Abstract
Ganges River dolphins echolocate, but this mechanism is inadequate for poor sonar-echoing objects such as the monofilament gillnets, causing considerable net entanglement related mortalities. Net entanglement related deaths are one of the major causes of cetacean population decline around the world. Experiments were carried out to understand the use of pingers—an acoustic deterrent, in aiding the deterrence of dolphins from fishing nets. Based on the dolphin clicks recorded, in an experimental setup spanning 36 days, a 90% deterrence was found; 22.87 ± 0.71 SE dolphin detection positive minutes per hour near non-pingered nets versus 2.20 ± 0.33 SE per hour near pingered net. Within 30 m radii of nets, visual encounters of non-calf reduced by 52% and calf by 9%, in the presence of pingers. No evidence of habituation to pingers, habitat avoidance in dolphins after pinger removal or a change in fish catch in nets because of pingers was found during the study. While the effectiveness of pingers on calves and fish catch needs further experimentation, the use of pingers to minimize net entanglement mortalities in the Ganges River dolphins seems to be the most promising solution currently available. These results have critical implications for the conservation of other species of river dolphins around the world.
Similar content being viewed by others
Introduction
The Ganges River dolphins (Platanista gangetica) are endangered freshwater cetaceans that have adapted to inhabit the turbid waters of the Ganga–Meghna–Brahmaputra–Karnaphuli–Sangu river systems in the Indian subcontinent1,2,3. As part of this adaptation, Ganges River dolphins have reduced visual abilities4,5, allowing them to only perceive directionality of light sources, but not to identify or resolve objects underwater6. Therefore, they depend on their echolocation abilities, rather than on visual cues, for most of their activities such as foraging, navigation and intraspecific communication. The echolocation mechanism of these dolphins involves a ceaseless emission and reception of biosonar clicks to recognize the presence of objects underwater7,8. While this suffices in most cases, it is inept at recognizing objects such as the monofilament gillnets; monofilament nets, especially those of nylon, have density similar to water and hence give poor sonar echo9,10. This has led to a considerable number of dolphin net entanglements that have been lethal in many cases and increased chances of getting bycaught in others3,11,12.
The probability of dolphin net entanglements, either in the deployed fishing nets or ghost nets (nets that are discarded or strewn in the river), is currently unknown. However, the river systems that the Ganges River dolphins inhabit record a considerable intensity of fishing activities, especially of the monofilament gillnets. From the surveys conducted, active gillnet fishing averages at least one net every 2 km in the Brahmaputra mainstream and one net every 3 km in the Ganga mainstream13. Net entanglements may be classified as ‘accidental’ in many cases; however observations from local fishers have revealed that dolphins feed on the fish that are caught in the deployed fishing nets, and this behavior further increases their propensity to become entangled. A dolphin, once entangled, has narrow chances of being set free. A social survey of fishers in West Bengal revealed that 95% of them have stated they sell the dolphins, if and when they are bycaught, for their oil, rather than rescuing and releasing them back14. The mortalities that may hence arise from these net entanglements will certainly not be negligible. Reports reveal that out of the 21 known mortalities of dolphins, in Brahmaputra, in 2008 alone, 20 were victims of net entanglement15, as were 7 out of the 14 deaths that were recorded between 2018 and 2020 in the rivers of West Bengal (Qureshi et al., unpublished). Given that the species population is decreasing16, it is imperative to examine and implement a managerial intervention and ensure minimal net entanglement-related mortalities, to ensure the long-term survival of the species.
Cases of net entanglement mortalities and the need for managerial intervention are not novel to aquatic ecosystems; they span multiple species of cetaceans17,17,18,20, and many studies have been carried out to identify and adopt methods that can deter animals from deployed fishing gear. Among these, some deterring mechanisms tested for gillnets include using acoustically reflective nets, visually detectable nets, ‘‘buoyless’’ nets, reduced-strength nets, nets with weak links21,21,22,23,24,26 or deploying sound producing devices on nets26. Acoustically reflective nets, which involve changing net gear material or adding acoustic reflective materials such as metals to increase the acoustic detectability of the nets, have not been efficient in deterring27,27,28,30. Alternatively, increasing the visibility of nets by using light-emitting diodes or using particular net rope colours has worked in deterring only some marine cetaceans31,32 that are capable of underwater vision. Sound producing devices with low acoustic outputs are effective in deterring small cetaceans, in some species but not in others32,33, depending on many factors including aspects like species’ communication34 and behavioural differences17,26. For deterring a species that relies mostly on echolocation rather than visual cues, such as the Ganges River dolphins, and in habitats where sustenance fishing is prevalent, a deterrent that is acoustic and economically viable, less invasive and easier to adopt is more likely to aid in reducing bycatch mortalities. Among the available options, sound producing devices also known as pingers, would be the best suited for the Ganges River dolphins. The deployment of such a device on fishing nets should, in theory, act as an indication of the presence of an object to river dolphins within a spherical range. This would subsequently act as a warning signal and deter the dolphins from approaching the fishing nets. Pingers as deterrents have been tested for some river dolphins; in Franciscana dolphins, from a 2-year long study, it was reported that the bycatch rate was 10 times lower in nets with pingers than in those without pingers35, and an ongoing study on Irrawaddy dolphins reports that the minimum distance of dolphin approach to nets with pingers is 10 m away, unlike those without pingers36. A similar trial was carried out for the Ganges River dolphins in one of the Brahmaputra tributaries (Kulsi)37. Through visual observation of dolphin surfacing, it was seen that the minimum distance of approach of dolphins to nets shifted from <1 m to >5 m in the presence of pingers on the net37. However, as this study did not have supporting acoustic evidence to corroborate these observations, and since efficacy of this method for prolonged use should be established, further research is needed.
While the visual study by Deori et al.37 demonstrated evidence of visual deterrence, it is important to assess, in a robust manner, whether pingers can be a viable option for long-term and extensive use. To do so, one must unequivocally establish that there are negligible long-term effects that might lead to increased risk. There is concern that pingers, instead of deterring, tend to function as an unintentional dinner bell and thereby increase entanglement probability28,38,39. Acoustic deterrents are sometimes found to deter dolphins permanently, causing loss of habitat available to dolphins17,40. Since pingers are acoustic emitters with set acoustic characteristics, the response to pingers might vary with the dolphin age class, as the ability to process the directionality of returning echoes through head scanning develops over age after a postnatal period, suggesting a weaker pinger response in calves compared to non-calves40. Using pingers might also cause a change in the dolphin vocalization patterns, as dolphins have shown a masking behavior, i.e., altering their acoustic characteristics in the presence of anthropogenic noise41. Similarly, fish have also been reported to become acoustically deterred by pingers42,43, thereby reducing their usability by fishers. Considering these potential impacts, in our current study, we address the important questions by (a) quantifying the efficacy of pingers as a deterrent and the response of different age classes of dolphins, (b) assessing the possibility of detrimental effects such as long-term area avoidance or change in vocalization patterns and (c) assessing the effect on fish catch.
Study area, materials and methods
The study was carried out in a stretch of the river along Guwahati, a part of the Brahmaputra mainstream in the Assam State of India (Fig. 1). The site was chosen after a preliminary survey, ensuring that there is a presence of a resident population of at least 10 dolphins within a 10 km radius, including calves. The project was accorded appropriate permissions by the MoEFCC and Forest Department of Assam, who regulate research permissions, keeping in view the status of the species. The study was carried out in accordance with relevant guidelines and regulations.
Study area map showing the site for pinger experiment near Guwahati (Inset: State map of India with Assam State highlighted), generated using QuickOSM plugin for QGIS, Version 1.16.0 (https://github.com/3liz/QuickOSM), and visualized through QGIS software version 3.8.2.
Pingers are acoustic emitters that produce sonar sounds at regular intervals. In the current study, pingers used were manufactured by Future Oceans Inc and were fabricated to ensure that sonic pings fall within the acoustic range of the Ganges River dolphins. These pingers produce sonic pings of a frequency of 70 kHz at a sound pressure level or loudness of 175 dB (Netshield Dolphin Anti-Depredation Pinger) with an inter-click interval of 4 ms. The effective range of the pinger was determined by deploying it at 50 m intervals for a distance of 500 m from a passive acoustic monitoring device (CPOD), and plotting a distance decay graph of the number of sonic pings recorded. CPOD records and logs acoustic data that fall within the sound spectrum of the CPOD’s hydrophones. Based on the percentage of sonic pings detected, the effective range was determined to be 150 m (Fig. 2), where the average detection was more than 75% both upstream and downstream of the CPOD.
We carried out one experiment to assess the effect of pingers on dolphins and another experiment to understand its effect on fish catch.
Experiment 1
In this experiment, the efficacy of pingers, the response of different age classes of dolphins, and the effect of prolonged use of pingers on dolphin habitat use and acoustic characteristics were quantified. For the effects of long-term use, two alternative scenarios were hypothesized: (a) dolphins will actively avoid the area post-removal of pingers, i.e., loss of available habitat for dolphins, and (b) dolphins will continue using the area post-removal of pingers, i.e., the presence of pingers does not deter future use of habitat. This aspect is extremely crucial to understand if pingers are to be proposed for widespread use to ensure that an extensive use does not lead to habitat loss for the dolphins. We also tested whether the use of these acoustic deterrents has an effect on dolphin acoustic characteristics.
To address the above three objectives, a control-treatment experiment was set up in a stretch of Brahmaputra in Guwahati, Assam, during December 2020–March 2021. The fishing net deployed was in accordance with the practices of the local fishers for that particular season; in this case, it was a nylon bottom gillnet of mesh size 15 mm and a length of 100 m. The pingers deployed were at a regular interval of 50 m along the length of the net. A CPOD was deployed parallel to the net, hereinafter referred to as the pingered CPOD. This CPOD was deployed 100 m away from the centre of the net in order to avoid logging of loud sonic pings that might mask the clicks of the Ganges River dolphins around it. The CPOD was kept active for 24 h a day until the experiment was completed. The controls used were spatial and temporal to address the different objectives (experimental setup in Fig. 3). There were two control CPODs 400 m away (one upstream and one downstream) from the pingered net, where the effect of pingers is near negligible, hereinafter referred to as non-pingered CPODs. These two CPODs were active 24 h a day until the experiment was completed. It was hypothesized that during the active phase of pingers on the nets, there would be a reduction in the dolphin net visitation rate and therefore a reduction in the acoustic recording of dolphins on the pingered CPOD. This is substantiated by comparing the data with non-pingered CPODs, to eliminate the influence of variation brought about due to space-use by dolphins. This would serve to determine the efficacy of pingers in deterring dolphins from the pingered net. The experiment began with of a ‘pre-treatment’ phase for 6 days, where the CPODs and net were in their respective positions, but the pingers were not deployed. This was followed by a ‘treatment’ phase for 18 days, where the pingers were active. Subsequently, the pingers were removed and CPODs monitored for dolphin presence in the ‘post-treatment’ phase of 12 days.
Acoustic data
Dolphin presence was quantified by extracting the “Detection Positive Minutes” per hour (hereinafter as DPM/h) from the CPOD. DPM/h indicates the number of minutes with at least one dolphin click recorded in an hour in the CPOD. As the Ganges River dolphins ceaselessly produce biosonar clicks7,8, the DPM/h would be directly indicative of the dolphin presence within the effective range of the CPOD44. For the acoustic parameters, we extracted the most dominant frequency, sound pressure level (or loudness—SPL) and inter-click interval (ICI) of all the dolphin clicks recorded in the CPOD. All the CPOD data were extracted using the CPOD.exe software once the experiment was completed and the CPODs were retrieved. During data extraction, clicks classified by the CPOD software as "other cetaceans" in "high" and "moderate" quality (an index of the accuracy of classification; CPOD manual by Chelonia Ltd.) were only used.
Visual data
A visual observation team consisting of one observer and one recorder were stationed on the bank at the site of deployment of fishing net and recorded dolphin surfacing from 0930 to 1530 h throughout the treatment and post-treatment phases, summing to 25 days. The team, however, was not aware of the experimental phase, i.e., whether fishing nets contained pingers or not. For each sighting of a dolphin surfacing, the observer provided the recorder with the time, angle of surfacing, estimated distance to the dolphin and age class (calf, non-calf or unknown). The compass bearing of the visual observation direction was also recorded from the observation location. The locations of the net and the pingers were also geo-mapped. These details were used to project and determine the GPS locations of all the dolphin-surfacing recordings and thereby to calculate the distance of dolphin approach to the fishing net.
Analytical methods
Data was analysed in Excel and RStudio using the Base package and visualizations were performed using ggplot2::ggplot45 in RStudio vers 1.4.171746.
Efficacy of pingers in deterring dolphins
To establish that the control/non-pingered sites and treatment/pingered sites have comparable dolphin activity, acoustic data (DPM/h) were compared, using ANOVA’s, during the pre-treatment phase from all the three deployed CPODs. To determine the efficacy of pingers as deterrents (a) non-pingered CPODs and pingered CPOD during the treatment phase were compared47, and (b) pingered CPOD during the pre-treatment and treatment phases were compared, using ANOVA and Tukey’s HSD. This data was corroborated using Kolmogorov-Smirnov tests on visual observation47. The reduction in DPM/h at the pingered CPOD or approach distance to the net during the treatment phase demonstrates the efficacy of pingers as deterrents.
Effect of extensive use of pingers on habitat use and acoustic characteristics of dolphins
Sustained deterrence from an area might lead to long-term avoidance of habitat by dolphins. In such a scenario, widespread use of pingers would mean a reduction in habitat available for dolphins. To understand if there is such an effect, the DPM/h at pingered CPOD during the pre-treatment and post-treatment phases was compared using ANOVA and Tukey’s HSD.
Similarly, since the deterrent used is acoustic, there is a possibility of an acoustic response of dolphins to the presence of these pingers. We assessed whether there was a change in acoustic characterization of dolphin vocalization during the deployment of pingers, and whether this change persisted after the removal of pingers. The acoustic characteristics—SPL, frequency and ICI of dolphins during pre-treatment, treatment and post-treatment phases at the pingered CPOD—were compared using chi-squared test47. We also assessed if there is an increased or decreased usage of a particular frequency, SPL or ICI range, especially around the characteristics of the pinger used—70 kHz frequency, 175 dB SPL and 4 ms ICI. We calculated the proportion of usage of frequency, SPL and ICI in each 10-unit bin, i.e., the proportion of usage, for example, in 10–20 kHz, 21–30 kHz frequency bin, for each of the three experiment phases recorded at the pingered CPOD. We located the change by doing a pair-wise comparison between the three experiment phases by comparing the values of the effect sizes in each of these 10-unit bins of frequency, SPL and inter-click interval. Effect size being a direct measure of the magnitude of difference between two groups, values are directly indicative with larger effect size indicating higher differences.
Response of different age-classes of dolphins to pingers
To understand the response of different age class dolphins to pingers, we compared their approach distances during the presence and absence of pingers, using chi-squared test.
Experiment 2
To understand the effect of pingers on fish catch, we measured the fish catch from the pingered net laid for Experiment 1, for 10 consecutive days (5 days each during pingered and non-pingered phases). We used a temporal control-treatment set up to address this objective, where fish catch was measured during the time when pingers were deployed on the net, and compared with the fish catch after removal of pingers. In this setup, the pingered phase preceded the non-pingered phase, in order to tease apart the effect of pingers and harvesting on depletion. To quantify the fish catch, the net was retrieved 2–3 times a day, the fish catch collected, and net redeployed. From the fish catch, the species caught and the total weight of fish obtained were recorded along with the fishing effort in hours. From these, catch per unit effort (CPUE) was calculated during both phases. We compared the CPUE between the two phases using a t-test.
Results
Experiment 1
Efficacy of pingers in deterring dolphins
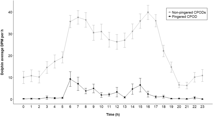
The pre-treatment phase of 6 days yielded 109 h of acoustic data. There was no difference in dolphin presence (DPM/h) in the three deployed CPOD sites (ANOVA F = 0.842, p = 0.435), indicating that the three sites were comparable before treatment. The treatment phase of 18 days yielded 414 h of acoustic data in the pingered and the non-pingered CPODs each. There was a significant difference in the dolphin presence among the three sites (ANOVA F = 37.24, p < 0.0001). The non-pingered CPOD recorded an average DPM/h of 22.87 ± 0.71 SE per h, while the pingered CPODs recorded an average DPM/h 2.20 ± 0.33 SE per h (Tukey's HSD p < 0.001) (Fig. 4). The dolphin presence in the pingered CPOD was significantly lower during the treatment phase, than during the pre-treatment phase (ANOVA F = 39.92, p = 3.03e−12; Tukey's HSD p < 0.001) (Fig. 5), indicating that pingers effectively deterred the dolphins.
The visual observation yielded 112 h of data of dolphin surfacing collected over a period of 25 days with 4800 encounters of dolphin surfacing within 700 m radii of the observation team. The visual data on surfacing dolphins showed that, within 30 m from the net, there was a reduction of almost 50% of dolphin surfacings during pingered phase (14.76% surfacing), when compared to the non-pingered phase (27.74%) (KS test D = 0.9, p < 0.001).
Long-term effect of deterrent usage on habitat use by dolphins
The post-treatment phase of 12 days yielded 263 h of acoustic data in the pingered and the non-pingered CPODs each. There was no difference in the average dolphin DPM/h recorded during the pre-treatment phase (20.91 ± 1.82 SE per h) and post-treatment phase (27.89 ± 1.04 SE per h; Tukey’s HSD p = 0.42), indicating that the dolphin presence recovers upon removal of pingers and that the deterrence is not persistent (Figs. 5 and 6).
Dolphin acoustic behaviour during the presence and absence of acoustic deterrent device
Modal frequency
The most dominant frequency used by the dolphin was 82.52 ± 0.09 SE kHz during the pre-treatment, 81.17 ± 0.10 SE kHz during the treatment and 83.73 ± 0.06 SE kHz during the post-treatment phases. There was no significant difference found in the modal frequency used by dolphins during the pre-treatment and post-treatment phases (chisq value = 16.09, p = 0.13, df = 11). However, there was a significant difference between the pre-treatment and treatment phases as well as between the treatment and post-treatment phases (pre-treatment and treatment: chisq value = 56.11, p < 0.001, df = 11; treatment and post-treatment: chisq value = 65.94, p < 0.001, df = 11) (Fig. 7a). Effect size ranged from 0 to 6.00 for all frequency bins between pre-treatment and post-treatment phases, however, on comparing the pre-treatment and post-treatment with the treatment phase, the effect size ranged from 0 to 6.75 for all the frequency bins except a peak in the 60–80 kHz bin (effect size range: 9.44 to 17.93) (Supplementary Figure S1). This marginal shift of dolphin frequency usage in the 60–80 kHz bin during the treatment phase also happens to be the frequency of the pinger, and this shift reverts on removal of pingers.
(a) Density plot of dominant frequency of dolphin clicks (kHz) during the three phases of the experiment, (b) Density plot of sound pressure level of dolphin clicks (Pa) during the three phases of the experiment and (c) Density plot of inter-click intervals of dolphin clicks (ms) during the three phases of the experiment.
Sound pressure level
The sound pressure level (i.e., loudness) used was 98.33 ± 0.31 SE Pa during the pre-treatment, 95.27 ± 0.35 SE Pa during the treatment and 101.99 ± 0.22 SE Pa during the post-treatment phases. The sound pressure level did not differ significantly in the three phases of the experiment (pre-treatment and post-treatment: chisq value = 3.65, p = 1, df = 23; pre-treatment and treatment: chisq value = 15.27, p = 0.88, df = 23; treatment and post-treatment: chisq value = 15.93, p = 0.85, df = 23) (Fig. 7b). The effect size ranged from 0 to 3.01 for all the SPL bins (Supplementary Figure S2).
Inter-click interval
The inter click interval (ICI) which is the time difference between two clicks within a dolphin train was found to be 27.88 ± 0.06 SE ms during the pre-treatment, 21.24 ± 0.06 SE ms during the treatment and 30.58 ± 0.04 SE ms during the post-treatment phases. There was a significant difference in the dolphin inter-click interval in the three phases of the experiment (pre-treatment and post-treatment: chisq value = 76.43, p < 0.001, df = 9; pre-treatment and treatment: chisq value = 276.01, p < 0.001, df = 9; treatment and post-treatment: chisq value = 376, p < 0.001, df = 9) (Fig. 7c), indicating a shift in the dolphin inter-click interval (Supplementary Figure S3). The effect size ranged from 1.16 to 23.43 for all the bins except a peak in the 10–20 ms (effect size: 35.92) in the presence of pingers. On removal of pingers, the effect size ranged from 2.97 to 16.12 for all the bins except for a peak in the 10–20 ms and 30–40 ms (effect size: 41.48 and 34.99).
Response of dolphins of different age classes to pingers
The visual data of 112 h of dolphin surfacing encompasses 4800 dolphin surfacings (3029 non-calves, 613 calves). In the 30 m zone from the fishing net, the total percentages of non-calf and calf sightings were 31% and 23%, respectively during the non-pingered phase. However, within the same zone during the pingered phase, the average percentages of non-calf and calf sightings were 16% and 21%, respectively. This indicates a 52% significant reduction (chisq value = 66.46, df = 10, p < 0.05) in the non-calf surfacings within a 30 m zone from pingered-nets (Fig. 8). However, for the calves, while there was a 9% reduction within the 30 m zone, there was no significant difference between the pingered and non-pingered phases (chisq value = 9.19, df = 9, p = 0.42) (Fig. 9).
Experiment 2
Effect of pingers on fish catch in nets
An average of 116 ± 32.19 SE kg of fish catch was obtained in the pingered phase, and 160 ± 29.66 SE kg in the non-pingered phase. Four species of fish were captured during the pingered phase, viz., Crossocheilus latius, Gagata cenia, Botia dario and Johnius coitor, while one species of fish was captured during the non-pingered phase, viz., Gagata cenia. There was no significant difference in the average CPUE of fish during the pingered phase with 0.003 ± 0.02 SE fish per unit hour and non-pingered phase with 0.0024 ± 0.00 SE fish per unit hour (t-test p = 0.14, df = 8).
Discussion
Net entanglement related mortalities are one of the major threats for both marine and freshwater cetaceans, prominently the incidental catch or bycatch of cetaceans in fishing gear2,14,48,47,48,49,52. In recent times, bycatch mortality due to fishing gear has led to the extinction of cetaceans such as Vaquita (Phocoena sinus)53,54 and the Yangtze River dolphin (Lipotes vexillifer)55. In the case of riverine dolphins and other dolphins, the risk of bycatch is particularly high, as preferred dolphin habitats coincide with prime fishing areas, especially those using gill nets. Furthermore, no-fishing regions are sparse unlike the marine system56,55,56,57,60, thus implementation of successful bycatch mitigation measures in freshwater ecosystems are imperative for the conservation of river dolphins.
This study assesses the efficacy and usability of employing acoustic deterrents such as pingers to reduce bycatch mortality of the endangered Ganges River dolphins. Pingers have been demonstrated to effectively decrease cetacean presence around pingered nets (harbour porpoises43,61, Franciscana dolphins35, short‐beaked common dolphins62, beaked whales34, narrow-ridged finless porpoises63, Burmeister's porpoise64). Our study demonstrates an 85 to 95% decline in detection positive minutes of dolphin clicks with the use of pingers (Fig. 5). For a continuous emitter such as the Ganges River dolphins, this indicates an avoidance of the area when pingers are deployed on the fishing nets, which was corroborated by our visual experiment in which we see dolphin surfacing decrease by half within 30 m from the fishing net. This demonstrates that the pingers are successful in deterring dolphins, thereby minimizing the risk of entanglement and bycatch (Fig. 4).
While it is encouraging to see the effectiveness of pingers in reducing the proximity of dolphins to nets (Figs. 4, 5, 8), there are several caveats to understand before putting them into widespread use65. For a species that relies on acoustics for majority of its life history functions, the underwater soundscape is a crucial element. The continuous emittance of pings by acoustic deterrents are likely to affect the underwater soundscape and thereby affect dolphin vocalization. A study assessing the response of vessel noise on the Ganges River dolphin’s vocalization patterns showed that some of the acoustic parameters, namely, train duration, clicks per train and frequency range increased in the presence of vessel noise41. In our experiments, the acoustic characteristics of the Ganges River dolphin clicks were similar across the three phases (Fig. 7) except for an evident shift in the usage of frequency spectrum (Fig. 7a) and the inter-click interval (Fig. 7c). It is evident that this observed peak in frequency overlaps with the frequency of the pinger used—a masking behavior similar to what was seen in the Ganges River dolphins’ response to vessel noises41. However, this behavior of masking is not seen post pinger removal (Fig. 7), supporting that the effect of pingers on the dolphins is only temporary. However, it is still unclear what causes the peak in the inter-click intervals in specific bins and whether it is due to the differential use exhibited by the dolphins of different age-classes as reported by Sugimatsu et al.66. Visual data did reveal that pingers were more effective in deterring non-calves (Fig. 8) than the calves (Fig. 9) suggesting a differential response to pingers. It is already understood that the ability to determine the directionality of returning echoes develops in some cetaceans with age. Future studies should explore this aspect.
As mentioned earlier, it is important to understand the risk of using pingers, incase they either act as attractants, increasing the risk of entanglement, or permanent deterrents, thereby causing loss of available habitat for dolphins. Pingered nets have increased bycatch rates in many pinnipeds like the sea lions and cetaceans like the bottlenose dolphins due to increased depredation from the “dinner-bell” effect of pingers67,65,69. Use of pingers have caused exclusion of important habitats for some species like the harbour porpoises, due to the pinger sounds70. In some cases, pingers have lost their efficacy in deterring animals due to habituation by some species like the finless porpoises (after an 8-month period63) or the harbour porpoises (after a 10-day period71). The response to pingers seems to depend on many factors, particularly the dolphin species on target72. Our study did not find evidence to support either of these caveats (Fig. 5). The treatment phase continued for 18 days and during this entire period, there was no increase in dolphin presence near the pingered site as compared to that of the non-pingered site. Similarly, there was no increase in dolphin presence during the treatment phase compared to that of the pre-treatment phase at the pingered CPOD, collectively suggesting no “dinner-bell” effect. We also see that after pinger removal, dolphins returned to the earlier deterred area, exemplifying our point that pingers were only temporary deterrents and had no lasting effect on the habitat use of dolphins.
Preventing depredation and cetacean bycatch is the primary role of an acoustic deterrent. However, its success as a mitigation measure depends on not only its efficacy, but also its acceptance and adoptability by local fisherfolk. This choice mainly depends on its impacts on fish catch. Several studies have shown that fish are sensitive to noise, especially anthropogenic noise73,74,75,76,77, which might potentially reduce the fish catch in nets, thereby reducing its adoption success by the fishers. Our study found that the catch per unit effort of fish was not significantly different between pingered and non-pingered nets, similar to results from the marine environment62,78,79. In terms of species composition, the dominant fish captured in the pingered and non-pingered nets were comparable. This indicates that the pingers are not being detrimental to the fish catch and hence, their possibility of adoption as a bycatch mitigation measure strengthens. However, due to a change in fish season towards the end of our experiment, diversity of fish catch decreased and more data from longer experiments, spanning different seasons is required to substantiate this finding.
For the widespread and long-term use of pingers, some limitations need to be addressed. Studies have shown that a depletion in the battery level of pingers can lead to the attraction of the animals rather than displacing them17; this needs to be field-tested in the current habitat. Likewise, the differential response of dolphins of different age-classes to pingers that we obtained in our experiment needs more investigation. While we found no effect of pingers on fish catch, the influence of season or any species-specific deterrence in fish catch due to pingers and a long-term study assessing the effect of pingers on fish catch is required to recognize this impact. There are reports of habituation when pingers are used intermittently65 in a particular area. For these purposes, a complete mapping of the fishing practices along with their spatial and temporal distribution is necessary to plan the field adoption of pingers. We also need to gain insight into the willingness of fishers to adopt these devices and deploy them on their fishing nets. In this context, it is important to understand whether fishers will adopt the use of pingers while compromising on monetary benefits from dolphin bycatches. The activities leading to these monetary benefits have legal consequences, and through social surveys it is understood that only few communities are involved14, a targeted sensitization approach would be apt in this situation to gain acceptance for use of pingers. Additionally, involvement of stakeholders who work in close association with fishing communities, like fisheries department needs to be explored. These stakeholders generally have incentives for fishers, where they work towards betterment of livelihoods. When incentives for use of pingers is managed through such channels (e.g. subsidy, development of cooperatives), the communities will be more accepting of use of pingers. Another avenue to be explored is a policy decision for making use of pingers mandatory by law, like the fishing vessels of the European waters80, California and Oregon regions68. Pingers are expensive and the optimum deployment interval to maintain that is economically feasible also needs to be arrived at. Proper implementation of the pingers with the fisheries and fisherfolk needs to be planned, as it has been difficult even for some sophisticated fisheries of developed countries17. Avenues like setting up local cottage industries for manufacturing pinger like devices, which can help the local economy in parallel or possibilities for government subsidies can be explored.
Our study demonstrates that pingers are by far the most promising and effective bycatch mitigation device available for Ganges River dolphins currently. These devices will help prevent net entanglement and reduce depredation rates, which has become a significant threat to the Ganges River dolphins14,51,52. Especially for a species such as Ganges River dolphins, where the growth rate is very slow, curbing deaths due to bycatch is of utmost importance, without which population crashes and extinctions will be quick to happen and difficult to recover from. Bycatch is incidental in most cases, and pingers acting as a preventive measure would be an asset to the existing conservation measures. It also brings in a new scope of exploring a sustainable method—conserving dolphins as well as protecting the livelihoods of the people. Integrating the use of pingers with the implementation of temporal closure areas or temporary sanctuaries to double up conservation measures can be explored—this will aid in replenishing the biodiversity while causing only a minimum change in the practices of river-dependent communities.
Data availability
All data generated or processed during this study is included in the manuscript and in the Supplementary information.
References
Lal Mohan, R. S., Dey, S. C., Bairagi, S. P. & Roy, S. On a survey of the Ganges River dolphin Platanista gangetica of Bramaputra River, Assam. J. Bombay Nat. Hist. Soc. 94, 483–495 (1997).
Sinha, R.K., et al. Status and distribution of the Ganges susu (Platanista gangetica) in Ganges River system of India and Nepal in Biology and conservation of freshwater cetaceans in Asia (eds. Reeves, R. R., Smith, B. D. & Kasuya, T). 42–48 (Switzerland: Occasional Paper of the IUCN Species Survival Commission, 2000)
Sinha, R. K. & Kannan, K. Ganges River dolphin: an overview of biology, ecology, and conservation status in India. Ambio. 43,1029–1046 (2014).
Anderson, J. Anatomical and Zoological Researches: Comprising an Account of the Zoological Results of the Two Expeditions to Western Yunnan in 1868 and 1875; and A Monograph of the Two Cetacean Genera, Platanista and Orcella-Vol. 1 (Text). Vol. 1 (Bernard Quaritch, 1878).
Herald, E. S. et al. Blind river dolphin: first side-swimming cetacean. Science 166, 1408–1410 (1969).
Herald, E. S. Field and aquarium study of the blind River Dolphin (Platanista Gangetica) (California Academy of Sciences San Fransico Steinhart Aquarium, 1969).
Pilleri, G., Zbinden, K., Gihr, M. & Kraus, C. Sonar clicks, directionality of the emission field and echolocating behaviour of the Indus dolphin (Platanista indi, Blyth, 1859). Invest. Cetacea Brain Anat. Inst. Berne Switzerl. 13–43 (1976).
Jensen, F. H. et al. Clicking in shallow rivers: short-range echolocation of Irrawaddy and Ganges river dolphins in a shallow, acoustically complex habitat. PLoS ONE 8, e59284 (2013).
Pence, E.A. Monofilament gill net acoustic study. (National Mammal Laboratory, Contract 40-ABNF-5-1988,1986)
Jefferson, T. A., Würsig, B. & Fertl, D. Cetacean Detection and Responses to Fishing Gear in Marine Mammal Sensory Systems (eds. Thomas, J.A., Kastelein, R.A. & Supin, A.Y.) 663–684 (Springer, 1992)
Mansur, E. F., Smith, B. D., Mowgli, R. M. & Diyan, M. A. A. Two incidents of fishing gear entanglement of Ganges River dolphins (Platanista gangetica gangetica) in waterways of the Sundarbans mangrove forest, Bangladesh. Aquat. Mamm. 34, 362 (2008).
Sinha, R. K. An alternative to dolphin oil as a fish attractant in the Ganges River system: conservation of the Ganges River dolphin. Biol. Conserv. 107, 253–257 https://doi.org/10.1016/S0006-3207(02)00058-7 (2002).
Qureshi, Q. et al. Development of conservation action plan for river dolphin. 228 (Wildlife Institute of India, Dehradun, Uttarakhand, 2018).
Kolipakam, V. et al. Evidence for the continued use of river dolphin oil for bait fishing and traditional medicine: implications for conservation. Heliyon 6, e04690 (2020).
Wakid, A. Initiative to reduce the fishing pressures in and around identified habitats of endangered Gangetic dolphin in Brahmaputra River system. (Assam, 2010).
Braulik, G.T. & Smith, B.D. Platanista gangetica (amended version of 2017 assessment). The IUCN Red List of Threatened Species, e.T41758A151913336. https://doi.org/10.2305/IUCN.UK.2017-3.RLTS.T41758A151913336.en (2019).
Dawson, S. M., Northridge, S., Waples, D. & Read, A. J. To ping or not to ping: the use of active acoustic devices in mitigating interactions between small cetaceans and gillnet fisheries. Endanger. Species Res. 19, 201–221 (2013)
Reeves, R. R., McClellan, K. & Werner, T. B. Marine mammal bycatch in gillnet and other entangling net fisheries, 1990 to 2011. Endanger. Species Res. 20, 71–97 (2013).
Moore, M. J. et al. Fatally entangled right whales can die extremely slowly in OCEANS 2006. 1–3 (IEEE, 2006).
Meÿer, M.A. et al. Trends and interventions in large whale entanglement along the South African coast. Afr. J. Mar. Sci. 33, 429–439 (2011).
Knowlton, A. R., Hamilton, P. K., Marx, M. K., Pettis, H. M. & Kraus, S. D. Monitoring North Atlantic right whale Eubalaena glacialis entanglement rates: a 30 year retrospective. Mar. Ecol. Prog. Ser. 466, 293–302 (2012).
Knowlton, A. R. et al. Effects of fishing rope strength on the severity of large whale entanglements. Conserv. Biol. 30, 318–328 (2016).
Pace, R. M. III., Cole, T. V. & Henry, A. G. Incremental fishing gear modifications fail to significantly reduce large whale serious injury rates. Endanger. Species Res. 26, 115–126 (2014).
Salvador, G., Kenney, J. & Higgins, J. 2008 Supplement to the Large whale gear research summary. NOAA/Fisheries Northeast Regional Office, Protected Resources Division, Gloucester, MA (2008).
van der Hoop, J. M. et al. Assessment of management to mitigate anthropogenic effects on large whales. Conserv. Biol. 27, 121–133 (2013).
Hamilton, S. & Baker, G. B. Technical mitigation to reduce marine mammal bycatch and entanglement in commercial fishing gear: lessons learnt and future directions. Rev. Fish Biol. Fish. 29, 223–247 (2019).
Bordino, P., Mackay, A. I., Werner, T. B., Northridge, S. & Read, A. Franciscana bycatch is not reduced by acoustically reflective or physically stiffened gillnets. Endanger. Species Res. 21, 1–12 (2013).
Dawson, S. M. Incidental catch of Hector’s dolphin in inshore gillnets. Mar. Mamm. Sci. 7, 283–295 (1991).
Mooney, T. A., Nachtigall, P. E. & Au, W. W. Target strength of a nylon monofilament and an acoustically enhanced gillnet: predictions of biosonar detection ranges. Aquat. Mamm. 30, 220–226 (2004).
Northridge, S., Sanderson, D., Mackay, A. & Hammond, P. Analysis and mitigation of cetacean bycatch in UK fisheries. Final Report to DEFRA, Project MF0726, Sea Mammal Research Unit, School of Biology, University of St. Andrews (2003).
Mangel, J. C. et al. Illuminating gillnets to save seabirds and the potential for multi-taxa bycatch mitigation. R. Soc. Open Sci. 5, 180254 (2018).
Stephenson, P. C. & Wells, S. Evaluation of the effectiveness of reducing dolphin catches with pingers and exclusion grids in the Pilbara trawl fishery. (Department of Fisheries, Western Australia, 2006).
Santana-Garcon, J. et al. Risk versus reward: Interactions, depredation rates, and bycatch mitigation of dolphins in demersal fish trawls. Can. J. Fish. Aquat. Sci. 75, 2233–2240 (2018).
Carretta, J., Barlow, J. & Enriquez, L. Acoustic pingers eliminate beaked whale bycatch in a gill net fishery. Mar. Mamm. Sci. 24, 956–961 (2008).
Bordino, P. et al. Reducing incidental mortality of Franciscana dolphin Pontoporia blainvillei with acoustic warning devices attached to fishing nets. Mar. Mamm. Sci. 18, 833–842 (2002).
Khan, U. & Willems, D. Report of the Trinational workshop on the Irrawaddy Dolphin, 1st to 4th December 2020. 41 (WWF, Pakistan & Netherlands, 2021).
Deori, S. et al. PINGERS: can be the eyes of blind ganges dolphins (Platanista Gangetica Gangetica, Roxburgh 1801). J. Sci. Trans. Environ. Technov. 11, 169–178 (2018).
Kraus, S. D. The once and future ping: challenges for the use of acoustic deterrents in fisheries. Mar. Technol. Soc. J. 33, 90 (1999).
Mate, B. R. & Harvey, J. T. Acoustical deterrents in marine mammal conflicts with fisheries. a workshop held February 17–18, 1986 at Newport, Oregon. NTIS, SPRINGFIELD, VA(USA) (1987).
Favaro, L., Gnone, G. & Pessani, D. Postnatal development of echolocation abilities in a bottlenose dolphin (Tursiops truncatus): Temporal organization. Zoo Biol. 32, 210–215 (2013).
Dey, M., Krishnaswamy, J., Morisaka, T. & Kelkar, N. Interacting effects of vessel noise and shallow river depth elevate metabolic stress in Ganges river dolphins. Sci. Rep. 9, 15426. https://doi.org/10.1038/s41598-019-51664-1 (2019).
Kastelein, R. A. et al. Effects of acoustic alarms, designed to reduce small cetacean bycatch in gillnet fisheries, on the behaviour of North Sea fish species in a large tank. Mar. Environ. Res. 64, 160–180 (2007).
Kraus, S. et al. Acoustic alarms reduce porpoise mortality. Nature 388, 525 (1997).
Roberts, B. L. & Read, A. J. Field assessment of C-POD performance in detecting echolocation click trains of bottlenose dolphins (Tursiops truncatus). Mar. Mamm. Sci. 31, 169–190 (2015).
Wickham, H. ggplot2: elegant graphics for data analysis. (Springer-Verlag, New York, 2009).
RStudio Team. RStudio: Integrated Development for R. RStudio, PBC, Boston, MA. http://www.rstudio.com/ (2021).
Crawley, M. J. Statistics: An Introduction using R (Wiley, 2005).
Perrin, W. F., Donovan, G.P. & Barlow, J. Report of the workshop on mortality of cetaceans in passive fishing nets and traps. Rep. Int. Whal. Commn. 1–71 (Cambridge: IWC, 1994).
Read, A. J., Drinker, P. & Northridge, S. Bycatch of marine mammals in US and global fisheries. Conserv. Biol. 20, 163–169 (2006).
Reeves, R. & Leatherwood, S. Action plan for the conservation of cetaceans: dolphins, porpoises, and whales. IUCN/SSC Cetacean Specialist Group (IUCN Cambridge, 1998).
Smith, B. D. & Braulik, G. Susu and Bhulan : Platanista gangetica gangetica and P. g. minor in Encyclopedia of Marine Mammals. 1135–1139 (Academic Press Ltd - Elsevier Science Ltd, 2009).
Wakid, A. Status and distribution of the endangered Gangetic dolphin (Platanista gangetica gangetica) in the Brahmaputra River within India in 2005. Curr. Sci., 97, 1143–1151 (2009).
D’agrosa, C., Lennert-Cody, C. E. & Vidal, O. Vaquita bycatch in Mexico’s artisanal gillnet fisheries: driving a small population to extinction. Conserv. Biol. 14, 1110–1119 (2000).
Jaramillo-Legorreta, A. et al. Saving the vaquita: immediate action, not more data. Conserv. Biol., 21, 1653–1655 (2007).
Turvey, S. T. et al. First human-caused extinction of a cetacean species?. Biol. Lett. 3, 537–540 (2007).
Bashir, T., Khan, A., Gautam, P. & Behera, S. K. Abundance and prey availability assessment of Ganges River dolphin (Platanista gangetica gangetica) in a stretch of Upper Ganges River, India. Aquat. Mamm. 36, 19–26 (2010).
Braulik, G.T. & Smith, B.D. Platanista gangetica. The IUCN Red List of Threatened Species, e.T41758A50383612. https://doi.org/10.2305/IUCN.UK.2017-3.RLTS.T41758A50383612.en (2017).
Hastie, G. D., Wilson, B., Wilson, L., Parsons, K. M. & Thompson, P. M. Functional mechanisms underlying cetacean distribution patterns: hotspots for bottlenose dolphins are linked to foraging. Mar. Biol. 144, 397–403 (2004).
Smith, A. M. & Smith, B. D. Review of status and threats to river cetaceans and recommendations for their conservation. Environ. Rev. 6, 189–206 (1998).
Wedekin, L., Daura-Jorge, F., Piacentini, V. & Simões-Lopes, P. Seasonal variations in spatial usage by the estuarine dolphin, Sotalia guianensis (van Bénéden, 1864)(Cetacea; Delphinidae) at its southern limit of distribution. Brazil. J. Biol. 67, 1–8 (2007).
Omeyer, L. et al. Assessing the effects of banana pingers as a bycatch mitigation device for harbour porpoises (Phocoena phocoena). Front. Mar. Sci. 285 (2020).
Barlow, J. & Cameron, G. A. Field experiments show that acoustic pingers reduce marine mammal bycatch in the California drift gill net fishery. Mar. Mamm. Sci. 19, 265–283 (2003).
Amano, M., Kusumoto, M., Abe, M. & Akamatsu, T. Long-term effectiveness of pingers on a small population of finless porpoises in Japan. Endanger. Species Res. 32, 35–40 (2017).
Clay, T. A., Alfaro-Shigueto, J., Godley, B. J., Tregenza, N. & Mangel, J. C. Pingers reduce the activity of Burmeister’s porpoise around small-scale gillnet vessels. Mar. Ecol. Prog. Ser. 626, 197–208 (2019).
Kyhn, L. A. et al. Pingers cause temporary habitat displacement in the harbour porpoise Phocoena phocoena. Mar. Ecol. Prog. Ser. 526, 253–265 (2015).
Sugimatsu, H. et al. Study of acoustic characteristics of Ganges river dolphin calf using echolocation clicks recorded during long-term in-situ observation in 2012 OCEANS. 1–7 (IEEE, 2012).
Ayadi, A., Ghorbel, M. & Bradai, M. N. Do pingers reduce interactions between bottlenose dolphins and trammel nets around the Kerkennah Islands (Central Mediterranean Sea)?. Cahiers Biol. Mar. 54, 375–383 (2013).
Carretta, J. V. & Barlow, J. Long-term effectiveness, failure rates, and “dinner bell” properties of acoustic pingers in a gillnet fishery. Mar. Technol. Soc. J. 45, 7–19 (2011).
Read, A. J., Waples, D. M., Urian, K. W. & Swanner, D. Fine-scale behaviour of bottlenose dolphins around gillnets. Proc. R. Soc. Lond. Ser. B Biol. Sci. 270, S90–S92 (2003).
Olesiuk, P. F., Nichol, L. M., Sowden, M. J. & Ford, J. K. Effect of the sound generated by an acoustic harassment device on the relative abundance and distribution of harbor porpoises (Phocoena phocoena) in Retreat Passage, British Columbia. Mar. Mamm. Sci. 18, 843–862 (2002).
Cox, T. M., Read, A. J., Solow, A. & Tregenza, N. Will harbour porpoises (Phocoena phocoena) habituate to pingers?. J. Cetacean Res. Manag. 3, 81–86 (2001).
Bruno, C. A. et al. Acoustic deterrent devices as mitigation tool to prevent dolphin-fishery interactions in the Aeolian Archipelago (Southern Tyrrhenian Sea, Italy). Mediterr. Mar. Sci. 22, 408–421 (2021).
Enger, P. S. Frequency discrimination in teleosts—central or peripheral in Hearing and sound communication in fishes (eds. Tavolga, W. N. et al.) 243–255 (Springer-Verlag, New York, 1981).
Halvorsen, M. B., Casper, B. M., Matthews, F., Carlson, T. J. & Popper, A. N. Effects of exposure to pile-driving sounds on the lake sturgeon, Nile tilapia and hogchoker. Proc. R. Soc. B Biol. Sci. 279, 4705–4714 (2012).
Ladich, F. Sound communication in fishes and the influence of ambient and anthropogenic noise. Bioacoustics 17, 34–38 (2008).
McCauley, R. D., Fewtrell, J. & Popper, A. N. High intensity anthropogenic sound damages fish ears. J. Acoust. Soc. Am. 113, 638–642 (2003).
Slabbekoorn, H. et al. A noisy spring: the impact of globally rising underwater sound levels on fish. Trends Ecol. Evol. 25, 419–427 (2010).
Gazo, M., Gonzalvo, J. & Aguilar, A. Pingers as deterrents of bottlenose dolphins interacting with trammel nets. Fish. Res. 92, 70–75 (2008).
Waples, D. M. et al. A field test of acoustic deterrent devices used to reduce interactions between bottlenose dolphins and a coastal gillnet fishery. Biol. Conserv. 157, 163–171 (2013).
Leaper, R. & Calderan, S. Review of methods used to reduce risks of cetacean bycatch and entanglements. CMS Tech. Ser. 38 (UNEP/CMS Secretariat, Bonn, Germany, 2018).
Acknowledgements
We acknowledge the funding support by CAMPA—Ministry of Environment, Forests and Climate Change, Government of India. We thank the Principal Chief Conservator of Forest (wildlife) and Chief Wildlife Warden of Government of Assam in facilitating and providing appropriate permits to conduct the study. Jury Roy, Shah Alom and the staff of SB Kahua are acknowledged for their help in carrying out the experiment. We are thankful for the support provided by Director, Dean and Research Coordinator of Wildlife Institute of India. We would especially like to acknowledge the two anonymous reviewers, whose critical inputs substantially improved the manuscript.
Author information
Authors and Affiliations
Contributions
V.K. and Q.Q. conceived the study. M.J., A.G., S.D., H.S., S.T.T., R.N., A.R., & A.W., collected data, with crucial inputs from V.K. and Q.Q. V.K., M.J., A.G., and S.D. analysed data. V.K., M.J., A.G., and S.D., wrote the first draft of the manuscript. V.K., A.G., A.W., and Q.Q. revised the manuscript drafts. V.K., and Q.Q., procured funds and supervised the study. These authors contributed equally: V.K. and M.J.
Corresponding author
Ethics declarations
Competing interests
The authors declare no competing interests.
Additional information
Publisher's note
Springer Nature remains neutral with regard to jurisdictional claims in published maps and institutional affiliations.
Supplementary Information
Rights and permissions
Open Access This article is licensed under a Creative Commons Attribution 4.0 International License, which permits use, sharing, adaptation, distribution and reproduction in any medium or format, as long as you give appropriate credit to the original author(s) and the source, provide a link to the Creative Commons licence, and indicate if changes were made. The images or other third party material in this article are included in the article's Creative Commons licence, unless indicated otherwise in a credit line to the material. If material is not included in the article's Creative Commons licence and your intended use is not permitted by statutory regulation or exceeds the permitted use, you will need to obtain permission directly from the copyright holder. To view a copy of this licence, visit http://creativecommons.org/licenses/by/4.0/.
About this article
Cite this article
Kolipakam, V., Jacob, M., Gayathri, A. et al. Pingers are effective in reducing net entanglement of river dolphins. Sci Rep 12, 9382 (2022). https://doi.org/10.1038/s41598-022-12670-y
Received:
Accepted:
Published:
Version of record:
DOI: https://doi.org/10.1038/s41598-022-12670-y
This article is cited by
-
Abandoned, lost, and otherwise discarded fishing gear in world’s inland fisheries
Reviews in Fish Biology and Fisheries (2024)
-
Assessment of interactive acoustic deterrent devices set on trammel nets to reduce dolphin–fishery interactions in the Northern Tyrrhenian Sea
Scientific Reports (2023)











