the fruit rot pathogen Fusarium oxysporum f. sp. melonis. Eur. J. Plant Pathol. 126, 531–540 (2010).
Alexander, M. A. & Clark, F. E. Nitrifying bacteria. In Methods of Soil Analysis: Part 2 Chemical and Microbiological Properties, Vol. 9, 1477–1483 (1965).
Keeney, D. R. Nitrogen-inorganic form. In Methods of Soil Analysis (Part 2): Chemical and Microbiological Properties 1159–1643 (American Society of Agronomy, 1982).
Acknowledgements
This work was funded by Higher Education Commission (HEC) of Pakistan (HEC/112/26885-2AV1-173).
Author information
Authors and Affiliations
Contributions
Conceptualization, G.M., M.A.A. and S.M. methodology, G.M. M.A., M.F.Q. and A.U.R. software, T.S., A.H.K., S.M. and G.M. validation, G.M., S.A., N.A., S.M. and S.M.; formal analysis, G.M., M.A.A., D.S., T.S., S.M.; investigation, G.M. and S.M.; resources, M.A.A., G.M., N.A. and M.F.Q.; data curation, G.M. and M.A.A.; writing-original draft preparation, G.M., S.M., S.M., M.A.K., S.F., R.D. and S.A.; writing-review and editing, S.M., M.A.A., G.M., S.F., R.D. and M.I. visualization, S.M. and M.A.A. supervision, M.A.A. project administration, M.A.A. funding acquisition, M.A.A. All the authors have read and approved the manuscript.
Corresponding authors
Ethics declarations
Competing interests
The authors declare no competing interests.
Additional information
Publisher's note
Springer Nature remains neutral with regard to jurisdictional claims in published maps and institutional affiliations.
Supplementary Information
Rights and permissions
Open Access This article is licensed under a Creative Commons Attribution 4.0 International License, which permits use, sharing, adaptation, distribution and reproduction in any medium or format, as long as you give appropriate credit to the original author(s) and the source, provide a link to the Creative Commons licence, and indicate if changes were made. The images or other third party material in this article are included in the article's Creative Commons licence, unless indicated otherwise in a credit line to the material. If material is not included in the article's Creative Commons licence and your intended use is not permitted by statutory regulation or exceeds the permitted use, you will need to obtain permission directly from the copyright holder. To view a copy of this licence, visit http://creativecommons.org/licenses/by/4.0/.
About this article
Cite this article
Mustafa, G., Ali, M.A., Smith, D. et al. Formalin fumigation and steaming of various composts differentially influence the nutrient release, growth and yield of muskmelon (Cucumis melo L.). Sci Rep 11, 21057 (2021). https://doi.org/10.1038/s41598-021-99692-0
Received:
Accepted:
Published:
Version of record:
DOI: https://doi.org/10.1038/s41598-021-99692-0
This article is cited by
-
Antifungal mechanism of nanosilver biosynthesized with Trichoderma longibrachiatum and its potential to control muskmelon Fusarium wilt
Scientific Reports (2024)
-
Bioaugmentation and vermicompost facilitated the hydrocarbon bioremediation: scaling up from lab to field for petroleum-contaminated soils
Environmental Science and Pollution Research (2024)
-
Nano-Fe promotes accumulation of phytoestrogens and volatile compounds in Trifolium pratense flowers
Theoretical and Experimental Plant Physiology (2023)







