Abstract
The medicinal potential of marine invertebrates' bioactive components that may act as anti-COVID-19 demonstrated promising results. Ophiocoma dentata, which is common in the Red Sea, is one such source. Therefore, this study aimed to isolate a new compound from the brittle star, Ophiocoma dentata, and evaluate its efficacy as anti-COVID-19 in-silico and in-vitro. Standard procedures were followed in order to assess the isolated compound’s preliminary toxicity and anti-inflammatory properties. Computer virtual screening technology through molecular docking and ADMET studies was conducted as well as a new steroid derivative was isolated for the first time, named 5α-cholesta-4(27), 24-dien-3β, 23 β-diol. Investigation of the Anti-Covid-19 activity of the isolated compound using a Plaque reduction assay revealed 95% inhibition at a concentration of 5 ng/µl (12.48 µM). Moreover, this compound showed an IC50 of 11,350 ± 1500 ng/ml against the normal fibroblast cells, indicating its safety. Interestingly, this compound exhibited anti-inflammatory activity with an IC50 of 51.92 ± 0.03 μg/ml compared to a reference drug’s IC50 of 53.64 ± 0.01 μg/ml, indicating that this compound is a potent anti-inflammatory. In silico data have proved that the isolated compound is a promising viral inhibitor against SARS-CoV2 and is thus recommended as a future nature preventive and curative antiviral drug.
Similar content being viewed by others
Introduction
More than 5 million people have died due to the COVID-19 outbreak worldwide, which has inflicted political and socioeconomic disruptions in our daily lives1. Researchers have started repurposing already FDA-approved medications for COVID-19 treatment as a quick method to reduce the time required for safety and approval studies2. Currently, scientific efforts focus on developing a suitable medication from the old traditional pharmaceuticals used for earlier coronavirus strains3. Many natural product derivative treatments have been reported to prevent the entry and replication of various coronaviruses, such as SARS and MERS. Natural compounds and their molecular frameworks have long been considered valuable starting points or sources for drug discovery4.
Blunt et al.5 revealed that marine natural products are beneficial substances for drug discovery due to their wide variety of bioactivities, including anti-infective, anti-proliferative, antibiotic, and anti-tumor properties. Marine invertebrates generally are motionless and stuck to the ocean bottom, they use potent secondary metabolites to prevent the growth of invading neighbors and attract food. Such survival conditions stimulated the production of a highly abundant variety of biologically active substances5. Echinoderms demonstrate as an untapped source in an attempt to identify novel and beneficial products6. According to Fayed et al.7, marine natural products have demonstrated antiviral activity against coronaviruses, and various aquatic species have previously been discovered to produce a variety of antiviral lead compounds. Brittle stars (Ophiuroidea) are the largest echinoderm group in terms of species, as well as the most frequent8. There have been a few studies on the biological activity of brittle star species have been published. However, the antiviral activity of the brittle star revealed that the most abundant bioactive metabolites derived from brittle star are steroidal glycosides, carotenoid sulfates, and naphthoquinone. All of which are essential for life maintenance on earth and have the potential to be used in biomedicine8.
Molecular modeling and virtual screening are examples of computational-based techniques that contribute to understanding the molecular components of protein–ligand interactions throughout the rational drug discovery process9,10. Two intriguing therapeutic targets for SARS-CoV-2 related disorders are the main protease (Mpro) and the RNA-dependent RNA polymerase (RdRP), which are responsible for the viral polyprotein proteolytic process along with viral genome replication and transcription11,12. These two target sites have been intensively docked to develop or distinguish structure-based effective medicines for COVID-19 based on their critical role in the life cycle of SARS-CoV-213. Natural bioactive compounds are currently being screened for their affinity for COVID-19 molecular targets using molecular docking, with the advantage that natural products are free of harmful or adverse effects14,15. This study aims to isolate a new compound from the brittle stars, Ophiocoma dentata that can resist COVID-19. In addition, structure elucidation, anti-inflammatory activity, molecular docking and in silico ADMET studies were performed.
Results
Structure determination of the isolated compound
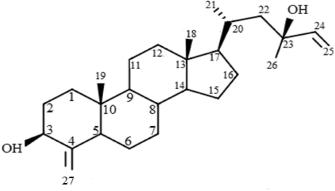
The new compound was obtained as yellow crystals, and HREIMS provided its molecular formula, C27H44O2 (m/z 400.6470), indicating the presence of six degrees of unsaturation. In addition to the double bond (1742 cm−1), the FTIR spectrum revealed the presence of hydroxyl (3424 cm−1). 1H NMR spectrum of the isolated compound showed the presence of one proton multiplet at δ 4.14, the position and multiplicity of which was indicative of H-3 of the steroidal nucleus. Presence of four methyl [δ 0.86 (3H, s, H-18), δ 1.19 (3H, s, H-19), δ 1.06 (3H, d, J = 10 Hz, H-21), δ 5.93 (3H, m, H-24)] and four-terminal olefinic protons [δ 5.09 and δ 4.93 (H-25 and H-27)].
The 13C NMR spectrum of the isolated compound revealed the resonance of 27 carbons identified as four methyls, ten methylene (including two terminal double bonds), one oxygenated methine, and five quaternary carbons. The isolated compound's complete 1H and 13C NMR chemical shifts were assigned using a combination of COSY-45°, HSQC, and HMBC spectra. These spectroscopic studies suggested that the isolated compound had a steroidal type skeleton. Consequently, were proposed the structure for this new compound named 5α-cholesta-4(27), 24-dien-3β, 23 β-diol. 1H NMR, 13C NMR, HSQC, HMBC, COSY, NOESY, and FTIR data are depicted in (Fig. 1 and supplementary Figs. S2–S8; Table S1).
Molecular docking, ADMET analysis, and in silico toxicity studies of the isolated compound
In this work, the binding potential of the isolated compound against three proteins of SARS-CoV-2 has been investigated. The selected proteins are: (i) COVID-19 main protease (Mpro) (PDB ID: 6lu7, resolution: 2.16 Å), (ii) nonstructural protein (nsp)10 (PDB ID: 6W4H, resolution: 1.80 Å), and (iii) RNA-dependent RNA polymerase (PDB ID: 7BV2, resolution: 2.50 Å).
Re-docking processes of the co-crystallized ligands (PRD_002214, SAM, and F86) were preceded against the active pockets of COVID-19 main protease, NSP10, and RNA-dependent RNA polymerase, respectively, to validate the docking procedure. The calculated RMSD values between the re-docked poses and the co-crystallized ones were 3.10, 1.07, and 1.34, indicating the efficiency and validity of the docking processes (Fig. 2).
Determination of anti-SARS-CoV2, MTT cytotoxicity, and anti-inflammatory activity
The percent inhibition of various concentrations of the isolated compound against SARS-CoV2 is shown in (Table 1). Interestingly, the isolated compound showed 95% viral inhibitory effects on SARS-CoV2 at a concentration of 5 ng/µl (12.48 µM).
In this study, human gingival fibroblast cell lines (Fig. 3) were exposed to different concentrations of the isolated compound. The cellular responses were determined using in vitro toxicity MTT assay. The changes in the morphology of cells exposed to different concentrations of the isolated compound were monitored using inverted microscopy. The results demonstrated that the cells exposed to 12.5 μg/ml of the isolated compound gradually lost their characteristic phenotype, started to shrink, and obtained irregular shapes. Percentage inhibition of the normal fibroblast cell growth at different concentrations of the isolated compound is shown in (supplementary Fig. S9), with an IC50 value of 11.35 ± 1.5 μg/ml (0.02 mM).
The anti-inflammatory activity of the isolated compound of different concentrations (10, 40, 100, 400, and 600 μg/ml) is shown in (Table 2).
Discussion
Chemical studies on Ophiocoma dentata have resulted in discovering a new steroid, 5α-cholesta-4(27), 24-dien-3β, 23 β-diol. The structure of the isolated compound was determined with the help of spectroscopic studies. The isolated compound's NMR spectra matched those of 5 α-cholesta-9(11),24- dien-3 β,6 α,20β-triol-23-one 3-sulphate, reported by Yang et al.16, except for an absence of hydroxyl group at C-6, C-20 position and the double bond between C-9 and C-11 as well as additional double bond at C-4 and this was confirmed by the HMBC experiment. Inspection of its NMR data indicated a considerable similarity to those of ophidianoside F17 except for an absent hydroxyl group at C-6, C-20 and the double bond between C-9 and C-11, and the presence of a double bond between C-24 and C-25 position.
Docking studies were carried out using MOE14.0 software, yielding free energy (ΔG) values that indicate the examined molecule's binding interaction with the selected protein.
The isolated compound demonstrated good binding affinities with COVID-19 main protease (ΔG = − 24.68 kcal/mol), nsp10 (ΔG = − 23.47 kcal/mol), and RNA-dependent RNA polymerase (ΔG = − 29.86 kcal/mol), compared to the co-crystallized ligands PRD_002214 (ΔG = − 27.72 kcal/mol), SAM (ΔG = − 17.86 kcal/mol), and F86 (ΔG = − 23.56 kcal/mol), respectively (Table 3).
The docking mode of the co-crystallized ligand (PRD_002214) and COVID-19 main protease formed four hydrogen bonds and three hydrophobic interactions. The first pocket of Mpro was occupied by 2-oxopyrrolidin-3-yl moiety, forming two hydrogen bonds with Thr190 and Gln189. Additionally, the isopropyl moiety occupied the second pocket of Mpro forming three hydrophobic interactions with His41 and Met165. Furthermore, the third pocket was occupied by the benzyl acetate moiety, whereas the 5-methylisoxazole-3-carboxamide moiety was buried in the fourth pocket, forming a hydrogen bond with Thr26. Finally, one hydrogen bond was formed between an amide group and Met165 (supplementary Fig. S10).
Moreover, the co-crystallized ligand (SAM) formed three hydrogen bonds and seven hydrophobic interactions against the COVID-19 nsp10 protein. In detail, the tetrahydrofuran-3,4-diol moiety formed three hydrogen bonds with Asn6899, Tyr6930, and Asp6928. Besides, the 9H-purin-6-amine moiety formed three hydrophobic interactions with Phe6947 and Leu6898. Also, the (S)-(3-amino-3-carboxypropyl) dimethylsulfonium moiety formed many hydrophobic, electrostatic, and hydrogen bonding interactions with Asp6897, Lys6968, Lys6844, and Asp6928 (supplementary Fig. S11).
With respect to the binding mode of the co-crystallized ligand (F86) against COVID-19 RNA-dependent RNA polymerase, it formed three hydrogen bonds, six hydrophobic interactions, and two electrostatic interactions. Furthermore, the pyrrolo[2,1-f] [1,2,4] triazin-4-amine moiety formed six hydrophobic interactions with Urd20, Ade11, Arg555, and Val557. As well, the sugar moiety formed a hydrogen bond with Asp623. Additionally, the phosphate derivative moiety formed two electrostatic interactions and a hydrogen bond with Asp760, Asp623, and Cys622 (supplementary Fig. S12).
Considering the isolated compound's binding mode against the COVID-19 main protease protein, it occupied three pockets of the protein with a similar orientation to that of the co-crystallized ligand inside the active pocket of Mpro. Exhaustively, the (S)-2-methylenecyclohexan-1-ol moiety occupied the first pocket of Mpro, forming one hydrophobic interaction with Met49. Moreover, the (3aR,7aS)-3a-methyloctahydro-1H-indene moiety was buried in the second pocket, forming a hydrogen bond with His41. In addition, the (R)-3-methylhex-1-en-3-ol moiety was incorporated in hydrophobic interaction with Met165 in the third pocket of Mpro (Fig. 4).
(a) 3D of the isolated compound docked into the active site of COVID-19 main protease. (b) 2D of the compound docked into the active site of COVID-19 main protease and superimposed with the co-crystallized ligand. (c) Mapping surface showing the compound occupying the active pocket of COVID-19 main protease.
The compound’s interaction with the active pocket of NSP10 formed three hydrophobic interactions and a hydrogen bond. Closely, the hydroxyl group of (S)-2-methylenecyclohexan-1-ol moiety formed a hydrogen bond Asp6912. Such moiety formed two hydrophobic interactions with Leu6898. In addition, the (3aR,7aS)-3a-methyloctahydro-1H-indene moiety formed one hydrophobic interaction with Pro6932. The orientation of the compound inside the active pocket is similar to that of the co-crystallized ligand to some extent (Fig. 5).
The binding mode of the compound against RNA-dependent RNA polymerase formed twelve hydrophobic interactions and two hydrogen bonds with the active pocket. Comprehensively, the hydroxyl group of (S)-2-methylenecyclohexan-1-ol moiety formed two hydrogen bonds with Thr680 and Cys622. Such moiety formed a hydrophobic interaction with Urd20. Additionally, the (3aR,7aS)-3a-methyloctahydro-1H-indene moiety formed five hydrophobic interactions with Urd20 and Ade11, whereas the (R)-3-methylhex-1-en-3-ol moiety formed five hydrophobic interactions with Lys545, Urd10, Val557, and Ala547 (Fig. 6).
(a) 3D of the isolated compound docked into the active site of COVID-19 RNA-dependent RNA polymerase. (b) 2D of the compound docked into the active site of COVID-19 RNA-dependent RNA polymerase and superimposed with the co-crystallized ligand. (c) Mapping surface demonstrating the compound occupying the active pocket of COVID-19 RNA-dependent RNA polymerase.
ADMET studies were carried out for the isolated compound using lopinavir as a reference compound. Discovery studio 4.0 was used to predict the following ADMET descriptors; blood–brain barrier (BBB) penetration, aqueous solubility, intestinal absorption, hepatotoxicity, cytochrome P450 inhibition, and plasma protein binding. The predicted descriptors are listed in (Table 4).
ADMET -BBB penetration studies predicted that the isolated compound possesses a high level compared to lopinavir, which is very low level. Although the compound showed a very low level of ADMET aqueous solubility, it was predicted to have a good level of intestinal absorption. The isolated compound was predicted to be a non-hepatotoxic and non-inhibitor of CYP2D6. Consequently, the liver dysfunction side effect is not expected upon administration of this compound. The plasma protein binding model predicts that the isolated compound can bind plasma protein over 90% (Fig. 7).
The isolated compound's toxicity was predicted using the validated and constructed models in the Discovery studio 4.0 software18,19 as follows: (i) FDA rodent carcinogenicity which expects the probability of a molecule to be a carcinogen. (ii) The tumorigenic dose rate 50 (TD50) of a chemical in a rodent chronic exposure toxicity test is predicted by the carcinogenic potency TD5020. (iii) The rat maximum tolerated dose (MTD) of a chemical is estimated using Rat maximum tolerated dose21,22. (iv) In the toxicity test of a chemical, the rat oral LD50 predicts the rat oral acute median lethal dose (LD50)23. (v) The rat chronic LOAEL predicts a compound's rat chronic lowest observed adverse effect level (LOAEL) value24,25. (vi) Ocular irritancy predicts if a certain compound is probable to be an ocular irritant and how severe the irritation will be in the Draize test26. (vii) skin irritancy predicts if a compound would irritate the skin and how severe it will be in a rabbit skin irritancy test26.
The isolated compound exhibited in silico low adverse effects and toxicity towards the tested models as shown in (Table 5). About FDA rodent carcinogenicity, the tested compound was predicted to be non-carcinogenic. For carcinogenic potency TD50 rat model, the tested compound showed TD50 value of 0.621 mg/kg body weight/day which is less than lopinavir (TD50 = 3.553 mg/kg body weight/day). Regarding the rat maximum tolerated dose model, the tested compound showed a maximum tolerated dose value of 0.040 g/kg body weight which is less than lopinavir (0.117 g/kg body weight). The examined compound demonstrated an oral LD50 value of 1.715 mg/kg body weight/day which is higher than lopinavir (1.154 mg/kg body weight/day). For the rat chronic LOAEL model, the isolated compound showed a LOAEL value of 0.002 g/kg body weight which is less than lopinavir (0.049 g/kg body weight). Moreover, the compound was predicted to be an irritant in the ocular irritancy model. Finally, it was expected to have moderate irritancy against the skin irritancy model.
According to Mostafa et al.27, Azithromycin, which is an FDA-approved antimicrobial drug with promising antiviral activity for repurposing against COVID-19, its mode of action was during the viral replication, which demonstrated up to 70% inhibition at concentration 10.4 µM and exhibited moderate virucidal effect with 37% viral inhibitory effect. Additionally, the Niclosamide drug exhibited a high virucidal effect with a 78% viral inhibitory effect at concentration 10.4 µM, suggesting that our isolated compound is a promising viral inhibitor against SARS-CoV2 and its mode of action could be during the viral replication or had a virucidal effect.
The results revealed that the isolated compound has low toxicity to normal cells and could be used as an antiviral agent after performing in vivo assays. Interestingly, the effective dose which inhibited 95% of the viral count was 5 ng/µl (5 μg/ml) and that below the IC50 value (11.35 ± 1.5 μg/ml) of the normal fibroblast cells. The obtained IC50 for the isolated compound was lowered than the reference drug (Diclofenac), indicating that the compound was more potent than diclofenac and could be used as an anti-inflammatory drug.
Echinoderms are rich bioactive components that provide tremendous pharmaceutical and clinical medicine values. Similarly, like many marine invertebrates, survival requirements have led to the evolution of these complex substances. Interestingly, several secondary metabolites were proven to have a potent antiviral activity as well as a relatively non-cytotoxicity. As a result, these promising echinoderm natural compounds could be used to develop new antiviral drugs. In this study, 5α-cholesta-4(27), 24-dien-3β, 23 β-diol was isolated from the brittle stars, Ophiocoma dentata showing 95% inhibition of COVID-19 virus at concentration 5 ng/µl, which is safe to the normal cells. The current study's findings are promising regarding finding an effective cure for the COVID-19 pandemic. Further in-vivo studies regarding the clinical and structure–activity relationship are needed to confirm the isolated compound's potential against the infectious virus SARS-CoV-2.
Marine natural products remain a promising source for discovering high structural diversity and various bioactivities that can be directly developed or used as starting points for the development of novel medications. In the future, we must consider the final dosage form for human use (e.g., tablets, capsules, and injections) to have the potential to be translated into a clinically applicable therapeutic. Biological challenges, large-scale manufacturing, biocompatibility, intellectual property, stable storage, government regulations, and overall cost-effectiveness should all be considered during clinical development. Future research could focus on determining the biodistribution, Pharmacodynamics, and pharmacokinetics in humans, as well as screening for safety and demonstrating the preliminary efficacy of the isolated compound. It is critical to comprehend how the in-vivo environment influences its long-term structural organization, retention, and clearance.
Methods
Sample collection
Live Brittle star; O. dentata with body weight (50–200 g) were collected in June 2019 from the Red Sea shore at Hurghada, Egypt, from the tidal zone in front of the Marine biological station (NIOF), at about 4–10 m deep between latitude 27.28°N and longitude 33.77° E. This species is among the most abundant brittle star observed in the area. Samples were identified according to their morphological characteristics with taxonomic reference28. Voucher specimens (2019-618MS) have been deposited at the National Institute of Oceanography and Fisheries, Egypt. Samples were washed, packed in polypropylene bags, and immediately frozen before being transported to the laboratory and stored at − 20 °C until use.
Extraction and isolation
The whole bodies of brittle star O. dentata (1 kg) were extracted with CHCl3/MeOH at room temperature three times then concentrated under reduced pressure until they were dried. The resultant residue was kept frozen at − 20 °C for further purification and analysis. The crude extract (14.62 g) of brittle star (O. dentata) was subjected to (1ry) column packed with silica gel size of 60–200 µm (70–230 mesh) and elution via mobile phase Hexane: DCM (100:0%) then (95:5%) and increasing the polarity until reaching (0:100%). Consequently, 250 fractions were collected, and fractions with the same RF value were combined to give 32 fractions, as shown in supplementary Fig. S1.
Finally, we isolated a new compound namely 5α-cholesta-4(27), 24-dien-3β, 23 β-diol (Fig. 1) from O. dentata with TLC (DCM: MeOH, 99:1 v/v): Rf = 0.53; 1H NMR (400 MHz, CDCl3): δ 1.05 (m, 2H), 1.80 (m, 2H), 1.06 (d, J = 10 Hz, 3H), 2.04 (d, J = 8.8 Hz, 2H), 5.93 (m, 1H), 5.09 (d, J = 10.8 Hz, 2H), 5.23 (d, J = 17.2 Hz, 2H), 1.44 (s, 3H), 4.67 (s, 2H), 4.93 (s,2H); 13C NMR (125 MHz, CDCl3): δ 145.6, 145.1, 111.7, 109.1, 73.3, 67.3, 53.2, 46.1, 41.3, 37.1; IR: 3424 cm−1, 1742 cm−1; HREIMS (m/z): C27H44O2, 400.6470.
Spectroscopic characterization of the isolated compound
NMR analysis
The 1H NMR and 13C NMR analysis was measured at Bruker AVANCE 400 MHZ NMR spectrometers at the University of Winnipeg, Canada, using Deuterated chloroform (CDCl3). COSY, HSQC, HMBC, and NOESY were also measured. Chemical shift (δ) values were given in ppm while coupling constants (J) in Hz.
FT-IR analysis
The compound's functional groups were identified using infrared spectroscopy. The powdered compound was mixed 1:1 with dried KBr powder to make a compressed pellet using the Bruker Alpha Fourier transform infrared spectroscopy spectrometer with the subsequent recording of infrared spectrum in the transmission mode from 4000 to 400 cm−1.
GC–MS analysis
The compound was subjected to GC–MS to identify and confirm the structure of the purified bioactive compound. The sample was analyzed in an Agilent 7890A-5975C high-resolution gas chromatography-mass spectroscopy instrument. The carrier gas was Helium, and the analysis was performed at 90–300 °C. The identification and confirmation of the structure of the compound were made using computer matching of spectral data with that of standards.
Molecular docking analysis of isolated compound
The target proteins' crystal structures: (i) Main protease of COVID-19 (Mpro) (PDB ID: 6lu7, resolution: 2.16 Å), (ii) non-structural protein (nsp10) (PDB ID: 6W4H, resolution: 1.80 Å), and (iii) RNA-dependent RNA polymerase (PDB ID: 7BV2, resolution: 2.50 Å) were downloaded from Protein Data Bank (http://www.pdb.org). Molecular Operating Environment (MOE) was used for the docking analysis29. The free energies and binding modes of the tested molecules against target proteins were established in this investigation. Water molecules were first eliminated from target proteins crystal structures, leaving only one chain required for binding. The reference ligands were co-crystallized. The hydrogen atoms were then hidden, and the protein structures were protonated. Afterward, the MMFF94x force field was used to reduce the energy. After that, the binding pockets of each protein were defined30,31,32.
ChemBioDraw Ultra 14.0 was used to draw the structure of the investigated compound and the co-crystallized ligands, which were saved as SDF formats. Subsequently, the stored files were opened using MOE software, and 3D structures were protonated. The MMFF94x force field was then applied to minimize the energy of the molecules. Validation processes for each target receptor were carried out by running the docking process for only the co-crystallized ligand. Valid performance is indicated by low RMSD values between docked and crystal conformations33,34. The output from the MOE software was further analyzed and visualized using the Discovery Studio 4.0 software35,36,37,38.
In silico ADMET analysis
Discovery studio 4.0 was used to determine the compound's ADMET descriptors (absorption, distribution, metabolism, excretion, and toxicity). According to the small molecule preparation protocol, the compound was prepared and minimized after applying the CHARMM force field. These studies were then carried out using the ADMET descriptors procedure33,36.
In silico toxicity studies
Discovery studio 4.0 was used to calculate the toxicity parameters of the isolated compound. Lopinavir was used as a reference drug. The toxicity prediction (extensible) protocol calculated various parameters36,39,40.
Determination of anti-SARS-CoV2 activity
In order to evaluate the antiviral activity of the isolated compound, the plaque reduction assay was carried out according to Mustafa et al.27 at the main laboratories of chemical warfare in Egypt. Percentage reduction in plaques formation in comparison to control wells was recorded as follows:
MTT cytotoxicity assay
MTT assay, an in-vitro cytotoxicity test, was used to measure cell viability and membrane damage following van de Loosdrecht et al.41. Sample dissolved in 10% DMSO, then tested against human gingival fibroblast cell lines (obtained as a gift from faculty of medicine, Egypt) by using 3-(4,5-dimethylthiazol-2-yl)-2,5-diphenyltetrazolium bromide (MTT). A microplate reader (ASYS-EXPERT 96) was utilized to measure the optical density at 540 nm. The changes in the morphology of cells exposed to the isolated compound were monitored using inverted microscopy and Biorad (ZOE fluorescent cell imager).
Anti-inflammatory activity
The isolated compound's anti-inflammatory activity in-vitro was assessed by the human red blood corpuscles (HRBCs) membrane-stabilizing method42. The percentage membrane stabilization was calculated using the following formula:
Statistical analysis
SPSS version 16 was used to analyze the data obtained using one-way analysis of variance (ANOVA). Values are expressed as mean ± SD (n = 3). P values ≤ 0.05 were considered significant.
Data availability
All data generated or analyzed during this study are included in this published article (and its Supplementary Information files).
References
Rivero-Segura, N. A. & Gomez-Verjan, J. C. In silico screening of natural products isolated from Mexican herbal medicines against COVID-19. Biomolecules 11, 216 (2021).
Harrison, C. Coronavirus puts drug repurposing on the fast track. Nat. Biotechnol. 38, 379–381 (2020).
Khalifa, S. A. M. et al. Screening for natural and derived bio-active compounds in preclinical and clinical studies: One of the frontlines of fighting the coronaviruses pandemic. Phytomedicine 85, 153311 (2021).
El-Seedi, H. R. et al. Plants mentioned in the Islamic Scriptures (Holy Qur’ân and Ahadith): Traditional uses and medicinal importance in contemporary times. J. Ethnopharmacol. 243, 112007 (2019).
Blunt, J. W., Copp, B. R., Keyzers, R. A., Munro, M. H. G. & Prinsep, M. R. Marine natural products. Nat. Prod. Rep. 31, 160–258 (2014).
Sudek, S. et al. Identification of the putative bryostatin polyketide synthase gene cluster from ‘Candidatus Endobugula sertula’, the uncultivated microbial symbiont of the marine bryozoan Bugula neritina. J. Nat. Prod. 70, 67–74 (2007).
Fayed, M. A. A. et al. Structure- and ligand-based in silico studies towards the repurposing of marine bioactive compounds to target SARS-CoV-2. Arab. J. Chem. 14, 103092 (2021).
Lee, J. et al. A new 2,3-dimethyl butenolide from the brittle star Ophiomastix mixta. Chem. Pharm. Bull. 55, 459–461 (2007).
Murgueitio, M. S., Bermudez, M., Mortier, J. & Wolber, G. In silico virtual screening approaches for anti-viral drug discovery. Drug Discov. Today Technol. 9, e219–e225 (2012).
Raj, U. & Varadwaj, P. K. Flavonoids as multi-target inhibitors for proteins associated with ebola virus: In silico discovery using virtual screening and molecular docking studies. Interdiscip. Sci. Comput. Life Sci. 8, 132–141 (2016).
Gao, Y. et al. Structure of the RNA-dependent RNA polymerase from COVID-19 virus. Science 368, 779–782 (2020).
Jin, Z. et al. Structure of Mpro from SARS-CoV-2 and discovery of its inhibitors. Nature 582, 289–293 (2020).
Dai, W. et al. Structure-based design of antiviral drug candidates targeting the SARS-CoV-2 main protease. Science 368, 1331–1335 (2020).
Sayed, A. M. et al. Nature as a treasure trove of potential anti-SARS-CoV drug leads: A structural/mechanistic rationale. RSC Adv. 10, 19790–19802 (2020).
Shaldam, M. A., Yahya, G., Mohamed, N. H., Abdel-Daim, M. M. & Al Naggar, Y. In silico screening of potent bioactive compounds from honeybee products against COVID-19 target enzymes. Environ. Sci. Pollut. Res. https://doi.org/10.1007/s11356-021-14195-9 (2021).
Yang, X. W. et al. Isolation and structural characterisation of five new and 14 known metabolites from the commercial starfish Archaster typicus. Food Chem. 124, 1634–1638 (2011).
Popov, R. S. et al. Aphelasteroside F, a new asterosaponin from the far eastern starfish Aphelasterias japonica. Nat. Prod. Commun. 11, 1934578X1601100913 (2016).
Xia, X., Maliski, E. G., Gallant, P. & Rogers, D. Classification of kinase inhibitors using a Bayesian model. J. Med. Chem. 47, 4463–4470 (2004).
BIOVIA. QSAR, ADMET and Predictive Toxicology. https://www.3dsbiovia.com/products/collaborative-science/biovia-discovery-studio/qsar-admet-and-predictive-toxicology.html (2020).
Venkatapathy, R., Wang, N. C. Y., Martin, T. M., Harten, P. F. & Young, D. Structure-activity relationships for carcinogenic potential. Gen. Appl. Toxicol. https://doi.org/10.1002/9780470744307.gat079 (2009).
Goodrnan, G. & Wilson, R. Comparison of the dependence of the TD50 on maximum tolerated dose for mutagens and nonmutagens. Risk Anal. 12, 525–533 (1992).
Krewski, D., Gaylor, D. W., Soms, A. P. & Szyszkowicz, M. An overview of the report: Correlation between carcinogenic potency and the maximum tolerated dose: Implications for risk assessment. Risk Anal. 13, 383–398 (1993).
Diaza, R. G. et al. Comparison of in silico tools for evaluating rat oral acute toxicity. SAR QSAR Environ. Res. 26, 1–27 (2015).
Pizzo, F. & Benfenati, E. In silico models for repeated-Dose Toxicity (RDT): Prediction of the No Observed Adverse Effect Level (NOAEL) and Lowest Observed Adverse Effect Level (LOAEL) for drugs. In Methods in Molecular Biology Vol. 1425 (2016).
Venkatapathy, R., Moudgal, C. J. & Bruce, R. M. Assessment of the oral rat chronic lowest observed adverse effect level model in TOPKAT, a QSAR software package for toxicity prediction. J. Chem. Inf. Comput. Sci. 44, 1623–1629 (2004).
Wilhelmus, K. R. The Draize eye test. Surv. Ophthalmol. 45, 493–515 (2001).
Mostafa, A. et al. Fda-approved drugs with potent in vitro antiviral activity against severe acute respiratory syndrome coronavirus 2. Pharmaceuticals 13, 443 (2020).
Gondim, A., Alonso, C., Pereira Dias, T. L., de Castro Manso, C. L. & Lindsey Christoffersen, M. A taxonomic guide to the brittle-stars (Echinodermata, Ophiuroidea) from the State of Paraíba continental shelf, Northeastern Brazil. Zookeys 307, 45 (2013).
Martins, N., Petropoulos, S. & Ferreira, I. C. F. R. Chemical composition and bioactive compounds of garlic (Allium sativum L.) as affected by pre- and post-harvest conditions: A review. Food Chem. 211, 41–50 (2016).
El-Gamal, K. M., El-Morsy, A. M., Saad, A. M., Eissa, I. H. & Alswah, M. Synthesis, docking, QSAR, ADMET and antimicrobial evaluation of new quinoline-3-carbonitrile derivatives as potential DNA-gyrase inhibitors. J. Mol. Struct. 1166, 15–33 (2018).
Li, N. et al. Screening of some sulfonamide and sulfonylurea derivatives as anti-Alzheimer’s agents targeting BACE1 and PPAR γ. J. Chem. 2020 1–19 (2020).
Hagras, M. et al. Discovery of new quinolines as potent colchicine binding site inhibitors: Design, synthesis, docking studies, and anti-proliferative evaluation. J. Enzyme Inhib. Med. Chem. 36, 640–658 (2021).
Ibrahim, M. K. et al. Design, synthesis, molecular modeling and anti-hyperglycemic evaluation of quinazolin-4(3H)-one derivatives as potential PPARγ and SUR agonists. Bioorganic Med. Chem. 25, 4723–4744 (2017).
Elmetwally, S. A., Saied, K. F., Eissa, I. H. & Elkaeed, E. B. Design, synthesis and anticancer evaluation of thieno[2,3-d]pyrimidine derivatives as dual EGFR/HER2 inhibitors and apoptosis inducers. Bioorg. Chem. 88, 102944 (2019).
Mahdy, H. A. et al. Design, synthesis, molecular modeling, in vivo studies and anticancer evaluation of quinazolin-4(3H)-one derivatives as potential VEGFR-2 inhibitors and apoptosis inducers. Bioorg. Chem. 94, 103422 (2020).
El-Zahabi, M. A. et al. Design, synthesis, molecular modeling and anti-hyperglycemic evaluation of phthalimide-sulfonylurea hybrids as PPARγ and SUR agonists. Bioorg. Chem. 91, 103115 (2019).
El-Naggar, A. M., Eissa, I. H., Belal, A. & El-Sayed, A. A. Design, eco-friendly synthesis, molecular modeling and anticancer evaluation of thiazol-5(4:H)-ones as potential tubulin polymerization inhibitors targeting the colchicine binding site. RSC Adv. 10, 2791–2811 (2020).
Nasser, A. A. et al. Discovery of new pyrimidine-5-carbonitrile derivatives as anticancer agents targeting EGFRWTand EGFRT790M. Org. Biomol. Chem. 18, 7608–7634 (2020).
Alanazi, M. M. et al. New bis([1,2,4]triazolo)[4,3-a:3′,4′-c]quinoxaline derivatives as VEGFR-2 inhibitors and apoptosis inducers: Design, synthesis, in silico studies, and anticancer evaluation. Bioorg. Chem. 112, 104949 (2021).
Alesawy, M. S. et al. In silico studies of some isoflavonoids as potential candidates against COVID-19 targeting human ACE2 (hACE2) and viral main protease (Mpro). Molecules 26, 2806 (2021).
van de Loosdrecht, A. A., Beelen, R. H. J., Ossenkoppele, G. J., Broekhoven, M. G. & Langenhuijsen, M. M. A. C. A tetrazolium-based colorimetric MTT assay to quantitate human monocyte mediated cytotoxicity against leukemic cells from cell lines and patients with acute myeloid leukemia. J. Immunol. Methods 174, 311–320 (1994).
Anandarajagopal, K. In-vitro anti-inflammatory evaluation of crude Bombax ceiba extracts. Eur. J. Med. Plants 3, 99 (2013).
Acknowledgements
We thank the Department of Chemistry, University of Winnipeg, Canada, where the elucidation of structures was completely achieved under the supervision of Prof. Athar Ata.
Funding
Open access funding provided by The Science, Technology & Innovation Funding Authority (STDF) in cooperation with The Egyptian Knowledge Bank (EKB).
Author information
Authors and Affiliations
Contributions
M.S.M.A.E.H., M.A.E.D., and D.A.G. conceptualized and designed the study. M.S.M.A.E.H. performed the isolation and structure elucidation. M.G.A. performed the anti-inflammation activity assay. A.S.A.A. performed the MTT assay. M.G.S., M.F.E., and O.B. performed the anti-COVID-19 assay. M.S.M.A.E.H. wrote the original draft. M.S.M.A.E.H., M.A.E.D., and D.A.G. contributed to writing and editing the manuscript. The final manuscript was read and approved by all authors.
Corresponding author
Ethics declarations
Competing interests
The authors declare no competing interests.
Additional information
Publisher's note
Springer Nature remains neutral with regard to jurisdictional claims in published maps and institutional affiliations.
Supplementary Information
Rights and permissions
Open Access This article is licensed under a Creative Commons Attribution 4.0 International License, which permits use, sharing, adaptation, distribution and reproduction in any medium or format, as long as you give appropriate credit to the original author(s) and the source, provide a link to the Creative Commons licence, and indicate if changes were made. The images or other third party material in this article are included in the article's Creative Commons licence, unless indicated otherwise in a credit line to the material. If material is not included in the article's Creative Commons licence and your intended use is not permitted by statutory regulation or exceeds the permitted use, you will need to obtain permission directly from the copyright holder. To view a copy of this licence, visit http://creativecommons.org/licenses/by/4.0/.
About this article
Cite this article
Abd El Hafez, M.S.M., AbdEl-Wahab, M.G., Seadawy, M.G. et al. Characterization, in-silico, and in-vitro study of a new steroid derivative from Ophiocoma dentata as a potential treatment for COVID-19. Sci Rep 12, 5846 (2022). https://doi.org/10.1038/s41598-022-09809-2
Received:
Accepted:
Published:
Version of record:
DOI: https://doi.org/10.1038/s41598-022-09809-2









