Abstract
Water unavailability is an abiotic stress causing unfavourable conditions for life. Nevertheless, some animals evolved anhydrobiosis, a strategy allowing for the reversible organism dehydration and suspension of metabolism as a direct response to habitat desiccation. Anhydrobiotic animals undergo biochemical changes synthesizing bioprotectants to help combat desiccation stresses. One stress is the generation of reactive oxygen species (ROS). In this study, the eutardigrade Paramacrobiotus spatialis was used to investigate the occurrence of ROS associated with the desiccation process. We observed that the production of ROS significantly increases as a function of time spent in anhydrobiosis and represents a direct demonstration of oxidative stress in tardigrades. The degree of involvement of bioprotectants, including those combating ROS, in the P. spatialis was evaluated by perturbing their gene functions using RNA interference and assessing the successful recovery of animals after desiccation/rehydration. Targeting the glutathione peroxidase gene compromised survival during drying and rehydration, providing evidence for the role of the gene in desiccation tolerance. Targeting genes encoding glutathione reductase and catalase indicated that these molecules play roles during rehydration. Our study also confirms the involvement of aquaporins 3 and 10 during rehydration. Therefore, desiccation tolerance depends on the synergistic action of many different molecules working together.
Similar content being viewed by others
Introduction
Insufficient hydration is extremely stressful for living organisms as water is required for metabolic reactions. Nevertheless, some animals living in habitats subject to periodic or unpredictable desiccation periods have evolved a remarkable adaptive strategy called anhydrobiosis. This physiological state allows for the nearly complete dehydration of the animal’s body and cells, a reduced or suspended metabolism leading to a temporary suspension of active life processes, and finally a developmental standstill as a direct response to the desiccation of the surrounding habitat of the animals1,2,3,4. This state is reversed by the reappearance of environmental water, with the restoring of metabolism and of all features of active life, even after the permanence in a desiccated state for months to decades1,2,4,5,6. However, anhydrobiosis, as well as the time spent in a desiccated state, can still cause cellular damages, including membrane destabilization, protein and nucleic acid denaturation, metabolic dysregulation, and oxidative stress with the eventual death of organisms7,8,9,10,11,12,13,14,15,16.
To withstand stress caused by the drastic loss of body water, many anhydrobiotic animals first slow the rate of their dehydration by modifying their body in a compact structure that reduces the surface area, and consequently the evaporation rate17,18,19. Simultaneously, they undergo biochemical changes associated with the synthesis of molecules working as bioprotectants, which replace cellular water or stabilize cellular machinery13,20,21,22,23,24,25,26,27. To gain insights into anhydrobiosis and what bioprotectants help to mediate this phenomenon, tardigrades are an attractive model.
Tardigrades are hygrophilous animals that need to be surrounded by a film of water to perform active life. As a consequence, their capability to colonise terrestrial environments (e.g. moss, lichen, soil, and leaf litter) is linked to their well-known ability to enter anhydrobiosis at any stage of their life cycle, from egg to adult28. As their surroundings lose water, tardigrades lose most (> 95%) of their free and bound body water and suspend their metabolism3. The loss of water is accompanied by the invagination of the intersegmental cuticle and by the retraction of the head and legs, resulting in a compact tun-shaped body3,29,30. Anhydrobiotic (desiccated) tardigrades can withstand several physical and chemical extremes (e.g. very low and high temperature, high pressure, vacuum, organic solvents and radiations) that are far more extreme than that imposed by their natural habitats, including space conditions3,25,26,31,32,33,34,35,36. As well as in other anhydrobiotic animals, the desiccation in tardigrades is accomplished through morphological changes (tun) together with the synthesis of different bioprotectants20,21,22,24,25,26,27. These molecules include, for example, osmolytes, trehalose, antioxidants, Heat Shock Proteins (HSPs), Aquaporin Proteins (AQPs) and Intrinsically Disordered Proteins (IDPs), including the Late Embryogenesis Abundant Proteins (LEA)13,20,21,22,24,25,26,27. Trehalose, a disaccharide with high ability for water-replacement during dehydration, immobilising macromolecules and stabilizing cellular structure through vitrification has long been implicated in desiccation tolerance20,26,37. The presence and the amount of trehalose detected in tardigrades are different from species to species27, but is much lower than the one recorded in other anhydrobiotic animals that use trehalose as mechanism to reduce damages induced by desiccation1,38,39,40. Therefore, the degree of involvement of trehalose as a protective molecule in anhydrobiotic tardigrades is still debated27. Antioxidants, such as scavenging enzymes, limit oxidative stress, which appears to be one of the most deleterious damages associated with desiccation9. The depletion of water changes the ionic concentration of anhydrobiotic organisms, including tardigrades41, leading to the formation of reactive oxygen species (ROS)9,11,42,43, consisting in free radicals [e.g. superoxide anion radical (O2−), hydroxyl radical (OH·), perhydroxy radical (HO2·)] and non-radical forms [e.g. hydrogen peroxide (H2O2) and singlet oxygen (1O2)]44. Water loss therefore increases the susceptibility of biomolecules to the attack of reactive oxygen molecules, damaging proteins, membranes, and DNA9,11,13,22,27,42,43. Since aquaporins contribute to water transport through plasma membranes, some researchers have suggested that they play some role in anhydrobiosis, hypothesizing their involvement in the regulation of water loss to fine tune desiccation kinetics11,23,45,46,47. However, it remains unclear if aquaporins function in preparing anhydrobiotic animals for desiccation or play a role in rehydration.
In this paper, the eutardigrade Paramacrobiotus spatialis Guidetti et al., 2019 was selected as a model organism (Fig. 1) in light of its robust ability to survive desiccation10,48. To understand what bioprotectants might be involved in mitigating the stresses imposed by desiccation, we first sought to identify exactly what those stresses are. As mentioned above, water loss can lead to the generation of deleterious ROS, however this has never been directly tested before in tardigrades. To verify whether desiccation induces production of ROS in tardigrades, we analysed the ROS production in the coelomocytes (storage cells; Fig. 1c). Coelomocytes are round free-floating cells in the body cavity of tardigrades which act as reservoirs and transporters of lipids and glycogen49,50,51,52. The number of storage cells in a tardigrade specimen is in the range of a few hundred up to more than 1000 cells according to the species4,52,53, while their size changes along with animal life cycle including oocyte developmental in females54. Contrasting data are reported about the decline in size and number of storage cells after a period of anhydrobiosis in tardigrade species51,52,53. A decline in size of storage cells is due to the use of stored material as energy requirements to enter and exit anhydrobiosis51.
Paramacrobiotus spatialis. (a) Specimen in toto and in vivo. (b) Specimen in toto. (c) Magnification of image (a) showing storage cells in the body cavity in correspondence to the second and third pair of legs. (d) Storage cells in vivo. (e) Desiccated specimen (tun). (a,c,d) LM (PhC), (b,e) SEM. Scale bars: a = 100 µm, b = 50 µm, c, e = 20 µm, d = 10 µm. bt = buccal tube; c = claws; m = mouth; mg = midgut; g = gonad; ph = pharynx; sc = storage cells.
Next, we investigated possible roles for endogenous protectants, such as antioxidant enzymes, aquaporin proteins and the sugar trehalose, in desiccation tolerance. Genes encoding five antioxidant enzymes (catalase, superoxide dismutase, glutathione peroxidase, glutathione transferase and glutathione reductase), for two aquaporins (aquaporins 3 and 10) and for the enzyme trehalose-6-phosphate synthase were thus targeted using RNA interference (RNAi), and later the successful recover of P. spatialis specimens after desiccation was verified.
Results
Production of reactive oxygen species (ROS) in anhydrobiosis
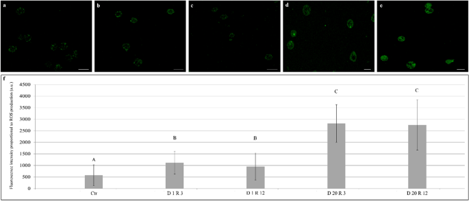
The overall level of intracellular Reactive Oxygen Species (ROS) was assessed using the fluorescent probe 2,7-dichlorodihydrofluorescein diacetate (DCFH2-DA)55,56. The ROS production in anhydrobiosis was determined measuring the intensity of the fluorescent signal emitted by storage cells of the desiccation tolerant tardigrade P. spatialis. Storage cells are particularly useful as they are numerous as well as the only cell type within the tardigrade body cavity. Storage cells are also easy to obtain and manipulate, whereas other tissues in tardigrades are more difficult to obtain and work with (Fig. 1c,d). Figure 2 shows the fluorescence signals detected respectively 3 h and 12 h after the rehydration process in tardigrade storage cells previously kept in a desiccated state for 1 day and 20 days, and in the animals kept in a hydrated state as control.
Intensity of fluorescence signal emitted by storage cells of the tardigrade Paramacrobiotus spatialis as a marker of ROS production, detected 3 h and 12 h after the rehydration process (R) in animals kept in a desiccated state (D) for 1 day and 20 days, using the fluorescent probe 2,7-dichlorodihydrofluorescein diacetate (DCFH2-DA). (a) Hydrated animals (control). (b) Animals kept in a desiccated state for 1 day (3 h after rehydration process). (c) Animals kept in a desiccated state for 1 day (12 h after rehydration process). (d) Animals kept in a desiccated state for 20 days (3 h after rehydration process). (e) Animals kept in a desiccated state for 20 days (12 h after rehydration process). (a–e) Scale bars = 10 µm. (f) Each column represents the mean value of the fluorescence intensity emitted by the storage cells for each experimental group. The total number (n) of measured cells is: Ctr, n = 138; D 1 R 3, n = 46; D 1 R 12, n = 78; D 20 R 3, n = 78; D 20 R 12, n = 36 (see (see Table S1). The bar on each column represents standard deviation. Different letters above each column indicate significant differences in the fluorescence signals among the different experimental conditions. a.u. = arbitrary unit. D 1 = animals kept in a desiccated state for 1 day, D 20 = animals kept in a desiccated state for 20 days, R 3 = 3 h after the rehydration process, R 12 = 12 h after the rehydration process, Ctr = control animals. The storage cells of desiccated animals always emitted an intense fluorescence signal, while those of control ones emitted a faint spotted fluorescence signal (Fig. 2). The intensity of the fluorescence signal emitted by the storage cells of desiccated animals was always significantly higher than the fluorescence intensity detected in cells of control animals (Fig. 2; Table 1; one-way ANOVA: n = 485; p < 0.001). Moreover, the intensity of the fluorescence signal was at its highest level in the coelomocytes of animals kept desiccated for 20 days, while the lowest signal was recorded in cells of tardigrades kept desiccated for 1 day (Fig. 2; Table 1).
Disruption of target genes function
RNA interference (RNAi) was used to disrupt the function of genes encoding proteins potentially involved in desiccation tolerance in the tardigrade Paramacrobiotus spatialis. RNAi has previously been characterized in tardigrades and is known to target specific gene products for destruction both in adults during desiccation and in embryos during development24,57. Similarly, it has been shown that large amounts of non-specific dsRNA (e.g. double stranded RNA targeting GFP) do not affect tardigrade survival24 nor embryo viability and development57. In this study, the eight genes targeted by RNAi were: gpx, gr, gst, cat and sod, encoding for enzymes (glutathione peroxidase, glutathione reductase, glutathione transferase, catalase, and superoxide dismutase, respectively) that counteract reactive oxygen species; tps, encoding for the enzyme trehalose-6-phosphate synthase, involved in the pathways of trehalose production; aqp 3 and aqp 10, encoding for aquaporin proteins 3 and 10, which are presumably involved in the rapid transport of water through cell membranes.
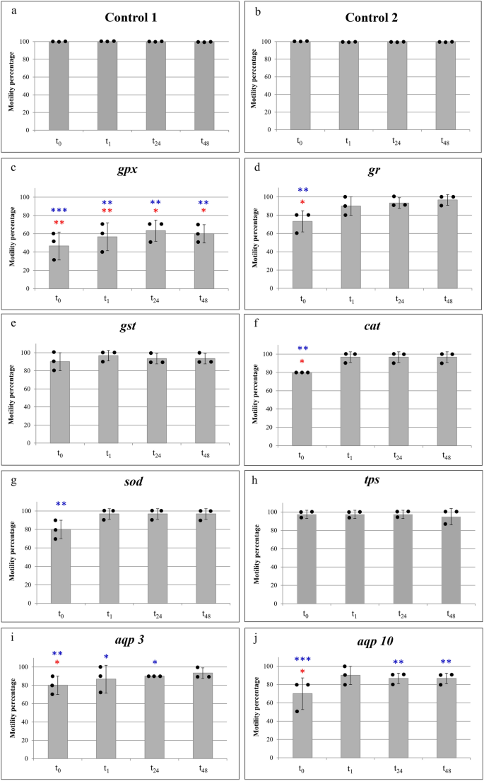
The involvement of these target genes was verified by comparing the motilities of P. spatialis animals that have exited tun belonging to three groups: 1. uninjected control animals (control 1); 2. injected with RNase free water control animals (control 2); 3. injected animals with the double stranded RNA (dsRNA) of the target gene (experimental group). The motility of the animals after a period of anhydrobiosis was evaluated by monitoring locomotion performance (i.e. coordinate movements of the body) immediately after the rehydration process (t0), 1 h (t1), 24 h (t24), and 48 h (t48) later.
Additionally, five specimens of P. spatialis were individually injected with dsRNA of each target gene, desiccated, and then rehydrated. A reverse transcriptase-polymerase chain reaction (RT-PCR) showed a marked decrease in the expression level of each target gene in comparison to DNA polymerase II (DNA pol II) used as a control gene (Fig. S1), indicating that RNA interference led to a decrease in the targeted gene’s expression level.
The assessment of motility in both control 1 (uninjected) and control 2 (water injected) animals always resulted 100% (Fig. 3a,b), since all animals are alive at each time point assayed after the rehydration process. These data demonstrate that the desiccation protocol was suitable for P. spatialis, and that the injection alone does not affect survival of the tardigrades during anhydrobiosis. On the other hand, significant differences were recorded between the motility percentages of both controls and most experimental groups (Fig. 3; Kruskal–Wallis test: number of pairwise comparisons = 132; p < 0.001). For treatments targeting antioxidant enzymes, specimens injected with dsRNA of gpx showed significantly lower motilities with respect to both types of controls at every time after the rehydration process (t0: p < 0.001; t1: p < 0.01; t24: p < 0.01; t48: p < 0.01; Fig. 3c). In animals injected with dsRNA for genes of gr, cat and sod, significant differences with respect to both types of controls were only observed between the percentages of animal motilities recorded at t0 (immediately after the rehydration process) (gr: p < 0.01; cat: p < 0.01; sod: p < 0.01; Fig. 3d,f,g). Significant differences in the motility percentages with respect to both types of controls were also evidenced at t0, t1 and t24 in animals injected with dsRNA of aqp 3 (t0: p < 0.01, t1: p < 0.05; t24: p < 0.05; Fig. 3i) and at t0, t1 and t24 in animals injected with dsRNA of aqp 10 (t0: p < 0.001, t24: p < 0.01; t48: p < 0.01; Fig. 3j).The motility percentages of animals injected with dsRNA of the gst and tps genes did not show significant differences with respect to both types of controls (uninjected and water injected) at every time after the rehydration process (Fig. 3e,h). Since RNAi knockdown of the tps gene resulted in negligible effects on the animal motilities at all times following rehydration, and since the tps dsRNA was the largest used in our study (Table S2), we consider this gene as a further control (control 3), and further evidences that the injection of large amount of dsRNA is not harmful for P. spatialis. The motility percentages of animals injected with dsRNA targeting the tps gene compared with the motility percentages of animals injected with dsRNA of other target genes shows significant differences (Table S3). These statistical differences are consistent with the scored significances of comparisons between controls (non-injected and water injected) and target genes, except for motility at t0 of animals injected with sod dsRNA, motilities at t1 and t24 of animals targeted for aqp 3 and motilities at t24 and t48 of animals targeted for aqp 10 (Fig. 3; Table S3). Therefore, only for these exceptions is it possible to presume an effect on P. spatialis motilities was due to injection of large dsRNA.
Percentages of tardigrades with motility recorded immediately after the rehydration process (t0), 1 h (t1), 24 h (t24) and 48 h (t48) later in control animals and in specimens of Paramacrobiotus spatialis injected with dsRNA of the target genes. (a) Control 1: uninjected animals. (b) Control 2: animals injected with RNase free water. Animals injected with dsRNA of: (c) gpx gene encoding glutathione peroxidase enzyme; (d) gr gene encoding glutathione reductase enzyme; (e) gst gene encoding glutathione transferase enzyme; (f) cat gene encoding catalase enzyme; (g) sod gene encoding superoxide dismutase enzyme; (h) tps gene encoding trehalose-6-phosphate synthase enzyme; (i) aqp 3 gene encoding aquaporin 3; (j) aqp 10 gene encoding aquaporin 10. Each column represents the mean value of three replicates and the bar on each column represents the standard deviation. The black dots on each column represent the values of each replicate composed of 10 specimens each. Blue asterisks above columns show significant statistical differences (Kruskal–Wallis test) with respect to control 1 and 2. Red asterisks above columns show significant statistical differences (Kruskal–Wallis test) with respect to tps gene, used as a further control (Control 3) to exclude the possibility that the injection of large amount of dsRNA is harmful for P. spatialis.
Discussion
This study provides an evaluation of oxidative stress production during desiccation in tardigrades through the direct assessment of the production of reactive oxygen species (ROS) in storage cells. In addition, this study assesses the degree of involvement of various bioprotectants in anhydrobiotic survival of tardigrades using RNA interference to perturb gene functions in Paramacrobiotus spatialis.
Storage cells are singular free-floating cells accumulating polysaccharides, lipids, and proteins49,50,58. The faint spotted fluorescence emitted by the storage cells of the control specimens of P. spatialis denotes that in metabolically active animals there is a regular, but small, production of ROS due to the standard metabolic reactions. This has been reported in all living organisms, not only related to anhydrobiosis (see França et al.9; Kranner & Birtić43; Boveris & Chance59). The storage cells of desiccated specimens of P. spatialis emitted an intense fluorescence, demonstrating that anhydrobiosis causes a significant increase in ROS production and consequently of oxidative stress.
Previous reports evaluated the oxidative stress associated with desiccation in tardigrades indirectly, by assessing the antioxidant defences mounted in response to drying in whole animals22,46, or by evaluating the ROS-damaged proteins that can accumulate as carbonylated products during the anhydrobiotic period60. Evidence of the production of free radicals (and consequently of oxidative stress) in anhydrobiosis has been found in other organisms, such as cyanobacteria (see Potts61), the yeast Saccharomyces cerevisiae (see Pereira et al.62), intertidal seaweeds (see Flores-Molina et al.63), the moss Fontinalis antipyretica (see Cruz de Carvalho et al.64) and the shrimp Marsupenaeus japonicas (see Duan et al.65).
In tardigrades, ROS production occurs both during desiccation, and while in a desiccated state. These data can explain the increase in mortality and/or in a long recovery time (i.e. time to recover active life after desiccation) measured in P. spatialis specimens after extended periods in a desiccated state10. These two phenomena are directly proportional to the time spent in a desiccated state, since molecular damages are accumulated with time because metabolism is arrested, and repair systems are not working10. Oxidative stress leads to a long recovery time and to the death of tardigrades since the animals need more time to repair oxidation damages.
The glutathione pathway, including the enzymes glutathione peroxidase, glutathione transferase and glutathione reductase, is an important antioxidant system involved in the scavenging of ROS13. In this pathway, the glutathione peroxidase and glutathione transferase act by removing hydrogen peroxide, while the glutathione reductase reduces the glutathione disulphide to glutathione9,43. Targeting a gene encoding the antioxidant enzyme glutathione peroxidase, which is induced by desiccation, compromised survival during desiccation, providing evidence for this gene’s role in tardigrade desiccation tolerance. Targeting of gpx by RNAi in the tardigrade P. spatialis resulted in a significant lower percentage of tardigrades with motility (i.e. lower survival) at every time after the rehydration process with respect to control animals kept hydrated and metabolically active (Controls 1 and 2) and with respect to animals targeted for tps (non-effective gene, Control 3). The effects on the percent motility observed in animals injected with dsRNA of gpx are enhanced by the presence of low copies of this gene in tardigrades25. A similar pattern was obtained with the knockdown of glutathione peroxidase transcripts by RNAi in the nematode Panagrolaimus superbus, which led to a decrease survival post-desiccation66. The glutathione peroxidase enzyme has a crucial role during anhydrobiosis of P. spatialis, since animals targeted for gpx do not recover their motility indicating that other antioxidant enzymes or other endogenous molecules cannot fully replace essential roles of glutathione peroxidase. The important role of this molecule in desiccation tolerance of P. spatialis extend the previous results of Rizzo et al.22, where glutathione peroxidase was one of the enzymes with the higher enzymatic activity. This enzyme is utilised to counteract ROS not only during the dehydration process, but also probably plays a vital role during the rehydration phase22 and thus the enzyme encoded by gpx is essential for tardigrade anhydrobiosis. The crucial role of glutathione peroxidase in tardigrades is in line with its role in counteracting oxidative stress caused by desiccation in other organisms: e.g. in transgenic tobacco plants67, in the larvae of the midge P. vanderplanki11, in the dauer larvae of the nematode Caenorhabditis elegans68, and other species of nematodes66,69,70.
The targeting of glutathione transferase (gst) had no effects on the motilities of injected animals at any time following rehydration. GSTs have been seen to exist in high copy number in several tardigrade species25,71, implying that P. spatialis may also have a high copy number of these genes. If this is the case, the knockdown of a single putative gene of gst might not be sufficient to perturb anhydrobiosis in this species.
The data obtained on P. spatialis specimens targeted for glutathione reductase (gr) gene indicate that this molecule plays a role in the course of rehydration. Indeed, tardigrades targeted for this gene are immobile immediately after the rehydration process (t0), but then they recover their motility (t1–t48). The gr might eliminate the ROS accumulated during desiccation, but when it is targeted the ROS production is not completely counteracted and the targeted animals need more time to recover motility. Therefore, it is possible to presume that other endogenous molecules not targeted in these specimens take on the activities made by the gr during rehydration, and therefore allow animals to recover their motilities.
Another defence counteracting the ROS toxicity involves the system made up by superoxide dismutase and catalase. The first destroys free radical superoxide converting it in H2O2 which is then reduced by catalase72. The data obtained on specimens of P. spatialis whose for catalase (cat) gene had been perturbated by RNAi indicate that this molecule plays a role in the course of rehydration. Indeed, tardigrades targeted for this gene are immobile immediately after the rehydration process (t0), but then they recover their motility (t1–t48). Since the action of catalase is similar with that of glutathione peroxidase, it is probable that in animals targeted for catalase, the glutathione peroxidase takes on its function during rehydration. In other species of tardigrades and in other desiccation tolerant animals, experiments confirm the role of this enzyme in the desiccation process to prevent oxidative stress11,47,68,73,74. An upregulation of catalase gene during anhydrobiosis was detected in the tardigrade H. exemplaris (see Yoshida et al.47), in the midges Belgica antarctica and P. vanderplanki (see Cornette & Kikawada11; Lopez-Martines et al.73) and in the nematodes Aphelenchoides fragariae and C. elegans (see Erkut et al.68; Fu et al.74). Targeting superoxide dismutase (sod) via RNAi did not negatively affect the motility percentages of injected animals at any time of rehydration. Comparing the gene repertoire of different tardigrade species, the duplication of sod genes was observed as a common characteristic of anhydrobiotic tardigrades25,71. Since P. spatialis is a good anhydrobiont10,48, it is possible that its sod genes are duplicated as well, and therefore, the targeting of a single sod gene might not be enough to affect the motilities of injected tardigrades, even though the sod genes could play a useful role during desiccation.
The trehalose-6-phosphate synthase (TPS) enzyme is involved, together with the enzyme trehalose-6-phosphate phosphatase, in the biosynthesis pathway of the sugar trehalose. This sugar acts as a common water replacement molecules and stabilizer of biological structures by protecting cellular systems from dehydration and preventing protein aggregation and eliminating ROS1,27,37,75. Despite most anhydrobiotic metazoans, such as the midge P. vanderplanki and the cysts of Artemia spp., use trehalose as a protective mechanism1,38,39,40, not all tardigrade species produce this sugar, and when they produce it, the amount of trehalose differs among species and it is always very low in comparison with other anhydrobiotic animals20,39,76. The detection of trehalose in Paramacrobiotus species20 and of the tps gene in P. spatialis77, allowed us to target this gene in this study, demonstrating that its targeting did not significantly affect animal motility after a cycle of desiccation/rehydration. In line with this, a recent study showed the presence of three TPS-TPP genes in Paramacrobiotus sp.78, and probably the targeting of a single copy of tps gene cannot be sufficient to have an effect on the motilities of injected animals. Our results demonstrate that trehalose is not the only molecule involved in desiccation tolerance, in line with the concept suggested by Hibshman et al.27 that in desiccation tolerance of some tardigrades other molecules must have protective effects that substitute for the function of trehalose. Therefore, trehalose represents only one possible evolutionary pathway towards desiccation tolerance, and probably, is not the most crucial biochemical adaptation to protect cell during desiccation in tardigrades. This agrees with other completely desiccation tolerant organisms, namely bdelloid rotifers, that are unable to produce trehalose79. Rotifers protect the cells under desiccation stress utilizing different types of molecules, such as LEA proteins, hydrophilins, chaperones (i.e. Heat Shock proteins), antioxidants, and molecules involved in DNA repair6.
Aquaporins are integral membrane proteins present in all domains of life, ranging from archaea and bacteria to eukaryotes80. They play an intrinsic role in the physiological movements of water across cell membranes, and consequently through the entire organism11,81. They could be an adaptive response to changing water abundance and osmolality in the organism’s habitat82, and to water loss regulation during anhydrobiosis15. Their possible role in anhydrobiotic animals was hypothesized by the discovery in the midge P. vanderplanki of the aquaporin PvAQP145 that rapidly increase its expression at the onset of anhydrobiosis and it is thought to be required to remove the water from the body of the midge larvae11,23,45. Similarly, in the larvae of the goldenrod gall fly Eurosta solidaginis, the AQP3 protein which allows water and glycerol to cross the cell membrane is upregulated following desiccation, indicating that the larva is preparing itself for the osmotic stress associated with desiccation83. In tardigrades, the involvement of aquaporins during anhydrobiosis is supported by the expression of AQP4 in M. cf. tardigradum, at higher levels in the desiccated animals with respect to the active ones84. In the latter tardigrade species, eleven AQP transcripts (denoted MtAqp-1 through MtAqp-11) were identified85, with a high transcript abundance of MtAqp-3, -4, -5, -10. Our study provides evidence for the involvement of aquaporin 3 and aquaporin 10 during rehydration in tardigrades since the targeting for these two aquaporins in P. spatialis by RNAi has negative effects on animal motility immediately after rehydration process (t0). Since animals targeted for aquaporins are able to restore their motility in the course of the rehydration process (t1–t48), P. spatialis can desiccate even if the aquaporins are targeted. However, during rehydration tardigrades need more time to recover their motility, suggesting that aquaporins have a role during rehydration.
Although the molecular mechanisms underpinning anhydrobiosis are not yet completely understood, it seems clear that desiccation tolerance depends on the synergic action of an array of many different molecules working together. Our investigation supports this hypothesis and agrees with previous studies demonstrating that tardigrades species have a comprehensive number of genes encoding proteins involved in antioxidant defence25. Future studies on anhydrobiotic animals will further help in understanding the protectants and the mechanisms that contribute to their desiccation survival and could provide avenues for pursuing biotechnologies for the preservation, storage and distribution of human tissues and cells.
Methods
Collection of the target species
The eutardigrade Paramacrobiotus spatialis Guidetti et al. 2019 was used as target species. Specimens were collected from hazel-leaf litter at Formigine (80 m a.s.l.; 44° 34.253′ N, 10° 50.892′ E, Modena, Northern Italy). Leaf litter was immersed in tap water and then animals were extracted from their substrate by means of sieves, picked up with a glass pipette under a stereomicroscope and stored in tap water and natural mineral water 1:1 (rearing water) at 16 °C for 24 h before their use10,31.
Experimental desiccation and rehydration of tardigrades
Animals were desiccated using a climate chamber (CHL, Angelantoni Industrie, Milan, Italy) that allows to control air temperature and relative humidity (RH) of the air. Animals were placed on a blot filter paper with a drop of rearing water and kept at 18 °C and 80% RH for 4 h, then to 50% RH for 4 h, and finally at 20 °C and 0–3% RH overnight41. At the end of these steps, the tardigrade body has the typical compact tun shape structure of a desiccated/anhydrobiotic tardigrade (Fig. 1d).
To rehydrate desiccated tardigrades, small amounts of rearing water were slowly added on each filter paper every 10 min for a total of 60 min, this rehydration step is here termed the “rehydration process”. Rehydrated tardigrades were maintained at 16 °C and observed under a stereomicroscope. Coordinated and active movements of the body (locomotion performance) constituted the criterion to evaluate tardigrade motility (survival). Locomotion performance was evaluated right after the rehydration process (t0) and after 1 h (t1) and 24 h (t24) (see Altiero et al.34).
Detection of reactive oxygen species production under desiccation
The production of Reactive Oxygen Species (ROS) was detected after specimens of P. spatialis were kept in a desiccated state for 1 and 20 days (see above protocol) at 16 °C and 0–3% RH. In particular, ROS production was evaluated in coelomocytes (storage cells) 3 and 12 h after the rehydration process. As control, specimens kept in rearing water were used.
For each experimental conditions and controls, 2–5 animals were used, and for each animal 6–45 singular storage cells randomly chosen were analysed (Table S1).
The fluorescent probe 2,7-dichlorodihydrofluorescein diacetate (DCFH2-DA) diluted in methanol was used. It is the most common probe to detect overall level of intracellular ROS55,56. Preliminary tests evidenced that tardigrades survive when kept for 45 min in methanol used for dilution (methanol: distilled water, 1:10).
Each tardigrade was sonicated for 90 s in rearing water to allow the entrance of the probe in the tardigrade, and then incubated in 1 ml of 10 µM DCFH2-DA in methanol for 45 min at 20 °C in the dark. After these steps, each tardigrade was washed with rearing water, mounted on a slide with rearing water as mounting medium. Then, the animal was gently broken with a pressure on cover slip to obtain the release of isolated storage cells. Cells were observed using Leica TCS SP2 AOBS spectral confocal scanner microscope mounted on a Leica DM IRE2 inverted fluorescence microscope, with an Ar excitation laser (λexc = 488 nm) for DCFH2-DA (λem = 543 nm) available at Centro Interdipartimentale Grandi Strumenti (CIGS) of University of Modena and Reggio Emilia.
The ROS signal was measured quantifying the intensity of the fluorescence signal of each storage cell using the program ImageJ (National Institutes of Health). The fluorescence intensity of storage cells was standardised removing the storage cell size effect and the background signal.
The following formula was used:
Intensity of the storage cell signal = total fluorescence intensity of storage cell - [(x/y)·z].
In which: x = mean of two areas of the fluorescence intensity, y = mean of two background areas, z = storage cell area.
The mean value of fluorescence intensity of all previously measured storage cells was considered for each experimental condition (Table S2).
The statistical comparisons of ROS signals among the different experimental groups and controls were evaluated through the analysis of variance (one-way ANOVA) with a Tukey post-hoc test, using the program SPSS 23 (SPSS Inc., Chicago, IL. USA).
Targeting of genes potentially involved in desiccation tolerance
The RNA interference technique was utilised to target eight tardigrade genes. The genes gpx, gr, gst, cat, sod and tps (encoding the enzymes glutathione peroxidase, glutathione reductase, glutathione transferase, catalase, superoxide dismutase, and trehalose-6-phosphate synthase, respectively), and aqp 3 and aqp 10 (encoding the membrane channel aquaporin proteins 3 and 10) were targeted in order to disrupt their function. To verify the involvement of these target genes in the desiccation tolerance of P. spatialis, three groups of animals were used: 1. uninjected control animals (control 1); 2. control animals injected with RNase free water (control 2); 3. injected animals with the dsRNA of a target gene (experimental group). For each target gene, three replicates each of 10 P. spatialis specimens (experimental group) were used. Each animal was injected with the dsRNA of a single target gene at the concentration of 4 µg/µl (see paragraph below). For both control groups, three replicates each of 10 animals were used.
The methodological steps applied to animals were: injection (except for control 1), desiccation, rehydration, and check of animal motility. The injection was performed following the protocol by Tenlen et al.57 with slight modifications. In particular, injection needles were pulled from borosilicate glass capillaries 1B100F-4 (Word Precision Instruments, Inc.) using a PC-10 Puller (Narishige). Injection slides were prepared as indicated by Tenlen et al.57. Injections of the animals were performed using an inverted microscope (Nikon Eclipse TE300) and a manual micromanipulator (Leitz Wetzlar) linked to a Hamilton Microliter™ syringe. Needle tips were broken by gently stroking the tips against the edge of a triangular coverslip piece to obtain an opening in the needle tip of 2–3 µm in diameter. The successful injection of dsRNA or RNAfree water into the body cavity of tardigrades was confirmed by the swelling of the body as indicated by Tenlen et al.57.
All injected tardigrades were transferred in rearing water and left overnight to allow the dsRNA to disrupt the gene function, as indicated by Boothby et al.24. Therefore, they were individually desiccated as described above, kept desiccated for 2 days, and rehydrated using the protocol described above. Tardigrade motility was recorded using the criterion of locomotion performance, which was evaluated right after the rehydration process (t0) and after 1 h (t1), 24 h (t24) and 48 h (t48).
The Kruskal–Wallis test was applied to compare the percentage of motile tardigrades (with locomotion performance) injected with dsRNA with respect to those of controls 1 and 2 at t0, t1, t24 and t48. The tps gene was chosen as a further control (Control 3) to exclude the possibility that the injection of large amount of dsRNA is harmful for P. spatialis, since animals targeted for this gene exhibited negligible effects on the motilities at every time of rehydration. The Kruskal–Wallis test was applied to compare the motility percentages of tardigrades injected with tps dsRNA with respect to those of animals injected with dsRNA of other target genes at t0, t1, t24 and t48. The statistical analysis was performed with the program SPSS 23 (SPSS Inc., Chicago, IL, USA).
Synthesis of specific target gene dsRNA
The transcriptome of P. spatialis24,86 was compared with the transcriptome of the eutardigrade Hypsibius exemplaris Gąsiorek, Stec, Morek & Michalczyk, 201824 and with sequences of the nematode C. elegans Maupas, 190087 contained in WormBase and GenBank. Obtained sequences were aligned using the program BLAST to design gene-specific primers (Table S4). Genomic DNA was extracted from five specimens of P. spatialis using the Worm Lysis Buffer57. Gene-specific primers (Table S4) were used to amplify the target sequence with these cycles: first denaturation step for 2 min at 95 °C, at least 15 cycles with 30 s at 95 °C, annealing at 70 °C for 1 min with a decreasing rate of 1 °C/cycle until the melting temperature (Tm; Table S4) of the tested primers is reached, 2 min at 72 °C, 30 cycles with 30 s at 95 °C, annealing at Tm of the tested primers for 1 min, and 2 min at 72 °C, with a final elongation step at 72 °C for 5 min. PCR products of each target gene were directly inserted into a plasmid vector (pCR™ -Blunt II-TOPO® vector) and cloned using the Zero Blunt TOPO PCR Cloning Kit (Thermo Fisher). The recombinant vector was then used to transform competent Mach1™ T1R cells of Escherichia coli (Thermo Fisher). To verify if the target gene has been inserted in the vector, a PCR reaction was performed using the purified plasmid DNA as a template and gene-specific primers, with this cycle: 30 cycles with denaturation at 95 °C for 30 s, annealing at 53 °C for 30 s min, and elongation at 72 °C for 1 min, with a final elongation step at 72 °C for 5 min. After successful control of the amplification, several clones were sequenced for each gene, using gene-specific primers. After sequencing, the plasmid sequence was aligned with the target gene sequence using the program BLAST to check the real insertion of the target gene in the plasmid and the absence of introns in the sequence. New primers were designed by adding the sequence of promoter T7 (5′-TAA TAC GAC TCA CTA TAG GG-3′) to the 5′ portion of each original gene specific primer sequence (Table S4) and they were used to synthesize dsRNA from the P. spatialis genomic DNA, using the T7 RiboMAX™ Express RNAi System (Promega), following the manufacturer’s protocol. Following ethanol precipitation, dsRNA of each target gene was resuspended in nuclease-free water and was ready to be used in RNAi. The targeted genes and their sequence references are reported in Table S2. The list of targeted sequences is reported in the supplementary section.
Protocol to verify the successful targeting of genes by RNAi
A protocol was designed to verify if RNAi led to a decrease of each target gene expression level. A new group of five specimens of P. spatialis were injected with each target gene specific dsRNA, then individually desiccated, and rehydrated following the protocols described above. At t0 (after the rehydration process), total RNA was extracted from each animal using the MasterPure Kit (Epicentre), and then used to synthesise cDNA using the SuperScript® III First-Strand Synthesis System for RT-PCR (Thermo Fisher), following the manufacturer’s protocol. Then, each target gene was amplified using the specific primers designed on P. spatialis transcriptome (Table S4) and applying the same thermal cycling conditions described above. As a PCR control, the same RNA extracted from each individual tardigrade was used to amplify the DNA polymerase II, which was used as control gene (accession number: GFGY01000030; position: 7492–7959; length: 468 bp; targeted sequence in supplementary section). For this gene, specific designed primers (F- 5′-GTC ACG GAC GAA GGA GAA TTT A-3′; R- 5′-ACG TGA AGA TGG GCG TAT TG-3′) were used.
References
Clegg, J. S. Cryptobiosis — a peculiar state of biological organization. Comp. Biochem. Physiol. B. 128, 613–624 (2001).
Alpert, P. The limits and frontiers of desiccation-tolerance life. Integr. Comp. Biol. 45, 685–695 (2005).
Rebecchi, L., Altiero, T. & Guidetti, R. Anhydrobiosis: the extreme limit of desiccation tolerance. Invertebr. Surviv. 4, 65–81 (2007).
Møbjerg, N. et al. Survival in extreme environments — on the current knowledge of adaptations in tardigrades. Acta Physiol. 202, 409–420 (2011).
Watanabe, M. Anhydrobiosis in invertebrates. Appl. Entomol. Zool. 41, 15–31 (2006).
Rebecchi, L., Boschetti, C. & Nelson, D. R. Extreme-tolerance mechanisms in meiofaunal organisms: a case study with tardigrades, rotifers and nematodes. Hydrobiologia 847, 2779–2799 (2019).
Cadet, J. & Di Mascio, P. Peroxides in Biological Systems, Functional Groups in Organic Chemistry. In The Chemistry of Peroxides (ed. Rappoport, Z.) 915–1000 (Wiley & Sons, 2006).
Hansen, J. M., Go, Y. M. & Jones, D. P. Nuclear and mitochondrial compartmentation of oxidative stress and redox signaling. Annu. Rev. Pharmacol. Toxicol. 46, 215–234 (2006).
França, M. B., Panek, A. D. & Eleutherio, E. C. A. Oxidative stress and its effects during dehydration. Comp. Biochem. Physiol. A 146, 621–631 (2007).
Rebecchi, L., Cesari, M., Altiero, T., Frigieri, A. & Guidetti, R. Survival and DNA degradation in anhydrobiotic tardigrades. J. Exp. Biol. 212, 4033–4039 (2009).
Cornette, R. & Kikawada, T. The induction of anhydrobiosis in the sleeping chironomid: current status of our knowledge. Biochem. Mol. Biol. Educ. 63, 419–429 (2011).
Wełnicz, W., Grohme, M. A., Kaczmarek, Ł, Schill, R. O. & Frohme, M. Anhydrobiosis in tardigrades — The last decade. J. Insect Physiol. 57, 577–583 (2011).
Rebecchi, L. Dry and survive: The role of antioxidant defenses in anhydrobiotic organisms. J. Insect Physiol. 72, 62–72 (2013).
Leprince, O. & Buitinik, J. Introduction to desiccation biology: from old borders to new frontiers. Planta 242, 369–378 (2015).
Janis, B., Belott, C. & Menze, M. A. Role of Intrinsic Disorder in Animal Desiccation Tolerance. Proteomics 18, e1800067. https://doi.org/10.1002/pmic.201800067 (2018).
Hesgrove, C. & Boothby, T. C. The biology of tardigrade disordered proteins in extreme stress tolerance. Cell Commun. Signal. 18, 178. https://doi.org/10.1186/s12964-020-00670-2 (2020).
Demeure, Y., Freckman, D. W. & Van Gundy, S. D. Anhydrobiotic coiling of nematodes in soil. J. Nematol. 11, 189–195 (1979).
Wright, J. C., Westh, P. & Ramløv, H. Cryptobiosis in Tardigrada. Biol. Rev. 67, 1–29 (1992).
Marotta, R., Leasi, F., Uggetti, A., Ricci, C. & Melone, G. Dry and survive: morphological changes during anhydrobiosis in a bdelloid rotifers. J. Struct. Biol. 171, 11–17 (2010).
Hengherr, S., Heyer, A. G., Köhler, H.-R. & Schill, R. O. Trehalose and anhydrobiosis in tardigrades — evidence for divergence in responses to dehydration. J. Struct. Biol. 275, 281–288 (2007).
Jönsson, K. I. & Schill, R. O. Induction of Hsp70 by desiccation, ionising radiation and heat-shock in the eutardigrade Richtersius coronifer. Comp. Biochem. Physiol. B 146, 456–460 (2007).
Rizzo, A. M. et al. Antioxidant defences in hydrated and desiccated states of the tardigrade Paramacrobiotus richtersi. Comp. Biochem. Physiol. B 156, 115–121 (2010).
Sogame, Y. & Kikawada, T. Current findings on the molecular mechanisms underlying anhydrobiosis in Polypedilum vanderplanki. Curr. Opin. Insect Sci. 19, 16–21 (2017).
Boothby, T. C. et al. Tardigrades use intrinsically disordered proteins to survive desiccation. Mol. Cell 65, 975–984 (2017).
Kamilari, M., Jørgensen, A., Schiøtt, M. & Møbjerg, N. Comparative transcriptomics suggest unique molecular adaptations within tardigrade lineages. BMC Genom. 20, 607. https://doi.org/10.1186/s12864-019-5912-x (2019).
Neves, R. C., Hvidepill, L. K. B., Sørensen-Hygum, T. L., Stuart, R. M. & Møbjerg, N. Thermotolerance experiments on active and desiccated states of Ramazzottius varieornatus emphasize that tardigrades are sensitive to high temperatures. Sci. Rep. 10, 94. https://doi.org/10.1038/s41598-019-56965-z (2020).
Hibshman, J. D., Clegg, J. S. & Goldstein, B. Mechanisms of Desiccation Tolerance: Themes and Variations in Brine Shrimp, Roundworms, and Tardigrades. Front. Physiol. 11, 592016. https://doi.org/10.3389/fphys.2020.592016 (2020).
Guidetti, R., Altiero, T. & Rebecchi, L. On dormancy strategies in tardigrades. J. Insect Physiol. 57, 567–576 (2011).
Baumann, H. Die anabiose der Tardigraden. Zool. Jahrb. 45, 501–556 (1922).
Wright, J. C. The tardigrade cuticle II. Evidence for a dehydration-dependent permeability barrier in the cuticle. Tissue Cell 21, 263–279 (1989).
Rebecchi, L. et al. Tardigrade resistance to space effects: first results of experiments on the LIFE—TARSE Mission on FOTON-M3 (September 2007). Astrobiology 9, 581–591 (2009).
Horikawa, D. D. et al. Establishment of a Rearing System of the Extremotolerant Tardigrade Ramazzottius varieornatus: A New Model Animal for Astrobiology. Astrobiology 8, 549–556 (2008).
Jönsson, K. I. et al. Tardigrades survive exposure to space in low earth orbit. Curr. Biol. 18, 729–731 (2008).
Altiero, T., Guidetti, R., Caselli, V., Cesari, M. & Rebecchi, L. Ultraviolet radiation tolerance in hydrated and desiccated eutardigrades. J. Zool. Syst. Evol. Res. 49, 104–110 (2011).
Hashimoto, T. et al. Extremotolerant tardigrade genome and improved radiotolerance of human cultured cells by tardigrade-unique protein. Nat. Commun. 7, 12808. https://doi.org/10.1038/ncomms1280 (2016).
Giovannini, I., Altiero, T., Guidetti, R. & Rebecchi, L. Will the Antarctic tardigrade Acutuncus antarcticus be able to withstand environmental stresses related to global climate change? J. Exp. Biol. 221, 1–11 (2018).
Wolkers, W. F., Tablin, F. & Crowe, J. H. From anhydrobiosis to freeze-drying of eukaryotic cells. Comp. Biochem. Physiol. A 131, 535–543 (2002).
Crowe, J. H. The physiology of cryptobiosis in Tardigrada. Mem. Ist. Ital. Idrobiol. 32, 37–59 (1975).
Westh, P. & Ramløw, H. Trehalose accumulation in the tardigrade Adorybiotus coronifer during anhydrobiosis. J. Exp. Zool. 258, 303–311 (1991).
Watanabe, M. et al. Physiological traits of invertebrates entering cryptobiosis in a post-embryonic stage. Eur. J. Entomol. 101, 439–444 (2004).
Halberg, K. A., Wulff Larsen, K., Jørgensen, A., Ramløv, H. & Møbjerg, N. Inorganic ion composition in Tardigrada: cryptobionts contain a large fraction of unidentified organic solutes. J. Exp. Biol. 216, 1235–1243 (2013).
Elstner, E. F. & Osswald, W. Mechanism of oxygen activation during plant stress. Proc. R. Soc. Edinb. 102, 131–154 (1994).
Kranner, I. & Birtić, S. A modulating role for antioxidant in desiccation tolerance. Integr. Comp. Biol. 45, 734–740 (2005).
Halliwell, B. Oxidants and human disease: some new concepts. FASEB J. 1, 358–364 (1987).
Kikawada, T. et al. Dehydration-inducible changes in expression of two aquaporins in the sleeping chironomid, Polypedilum vanderplanki. Biochim. Biophys. Acta 1778, 514–520 (2008).
Mali, B. et al. Transcriptome survey of the anhydrobiotic tardigrade Milnesium tardigradum in comparison with Hypsibius dujardini and Richtersius coronifer. BMC Genom. 11, 168. https://doi.org/10.1186/1471-2164-11-168 (2010).
Yoshida, Y. et al. Comparative genomics of the tardigrades Hypsibius dujardini and Ramazzottius varieornatus. PLoS Biol. 15, 1–40 (2017).
Rebecchi, L., Guidetti, R., Borsari, S., Altiero, T. & Bertolani, R. Dynamics of long-term anhydrobiotic survival of lichen-dwelling tardigrades. Hydrobiologia 558, 23–30 (2006).
Rosati, F. Ricerche di microscopia elettronica sui Tardigradi. II. I globuli cavitari. Atti Accad. Sci. Siena Fisiocrit. 17, 1439–1452 (1968).
Węglarska, B. Studies on the morphology of Macrobiotus richtersi Murray, 1911. Mem. Ist. Ital. Idrobiol. 32, 445–464 (1975).
Jönsson, K. I. & Rebecchi, L. Experimentally induced anhydrobiosis in the tardigrade Richtersius coronifer: phenotypic factors affecting survival. J. Exp. Zool. 293, 578–584 (2002).
Reuner, A., Hengherr, S., Brümmer, F. & Schill, R. O. Comparative studies on storage cells in tardigrades during starvation and anhydrobiosis. Curr. Zool. 56, 259–263 (2010).
Czernekova, M. & Jönsson, K. I. Experimentally induced repeated anhydrobiosis in the eutardigrade Richtersius coronifer. PLoS ONE 11, e01640622016. https://doi.org/10.1371/journal.pone.0164062 (2016).
Jönsson, K. I., Holm, I. & Tassidis, H. Cell Biology of the Tardigrades: Current Knowledge and Perspectives. In Evo-Devo: Non-model Species in Cell and Developmental Biology, Results and Problems in Cell Differentiation (eds Tworzydlo, W. & Bilinski, S. M.) 231–249 (Springer Nature, 2019).
Bass, D. A. et al. Flow cytometric studies of oxidative product formation by neutrophils: a graded response to membrane stimulation. J. Immunol. 11, 805–813 (1983).
Tettamanti, G., Malagoli, D., Ottaviani, E. & de Eguileor, M. Oligomycin A and the IPLB-LdFB insect cell line: actin and mitochondrial responses. Cell Biol. Int. 32, 287–292 (2008).
Tenlen, J. R., McCaskill, S. & Goldstein, B. RNA interference can be used to disrupt gene function in tardigrades. Dev. Genes Evol. 223, 171–181 (2013).
Szymańska, B. Interdependence between storage bodies and egg developmental stages in Macrobiotus richtersi Murray, 1911 (Tardigrada). Acta Biol. Cracov. 36, 41–48 (1994).
Boveris, A. & Chance, B. The mitochondrial generation of hydrogen peroxide. General properties and effect of hyperbaric oxygen. Biochem. J. 134, 707–716 (1973).
Kuzmic, M., Richaud, M., Cuq, P., Frelon, S. & Galas, S. Carbonylation accumulation of the Hypsibius exemplaris anhydrobiote reveals age-associated marks. PLoS ONE 13, e0208617. https://doi.org/10.1371/journal.pone.0208617 (2018).
Potts, M. Desiccation tolerance of prokaryotes. Microbiol. Rev. 58, 755–805 (1994).
Pereira, E. J., Panek, A. D. & Eleutherio, E. C. A. Protection against oxidation during dehydration of yeast. Cell Stress Chaper. 8, 120–124 (2003).
Flores-Molina, M. R. et al. Desiccation stress in intertidal seaweeds: effects on morphology, antioxidant responses and photosynthetic performance. Aquat. Bot. 113, 90–99 (2014).
Cruz de Carvalho, R., Català, M., Marques da Silva, G., Branquinho, C. & Barreno, E. The impact of dehydration on the production and cellular location of reactive oxygen species in an aquatic moss. Ann. Bot. 110, 1007–1016 (2012).
Duan, Y. et al. Effect of desiccation and resubmersion on the oxidative stress response of the kuruma shrimp Marsupenaeus japonicas. Fish Shellfish Immunol. 49, 91–99 (2016).
Readon, W. et al. Expression profiling and cross-species RNA interference (RNAi) of desiccation-induced transcripts in the anhydrobiotic nematode Aphelenchus avenae. BMC Mol. Biol. 11, 6. https://doi.org/10.1186/1471-2199-11-6 (2010).
Roxas, V. P., Roger, K., Smith, Jr., Allen, E. R. & Allen, R. D. Overexpression of glutathione S- transferase/glutathione peroxidase enhances the growth of transgenic tobacco seedlings during stress. NPG 15, 988–991 (1997).
Erkut, C. et al. Molecular strategies of the Caenorhabditis elegans dauer larva to survive extreme desiccation. PLoS ONE 8, e82473. https://doi.org/10.1371/journal.pone.0082473 (2013).
Adhikari, B. N., Wall, D. H. & Adams, B. J. Desiccation survival in an Antarctic nematode: molecular analysis using expressed sequenced tags. BMC Genom. 10, 69. https://doi.org/10.1038/s41598-019-42650-8 (2009).
Tyson, T. et al. A molecular analysis of desiccation tolerance mechanisms in the anhydrobiotic nematode Panagrolaimus superbus using expressed sequenced tags. BMC Res. Notes. 5, 68. https://doi.org/10.1186/1756-0500-5-68 (2012).
Murai, Y. et al. Multiomics study of a heterotardigrade, Echiniscus testudo, suggests the possibility of convergent evolution of abundant heat-soluble proteins in Tardigrada. BMC Genom. 22, 813. https://doi.org/10.1186/s12864-021-08131-x (2021).
Rizzo, A. M., Adorni, L., Montorfano, G., Rossi, F. & Berra, B. Antioxidant metabolism of Xenopus leavis embryos the first days of development. Comp. Biochem. Physiol. B 156, 94–100 (2007).
Lopez-Martines, G. et al. Dehydration, rehydration, and overhydration alter patterns of gene expression in the Antarctic midge, Belgica antarctica. J. Comp. Physiol. B 179, 481–491 (2009).
Fu, Z., Agudelo, P. & Wells, C. E. Induction of glutaredoxin expression in response to desiccation stress in the foliar nematode Aphelenchoides fragariae. J. Nematol. 44, 370–376 (2012).
Møbjerg, N. & Neves, R. C. New insights into survival strategies of tardigrades. Comp. Biochem. Physiol. Part A 254, 110890. https://doi.org/10.1016/j.cbpa.2020.110890 (2021).
Jönsson, K. I. & Persson, O. Trehalose in three species of desiccation tolerant tardigrades. Open Zool. J. 3, 1–5 (2010).
Cesari, M., Altiero, T. & Rebecchi, L. Identification of the trehalose-6-phosphate synthase (tps) gene in desiccation tolerant and intolerant tardigrades. Ital. J. Zool. 79, 530–540 (2012).
Hara, Y., Shibahara, R., Kondo, K., Abe, W. & Kunieda, T. Parallel evolution of trehalose production machinery in anhydrobiotic animals via recurrent gene loss and horizontal transfer. Open Biol. 11, 200413. https://doi.org/10.1098/rsob.200413 (2021).
Lapinski, J. & Tunnaclife, A. Anhydrobiosis without trehalose in bdelloid rotifers. FEBS Lett. 553, 387–390 (2003).
Wu, B. & Beittz, E. Aquaporins with selectivity for unconventional permeants. Cell Mol. Life Sci. 64, 2413–2421 (2007).
Tomkowiak, E. & Pienkowska, J. R. The current knowledge of invertebrate aquaporin water channels with particular emphasis on insect AQPs. Adv. Cell Biol. 2, 91–104 (2010).
Huang, C. G., Lamitina, T., Agre, P. & Strange, K. Functional analysis of the aquaporin gene family in Caenorhabditis elegans. Am. J. Physiol. Cell Physiol. 292, 1867–1873 (2007).
Philip, B. N., Yi, S., Elnitsky, M. A. & Lee, R. E. Jr. Aquaporins play a role in desiccation and freeze tolerance in larvae of the goldenrod gall fly, Eurosta solidaginis. J. Exp. Biol. 211, 1114–1119 (2008).
Schokraie, E. et al. Comparative proteome analysis of Milnesium tardigradum in early embryonic state versus adults in active and anhydrobiotic state. PLoS ONE 7, 45682. https://doi.org/10.1371/journal.pone.0045682 (2012).
Grohme, M. A. et al. The Aquaporin Channel Repertoire of the Tardigrade Milnesium tardigradum. Bioinform. Biol. Insights 7, 153–165 (2013).
Smith, F. W. et al. The Compact Body Plan of Tardigrades Evolved by the Loss of a Large Body Region. Curr. Biol. 26, 224–229 (2016).
Consortium, C.e.S. Genome sequence of the nematode C. elegans: a platform for investigating biology. Science, 282, 2012–2018 (1998).
Acknowledgements
This work has received funding from the European Union’s Horizon 2020 Research and Innovation Programme under the Marie Skłodowska-Curie Grant agreement No. 734434 and FAR 2015 of the Department of Life Sciences, UNIMORE. B.G. was supported by NSF Grants IOS 1557432 and IOS 2028860. T.C.B. was supported by NASA Grant 80NSSC20K0283 and an Institutional Development Award (IDeA) from the National Institute of General Medical Sciences of the National Institutes of Health under Grant # 2P20GM103432.
Author information
Authors and Affiliations
Contributions
I.G. conceptualized the research, performed the experiments, analyzed data, wrote, reviewed and edited the manuscript; T.C.B. supervised the molecular analysis, contributed to the final version of the manuscript and provided financial support; M.C. and R.G. supervised the molecular analysis and contributed to the final version of the manuscript; B.G. contributed to the final version of the manuscript and provided financial support; L.R. conceptualized and supervised the research, contributed to the final version of the manuscript and provided financial support.
Corresponding author
Ethics declarations
Competing interests
The authors declare no competing interests.
Additional information
Publisher's note
Springer Nature remains neutral with regard to jurisdictional claims in published maps and institutional affiliations.
Supplementary Information
Rights and permissions
Open Access This article is licensed under a Creative Commons Attribution 4.0 International License, which permits use, sharing, adaptation, distribution and reproduction in any medium or format, as long as you give appropriate credit to the original author(s) and the source, provide a link to the Creative Commons licence, and indicate if changes were made. The images or other third party material in this article are included in the article's Creative Commons licence, unless indicated otherwise in a credit line to the material. If material is not included in the article's Creative Commons licence and your intended use is not permitted by statutory regulation or exceeds the permitted use, you will need to obtain permission directly from the copyright holder. To view a copy of this licence, visit http://creativecommons.org/licenses/by/4.0/.
About this article
Cite this article
Giovannini, I., Boothby, T.C., Cesari, M. et al. Production of reactive oxygen species and involvement of bioprotectants during anhydrobiosis in the tardigrade Paramacrobiotus spatialis. Sci Rep 12, 1938 (2022). https://doi.org/10.1038/s41598-022-05734-6
Received:
Accepted:
Published:
Version of record:
DOI: https://doi.org/10.1038/s41598-022-05734-6
This article is cited by
-
Lineage-specific expansions of the Dicer gene family in tardigrades
BMC Genomics (2025)
-
Surviving desiccation: key factors underlying tolerance in prokaryotes and eukaryotes
Protoplasma (2025)
-
Life on the dry side: a roadmap to understanding desiccation tolerance and accelerating translational applications
Nature Communications (2025)
-
Ionizing radiation responses appear incidental to desiccation responses in the bdelloid rotifer Adineta vaga
BMC Biology (2024)
-
Structural study of the intrinsically disordered tardigrade damage suppressor protein (Dsup) and its complex with DNA
Scientific Reports (2024)





