Abstract
We investigate the interplay of magnetization and lattice vibrations in rare-earth orthoferrites RFeO3, with a specific focus on non-symmetry-breaking anomalies. To do so, we study the magnetization, magnon excitations and lattice dynamics as a function of temperature in NdFeO3, TbFeO3, EuFeO3 and GdFeO3. The magnetization shows distinct temperature anomalous behavior for all investigated rare-earth orthoferrites, even in the compounds with no phase transitions occurring at those temperatures. Through spin–phonon coupling, these magnetic changes are mirrored by the FeO6 rotation mode for all the studied RFeO3, revealing a common magnetostructural effect associated with the octahedra rotations. The R3+ oscillation modes evidence a Fe3+/R3+ spins cross-talk for the NdFeO3 and TbFeO3 cases. Our work sheds light into the common magnetostructural coupling in rare-earth orthoferrites, and the important role of magnetic anisotropy and spin–orbit coupling strength of the R–Fe interactions on the spin-reorientation transition at high temperatures.
Similar content being viewed by others
Introduction
Rare-earth orthoferrites RFeO3 (R = rare-earth trivalent cation), despite being studied for decades1,2,3,4,5,6, attracted recent scientific interest thanks to their intriguing magnetic properties, including spin-reorientation transitions and new-found magnetically induced ferroelectricity7,8,9,10,11,12.
The Fe3+ spins order at TN between 623 and 740 K, with increasing temperature for increasing rare-earth cation size5,13. The ordering is triggered by the condensation of the magnetic order parameter with symmetry mΓ4+. This gives rise to an AxFyGz-type ordering of the Fe3+ spin sublattice (in Bertaut notation)14 with the magnetic space group Pn’ma’. The primary magnetic order is of the antiferromagnetic G-type. The canted spin structure leads to a net-magnetization along the b-axis5,13. The R3+ spin-sublattice orders below 10 K. Like the Fe3+ spin-sublattice, a G-type order dominates the magnetic structure of the R3+ spin-sublattice. The interaction of both G-type lattices can give rise to improper ferroelectricity, as for instance in GdFeO3 below 3 K9,12,15,16.
Between TN and the temperature of R3+ spin ordering, the magnetic landscape is dominated by the crosstalk of the ordered iron sublattice and the paramagnetic rare-earth spins. On the one hand, rare-earth ions with a significant magnetocrystalline anisotropy trigger a spin reorientation transition of the magnetic iron sublattice (e.g. R = Nd, Sm, Er and Tb)5. On the other hand, the iron sublattice induces a net magnetization of the rare-earth sublattice. It was suggested that parallel or antiparallel alignment of the R3+ spin sublattice with respect to the Fe3+ one is steered by the octahedron tilt system, thus linking the crystal structure and magnetism17.
In this intermediate regime, temperature-dependent magnetic anomalies were reported. For instance, the M(T) curves of GdFeO3 and TbFeO3 exhibit s-like anomalies at around 210 and 250 K, respectively1,6. However, their origins and link to the crystal structure and lattice vibrations remain still unclear.
Our present work is motivated by the need to shed light on these aspects aiming for a deeper understanding of the magnetic behavior in RFeO3. Towards this objective, we scrutinize the magnetization, and Raman-active magnons and phonons across a large temperature range of a series of RFeO3: NdFeO3, TbFeO3, EuFeO3 and GdFeO3. We selected these four compounds for their different rare-earth magnetic properties and interplay between magnetic and lattice degrees of freedom, to allow the access to different magnetic interactions between the Fe3+ and the R3+ spins. For instance, both NdFeO3 and TbFeO3 exhibit spin-reorientation transitions, yet at different temperatures, and hence a significant magnetocrystalline anisotropy. On the other hand, Gd3+ ions present no magnetocrystalline anisotropy of spin–orbit origin (i.e. zero orbital moment, with a large spin moment) and Eu3+ has no magnetic moment. Therefore, this set of compounds is representative for the family of orthoferrites in general. From the comprehensive study of the temperature dependence of the magnetization and magnon wavenumbers, different types of magnetic anomalies are ascertained, which are not associated with non-symmetry-breaking. These magnetic changes are mirrored in the FeO6-rotation and R-oscillation modes, via spin–phonon coupling. Our experimental results show a common magnetostructural effect occurring in these RFeO3 associated with the FeO6 octahedra rotations, and a cross-talking between Fe3+ spins and the R3+ spins for the NdFeO3 and TbFeO3 cases that exposes the importance of magnetic anisotropy and spin–orbit coupling in triggering the spin-reorientation transition.
Methods
High-quality ceramic pellets of RFeO3 (R = Nd, Eu, Gd and Tb) were processed through the urea sol–gel combustion method, sintered at 1350 °C for 60 h, quenched to room temperature. X-ray powder diffraction patterns were recorded at ambient conditions using an X’Pert Pro PANalytical diffractometer with a copper anode (1.54184 Å) in Bragg–Brentano geometry and an ultrafast X’Celerator detector with a secondary monochromator, from 10° to 95° in 2θ. Rietveld refinements of the diffraction patterns confirm the correct Pnma space group (see Fig. S1 of Supplemental Material). No secondary phases were detected, except in NdFeO3 ceramics, which show an amount of 6.8% of Nd2O3.
Low-field DC induced specific magnetization measurements were carried out using commercial superconducting quantum interference SQUID magnetometer. The magnetization was measured after zero-field (ZFC) and field cooling (FC) from 5 to 380 K under an applied magnetic field of 40 Oe, with a resolution of 1 × 10–7 emu.
Raman spectra were recorded using a Jobin–Yvon T64000 spectrometer and a Renishaw inVia Qontor with 514.5 nm and 532 nm linearly polarized excitation lines of Ar+ and diode-pumped lasers, respectively. The spectral ranges cover 100 to 800 cm−1 and − 600 to 600 cm−1. Measurements were performed at fixed temperatures from 10 to 875 K using either a closed-cycle helium cryostat or a THMS600 Linkam Stage. The effect of the laser power on the sample was previously studied and it was limited below 5 mW to prevent sample heating. The best fits of a sum of damped oscillators to the measured Raman spectra allow us to determine the wavenumbers of the phonon and magnon modes18.
Experimental result s and discussion
Magnetic properties and interactions
In the first step of our study, we investigate the temperature dependence of the magnetization for NdFeO3 (FC), TbFeO3, EuFeO3 and GdFeO3 (ZFC), as displayed in Fig. 1. The vertical dashed arrows mark the temperatures of anomalies that will be important for the following sections of this work. Remarkably, the magnetization curves have little in common and the magnetization signals are dramatically different for different rare-earths. This motivates the following detailed analysis.
Left axes: temperature dependence of the magnetization of (a) NdFeO3 under FC conditions, and (b) TbFeO3, (c) EuFeO3 and (d) GdFeO3, under ZFC conditions, measured in heating under 40 Oe. Inset of (a) shows similar M(T) data for a NdFeO3 single crystal from Ref.7. Right axes: M.t/H (t = T/TN) versus temperature for the same compounds. Vertical dashed lines mark the phase transition temperatures following Ref.13, while vertical dashed arrows mark relevant anomalies.
NdFeO3. The magnetization of NdFeO3 (Fig. 1a) is temperature independent between 350 and 175 K. With the start of the spin reorientation from AxFyGz (Pn′ma′) to CxGyFz-type order (Pn′m′a) at 170 K, M(T) increases monotonously until a small dent at 110 K marks the end of the spin reorientation regime19. Down to 70 K, M(T) further increases. Hereafter, the magnetization decreases due to the gradual antiparallel ordering of the Nd3+ spins in the exchange field of the Fe3+ spins7. At 9 K, the magnetic contributions of the Nd3+ and Fe3+ spins compensate and the magnetization reverses for lower temperatures. The M(T) profile of the ceramic sample qualitatively agrees with the vector sum of the b-axis and c-axis components of the magnetization for single crystal measurements taken from Ref.7 (see inset of Fig. 1a).
TbFeO3. In Fig. 1b, M(T) of TbFeO3 increases with decreasing temperature with changes in slope for several temperature intervals. At 280 K and at 150 K, the slope of M(T) increases slightly (see Fig. S2 of Supplemental Material for a detailed view). These features were reported earlier, however, remain to be understood6. Below 20 K, the slope of M(T) becomes steeper with a maximum at 10 K. The sudden increase in slope at 20 K marks the onset of the spin-reorientation transition, where the net magnetic moment of the Fe3+ spins rotates from the b- to the c-axis. In addition, the Tb3+ spins order in the exchange field of the Fe3+ spins below 10 K, reflected by the saturation of M(T) in good agreement with the literature10,11,12,13,14,15,16,17,18,19,20.
EuFeO3 and GdFeO3 do not show a spin-reorientation transition13. Nevertheless, the M(T) curve of both materials is characterized by anomalies with clear changes in slope. The magnetization of EuFeO3 increases as the temperature decreases toward its maximum at 30 K, presenting a broad anomaly around 200 K. Also a broad maximum of M(T) around 200 K was reported in the literature for EuFeO3, with the magnetization decreasing towards 0 K21. The temperature dependence of the magnetization of GdFeO3 is more complex, exhibiting strong variations below 100 K. For T < 36 K, the magnetization increases due to the paramagnetic response of the Gd3+ sublattice22. Qualitatively, the M(T) curve of GdFeO3 agrees with the results reported in the literature1,21. The existence of magnetic changes occurring at 260 K is also ascertained by the anomalous temperature dependence of the coercive field at 200 K23.
Among the four studied compounds and in the 5 to 350 K range, TbFeO3 presents the highest maximum magnetization value (around 500 emu/mol), while EuFeO3 presents the smallest one (around 0.5 emu/mol, 3 orders of magnitude smaller than TbFeO3). GdFeO3 and NdFeO3 are in between, with GdFeO3 presenting a larger magnetization below 150 K. Due to the van Vleck character of Eu3+, its spins are expected to contribute little to the total magnetization contrary to the other rare-earth cations24. Thus, the magnetization of EuFeO3 arises dominantly from the Fe3+ spin sublattice, due to the canting of the Fe3+ spins, which is found in literature to be 8.0 mrad4. Despite the similar canting angles of NdFeO3, GdFeO3 and TbFeO3, these compounds show a substantially larger magnetization than EuFeO34. Therefore, we conclude that the contribution of the Nd3+, Gd3+, and Tb3+ paramagnetic momenta or their interaction with Fe3+ add a significant contribution for the overall magnetization. In the case of TbFeO3 and GdFeO3, the R3+ spins align parallelly to the net magnetization of the Fe3+ spins, leading to an increase of the overall magnetization. The Nd3+ spins, in turn, align antiparallelly to the Fe3+ spins. Hence, the magnetization decreases and even reverses at low temperatures.
Figure 2 summarizes the temperatures where discernable magnetic anomalies are observed for each RFeO3. Apart from the spin-reorientations of NdFeO3 and TbFeO3, these anomalies below TN do not correspond to any critical phenomena or phase transitions. The observed anomalies in the M(T) curves, which are between 3 and 4 orders of magnitude larger than the measurement resolution, indicate complex magnetic interactions in the investigated orthoferrites, triggered by the interaction between Fe3+ and R3+ spins, which we analyze in the following.
In the molecular field approximation, we can express the net magnetization resulting from the interaction of the order Fe3+ sublattice and the paramagnetic R3+ spins as follows2:
where \(\alpha\) is the spin canting angle, σ(T) the Fe3+ sublattice moment, \(\langle d\rangle\) the mean R–Fe interaction parameter and \(t=T/{T}_{N}\). The plot of \(F\left(t\right)=M\left(T\right)t/H\) versus \(T\) is represented by the blue curves (right axes) of Fig. 1. Here, \(H\propto \sigma (T)/\sigma (0)\) is the effective magnetic field, calculated from Mössbauer data4, and \(\sigma (0)\) is the Fe3+ sublattice magnetic moment at 0 K. According to the molecular field approximation, the changes of the slope of \(F\left(t\right)\), thus of \(2\alpha \sigma (0)/{T}_{N}\), evidence changes of net magnetization of the iron sublattice2. From the intercept with \(t=0\), we calculate \(\langle d\rangle\) associated with the magnetic interaction strength between R3+ and Fe3+ spins2.
NdFeO3 presents two linear regimes above and below the spin reorientation transition. The slope in the 10 to 60 K range is about 59% steeper than above the spin reorientation. We interpret this as a consequence of the emergent magnetic interaction of Nd3+ and Fe3+ spins below the spin reorientation regime.
TbFeO3 also exhibits two linear regimes in the 20 to 80 K and 250 to 350 K in \(F\left(t\right)\), respectively, with a slope decrease of about 70% as temperature increases, in agreement with the literature20. The deviation below 260 K from the high temperature linear regime can be better observed in the residuals plot obtained from subtraction of the linear fit to the data, shown Fig. S2 of the Supplemental Material.
EuFeO3 exhibits two different linear temperature dependences from 5 to 150 K, and 230 to 350 K, respectively, with only a minor slope change, of the order of 4%. This is in agreement with small variation of magnetization with temperature20.
GdFeO3, displays the most complex \(F\left(t\right)\) behavior, with linear relations from 10 to 35 K, 100 to 150 K and 250 to 300 K and a local maximum at 200 K. Such a behavior suggests that the model does not fully reproduce the magnetic properties of GdFeO3 above 150 K, but this shall not invalidate the calculation of the \(\langle d\rangle\) value at very low temperatures.
The calculated \(\langle d\rangle\) values are presented in Table 1. For the fitting, the linear regime at low temperatures (see Table 1) was used, where the R–Fe magnetic interaction is strongest. The \(\langle d\rangle\) values are about one order of magnitude smaller than those reported by Treves2, which were calculated from data available only above 100 K. For comparison with Treves, we have analyzed our data in the same temperature range, then leading to similar values. The difference is thus due to the analyzed temperature regime, and we consider that our fittings to the lower temperature range more correctly account the underlying physics.
For NdFeO3, \(\langle d\rangle\) is negative. This indicates antiferromagnetic interaction between Nd3+ and Fe3+ spins, in good agreement with the Nd3+ spin ordering antiparallel to the Fe3+ spins. For GdFeO3 and TbFeO3, \(\langle d\rangle\) is positive. This leads to a parallel alignment of Tb3+/Gd3+ and Fe3+ spins and explains the increase in overall magnetization and the absence of a compensation temperature. We note, that these values are in agreement with the theoretical ones for the orientation of the rare-earth sublattice magnetization with respect to the Fe3+ spins sublattice17. Among the studied compounds, the mean interaction coupling parameter between Eu3+ and Fe3+ cations has the smallest absolute value. This indicates a comparably small interaction between both ions and can be understood by the small magnetic momentum of the Eu3+ cations.
It is worth to stress that, although the values of \(\langle d\rangle\) are similar for both GdFeO3 and TbFeO3, the anisotropy of TbFeO3 is larger, such that TbFeO3 shows a spin-reorientation transition whereas GdFeO3 does not. NdFeO3 and TbFeO3 show a similar R–Fe interaction parameter \(\langle d\rangle\), yet of different sign. Also, the spin reorientation temperatures differ significantly for both materials. These behaviors underline the complexity of magnetic interactions in rare-earth orthoferrites.
Magnon excitations
We now investigate the magnetic changes through a temperature-dependent analysis of collective spin excitations of the Fe3+ spin lattice, so-called magnons. Magnons are known to be an excellent probe of subtle magnetic changes, such as the beforehand reported anomalies in RFeO3 with R = Y, Sm, Dy, Ho, Tm, Er and Tb5,26,27,28.
Figure 3 shows the unpolarized Stokes and anti-Stokes Raman spectra of NdFeO3, TbFeO3, EuFeO3 and GdFeO3 recorded at 80 and 300 K. Two magnon modes are observed, in good agreement with earlier experiments on other RFeO326,27,29. According to literature, the lower wavenumber mode (M1) is assigned to the ferromagnetic magnon and the higher wavenumber mode (M2) to the antiferromagnetic magnon of the Fe3+ spin-sublattice26,27.
Figure 4a–h show the temperature dependence of the wavenumber of the M1 and M2 magnons of NdFeO3, TbFeO3, EuFeO3 and GdFeO3, respectively, from 80 to 450 K. For completion, we also show in Fig. 4b,f the available data from the literature between 6 and 300 K for TbFeO3. We begin by discussing NdFeO3, shown in Fig. 4a,e, which shows a particularly interesting behavior with several regimes. Between 500 and 240 K, the wavenumber of the magnon M1 increases monotonously with decreasing temperature. From 240 to 100 K, the magnon M1 softens by 1.5 cm−1. In addition, cusp-like anomalies mark the limits of the spin-reorientation temperature range (170–110 K). Below 100 K, the wavenumber of magnon M1 increases upon further cooling. Following the interpretation given for TbFeO3 and SmFeO326,27, this result is associated with the alignment of the Nd3+ spins in the exchange field of the Fe3+ spin sublattice. Qualitatively, our temperature dependence of M1 wavenumber for NdFeO3 is in good agreement with the one observed through THz spectroscopy data30,31. Magnon M2 hardens on cooling down to 240 K. At the high temperature limit of the spin-reorientation a cusp-like anomaly occurs and, on further cooling down to 78 K, magnon M2 slightly softens.
Temperature dependence of the wavenumber of the magnons M1 (left) and M2 (right) observed in NdFeO3, TbFeO3, EuFeO3 and GdFeO3. Open symbols for TbFeO3 were taken from Ref.27. Vertical dashed lines mark the spin reorientation temperatures following Ref.13, while dashed arrows mark relevant M(T) anomalies observed in Fig. 1a–d.
The temperature dependence of the M1 and M2 magnons wavenumber of TbFeO3 here reported (Fig. 4b,f closed symbols) are in good agreement with the already reported data (open symbols), with only the exception of the points between 80 and 100 K, for the case of M127. The wavenumber of both magnons increases monotonously as the temperature decreases. A clear change of slope of the temperature dependence of M1 is observed at around 150 K, in the temperature interval for which the change of slope of the \(F(t)\) function is observed (cf. Fig. 1b). The wavenumber of the magnon M2 experiences a sudden increase below 20 K, associated with the spin reorientation transition.
The wavenumber of both magnons of EuFeO3, shown in Fig. 4c,g, increases as temperature decreases and no clear anomalous temperature dependence is found down to 80 K. The temperature dependence of the magnon wavenumbers of GdFeO3 are depicted in Fig. 4d,h. The wavenumber of the magnon M2 increases monotonously as temperature decreases towards 80 K, without any hint of anomalous behavior. However, the wavenumber of M1 increases as temperature decreases from 450 K down to 350 K, then it becomes temperature independent down to 200 K, and on further cooling, the wavenumber of magnon M1 increases linearly down to 100 K.
Among the studied compounds, the magnon wavenumbers of TbFeO3 exhibit the largest temperature variation, reaching more than 6 cm−1 for M1, while the smallest variations are found in EuFeO3 and are less than 1 cm−1 for M1 and 4 cm−1 for the M2 mode, in agreement with their respective largest and smallest magnetization changes (cf. Fig. 1). We can conclude that the anomalies identified in the magnetization curves appear to affect only the M1 mode (seen in TbFeO3 and GdFeO3), while they apparently do not affect the M2 mode, which only presents anomalies at the spin-reorientations (seen in NdFeO3 and TbFeO3). Having in mind the ferromagnetic origin of the M1 magnons, this result points out that the observed magnetic anomalies in TbFeO3 and GdFeO3 might be associated with changes of the ferromagnetic interactions.
Comparing the temperature behavior of the magnons wavenumber in NdFeO3 to other compounds with spin-reorientation, we conclude that M1 exhibits a similar incomplete softening to those reported for ErFeO3, TmFeO3 and SmFeO3, which has been attributed to the coupling between the Fe3+ spins and the R3+ electronic states30,31,32,33. In this regard, it seems that M1 has a common temperature dependence for all RFeO3 with spin-reorientation. In contrast, the published results do not exhibit the softening of M2 neither any anomalies seen at the spin-reorientation limits in both magnons wavenumber26,27, which deserves further more detailed studies of spin excitations across the spin-reorientations of these compounds.
Spin–phonon coupling
In the next step, we investigate the response of the phonon spectra as a function of temperature. The optical phonons of the RFeO3 have Ag, B1g, B2g and B3g symmetries—the mode assignment is available in the literature34. Figures 5a–d show unpolarized Raman spectra in the range from 100 to 580 cm−1, for NdFeO3, TbFeO3, EuFeO3 and GdFeO3, respectively, measured at fixed temperatures between 10 and 800 K. The room-temperature Raman signature agrees with literature data34. With decreasing temperature, the phonon bands sharpen and shift at different rates. As a consequence, some bands become better resolved and visible.
From the study of the temperature evolution of each observed mode, we chose to present and discuss in more detail two modes, which present the most relevant spin–phonon coupling: the [010]pc in-phase FeO6 octahedra rotation mode (Fig. 6a–d), and of the out-of-phase R-oscillations modes along the x- and z-axes (Fig. 7a–d). As the magnetic super-exchanges in the Fe3+ spin sublattice is tightly associated with the Fe–O–Fe bond angle, the FeO6 rotation modes are highly sensitive to magnetic changes of the Fe3+ spin sublattice. Moreover, since the R-oscillation modes are sensitive to the environment around the R3+ cations, we use them as probes of the interaction R–Fe spins interaction. To study the spin–phonon coupling, the phonon wavenumber is compared to the expected anharmonic temperature behavior, obtained from the best fit to the experimental data, above 200 K (for NdFeO3 and GdFeO3) and 300 K (for TbFeO3 and EuFeO3), of the equation35
where ω0, C and D are fitting parameters and kB is the Boltzmann constant. These fits are given as solid lines in Figs. 6 and 7. It is at first sight surprising that no anomalous temperature dependence is observed at TN (see Fig. S3 of Supplemental Material), also not found for YFeO336.
Temperature dependence of the [010]pc in-phase octahedra wavenumber for NdFeO3, TbFeO3, EuFeO3 and GdFeO3. The solid curves were determined by the best fits of the anharmonic temperature law above 200 K (for NdFeO3 and GdFeO3) and 300 K (for TbFeO3 and EuFeO3) and its extrapolation down to 0 K35. Vertical dashed lines mark the phase transition temperatures following Ref.13, while dashed arrows mark relevant M(T) anomalies.
Temperature dependence of the out-of-phase R(x) and R(z)-oscillations wavenumber for NdFeO3, TbFeO3, EuFeO3 and GdFeO3. The solid curves were determined by the best fits of the anharmonic temperature law above 200 K (for NdFeO3 and GdFeO3) and 300 K (for TbFeO3 and EuFeO3) and its extrapolation down to 0 K35. Vertical dashed lines mark the phase transition temperatures following Ref.13, while dashed arrows mark relevant M(T) anomalies.
In the [010]pc in-phase FeO6 octahedra rotation mode, the spin-reorientation for NdFeO3 reveals itself through anomalies in the temperature dependence of this mode observed in Fig. 6a. Its temperature dependence presents a deviation to higher wavenumbers below 170 K. From 150 to 30 K, the wavenumber linearly increases with decreasing temperature. No anomalous temperature dependence at the low temperature limit of the spin-reorientation transition is observed. Below 20 K, a sudden increase of the wavenumber is observed on approaching the compensation temperature of NdFeO3 at 8 K. In TbFeO3 (Fig. 6b), a strong deviation to higher wavenumbers of the octahedra rotation mode occurs below 300 K. In the case of EuFeO3 (Fig. 6c), a downshift takes place below 250 K, while for GdFeO3 (Fig. 6d), an upshift is observed below 200 K.
For all the studied compounds, the anomalous temperature dependence of the [010]pc in-phase FeO6 octahedra rotation mode wavenumber is observed at the same temperature where the corresponding M(T) curves exhibit anomalies (marked by the dashed lines and arrows in Fig. 6a–d). This implies the specific role of this mode in the spin–phonon coupling of the studied compounds, even at the spin-reorientation of NdFeO3. The shifts ranging from 1 to 3 cm−1, with the expected magnitude for spin–phonon coupling effects37,38,39,40, would correspond to octahedra rotation changes, estimated to be between 0.05° and 0.15°, arising from the magnetostructural coupling. The Raman mode wavenumber shift are positive, except for EuFeO3. This is associated with the overall different magnetization response of EuFeO3 in comparison to the other compounds as shown in Fig. 1, due to the lack of R–Fe interactions, which leads to a different spin–phonon interaction. This assumption is actually corroborated by the substantially smaller magnitude of the mean interaction parameter \(\langle d\rangle\) of Eu–Fe sublattices relatively to the remaining compounds, as it can be straight confirmed from Table 1.
We now aim at understanding the cross-talk of the magnetic R–Fe interaction with the phonon lattice, as recently observed in SmFeO340. To do so, we address the out-of-phase R-oscillations modes, shown in Fig. 7a–d. In general, three different temperature behaviors of these modes are observed.
Concerning the two Nd-oscillation modes (Fig. 7a), their wavenumbers follow the anharmonic temperature law down to 110 K, below which a small downshift occurs. On further cooling, they both increases linearly, with a maximum downshift of around 0.5 cm−1 at 10 K. Although small, this points out for a coupling between the spin structure and the phonons involving the Nd3+ cations.
Figure 7b shows the temperature dependence of the wavenumber of the two Tb-oscillation modes. Below 280 K/150 K, the wavenumber of the Tb(z)/Tb(x) oscillation mode shows a notable upshift/downshift, with a maximum magnitude of 4 cm−1. Each mode starts its deviation at a temperature wherein an anomaly was found in the M(T) curve, evidencing the interaction of the ordered Fe3+ spins with the paramagnetic Tb3+ spins. Moreover, the different temperature of deviation and direction of the Tb-oscillation modes wavenumber along each crystallographic axis are evidence of a strong magnetic anisotropy which affects the elastic interactions involving the Tb3+ cations.
Finally, for EuFeO3 and GdFeO3, the wavenumber of both R(z) and R(x)-oscillation modes follow the expected anharmonic temperature dependence in the investigated range, as shown in Fig. 7c,d, respectively. The absence of a coupling between spins and the R-oscillation modes can be understood by the properties of the Eu3+ and Gd3+ cations. The van Vleck character of Eu3+ cation leads to a small magnitude of the mean interaction parameter \(\langle d\rangle\) regarding the magnetic Eu3+–Fe3+ interactions24, which are therefore small. On other hand, Gd3+ does not exhibit magnetocrystalline anisotropy and, as it has no orbital angular momentum, the spin–orbit interaction is negligibly small. Consequently, a negligible coupling between Gd3+ spin orientation changes and cationic oscillations are expected.
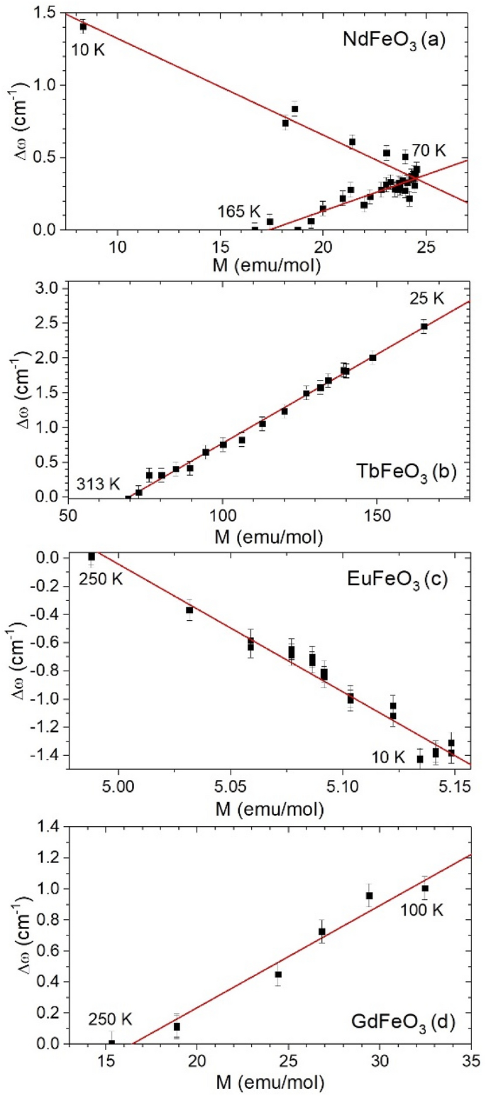
To get further information regarding the coupling between phonons and spins, we investigate the quantitative correlation between the measured magnetization and the contribution Δω = ωph(T) − ωph-anhar(T) to the phonon wavenumber due to changes in the spin structure.
The relation between Δω and the measured magnetization is shown in Fig. 8a–d (see Fig. S4 of Supplemental Material for a wider temperature range). For NdFeO3 (Fig. 8a), two linear regimes are found: one below 165 K encompassing the spin reorientation process, and another below 70 K, during the Nd3+ spins ordering process. Apparently, the different slopes of the linear relations result from the different mechanisms involved in each process.
For TbFeO3, a unique linear dependence is observed, from 313 to 25 K. Below 25 K no linearity is observed, which could be associated with precursor effects of the spin-reorientation taking place at 20 K. In EuFeO3 and GdFeO3 (Fig. 8c,d), the unique linear dependence found below 250 K shows that these wavenumbers deviations origin from the magnetic changes, seen here via the spin–phonon coupling. In GdFeO3 this linearity is lost below 100 K, where strong non-monotonous variations of the M(T) curve are observed. This quantitative analysis allows us to state that the found magnetostructural effect results from a linear spin–phonon coupling that mediates the [010]pc in-phase octahedra rotational phonon and the magnetic structure.
To further evidence that the Nd(z)- and Tb(z)-oscillation modes are sensing the same phenomena of the [010]pc in-phase octahedra rotation mode, we have studied the correlation between their wavenumbers, shown in Fig. 9. We chose the R(z) instead of the R(x), because for the case of TbFeO3 only the former shows a deviation similar to the FeO6 rotation mode. The linear correlations between their wavenumbers found in the analyzed temperature ranges evidence for a coupling between them, with an unknown phenomenologically proportionality constant. For TbFeO3, around 133 K, within the temperature interval where the slope of the linear temperature dependencies of both the \(F(t)\) and M1 wavenumber curves changes the most, there is also a change of the found phenomenologically proportionality constant between these modes. This could not be observed in GdFeO3 due to the absence of coupling between the Gd3+ motions and spins.
Conclusions
We have reported an experimental study of the magnetization, Raman-active spin excitations and lattice dynamics in RFeO3 (R = Nd, Eu, Gd, and Tb) in the 10 to 850 K range. The main outcomes are summarized in the following.
Besides the known spin-reorientation of NdFeO3, anomalies in the temperature dependence of magnetization and wavenumber of both the magnons and the FeO6 rotation modes evidence for magnetic changes in TbFeO3, EuFeO3 and GdFeO3, between 25 and 350 K, which are not associated with symmetry breaking nor magnetic phase transitions. The reinforcement of the ferromagnetic response of TbFeO3 and GdFeO3 is evidenced by both the increasing of magnetization as temperature decreases, and the anomalous temperature behavior of the ferromagnetic mode (magnon M1) at specific temperatures.
The sensitivity of the optical phonons to the Fe–Fe and R–Fe magnetic interactions was evidenced. The linear dependence on the magnetization of the anomalous contribution to the phonon wavenumber, just below the temperature where anomalies in M(T) are observed, distinctly bears the coupling between the [010]pc in-phase FeO6 rotation mode and the spin structure, through a linear spin–phonon coupling. Thus, the second main outcome concerns the common magnetostructural coupling, evidenced by FeO6 octahedra rotations. Like the FeO6 rotational modes, the Raman-active R-oscillation modes are sensitive to the R–Fe magnetic interactions, provided a strong spin–phonon coupling mediated by spin–orbit coupling. In NdFeO3 and TbFeO3, wherein spin–orbit coupling of the R-cations exists, R-oscillations are coupled to the [010]pc in-phase octahedra rotational modes. The experimental results give strong evidence for the cross-talk between Fe3+ and Nd3+/Tb3+ spin sublattice, denoting the third main outcome of this work. The largest variations of the magnon M1 and both studied Raman modes are the largest for TbFeO3. Moreover, the smaller spin–phonon coupling strength found for the Nd-oscillations in NdFeO3 suggests that the anisotropy of the Nd–Fe interaction plays a more important role on triggering the spin-reorientation at higher temperatures rather than its strength. Contrarily though, no deviation of these two modes could be observed for GdFeO3, demonstrating the key role played by the spin–orbit coupling to underlie the interplay between spins and the Gd-oscillation phonon.
Data availability
The datasets used and/or analyzed during the current study available from the corresponding author on reasonable request.
Change history
18 January 2023
A Correction to this paper has been published: https://doi.org/10.1038/s41598-023-28181-3
References
Gilleo, M. A. Magnetic properties of a gadolinium orthoferrite, GdFeO3 crystal. J. Chem. Phys. 24, 1239–1243 (1956).
Treves, D. Studies on orthoferrites at the Weizmann Institute of Science. J. Appl. Phys. 36, 1033 (1965).
Bertaut, E. F., Chappert, J., Mareschal, J., Rebouillat, J. P. & Sivardière, J. Structures magnetiques de TbFeO3. Solid State Commun. 5, 293–298 (1967).
Eibschütz, M., Shtrikman, S. & Treves, D. Mössbauer studies of Fe57 in orthoferrites. Phys. Rev. 156, 562–577 (1967).
White, R. L. Review of recent work on the magnetic and spectroscopic properties of the rare-earth orthoferrites. J. Appl. Phys. 40, 1061 (1969).
Gordon, J. D., Gorodetsky, G. & Hornreich, R. M. Magnetization studies of TbFeO3. J. Magn. Magn. Mater. 3, 288–294 (1976).
Yuan, S. J. et al. Spin switching and magnetization reversal in single-crystal NdFeO3. Phys. Rev. B 87, 184405 (2013).
Zhao, Z. Y. et al. Ground state and magnetic phase transitions of orthoferrite DyFeO3. Phys. Rev. B 89, 224405 (2014).
Zhao, H. J., Bellaiche, L., Chen, X. M. & Íñiguez, J. Improper electric polarization in simple perovskite oxides with two magnetic sublattices. Nat. Commun. 8, 14025 (2017).
Artyukhin, S. et al. Solitonic lattice and Yukawa forces in the rare-earth orthoferrite TbFeO3. Nat. Mater. 11, 694–699 (2012).
Tokunaga, Y., Iguchi, S., Arima, T. & Tokura, Y. Magnetic-field-induced ferroelectric state in DyFeO3. Phys. Rev. Lett. 101, 097205 (2008).
Tokunaga, Y. et al. Composite domain walls in a multiferroic perovskite ferrite. Nat. Mater. 8, 558–562 (2009).
Bousquet, E. & Cano, A. Non-collinear magnetism in multiferroic perovskites. J. Phys. Condens. Matter 28, 123001 (2016).
Bertaut, E. F. Configurations magnétiques. Méthode de fourier. J. Phys. Chem. Solids 21, 256–279 (1961).
Tokunaga, Y., Taguchi, Y., Arima, T. H. & Tokura, Y. Electric-field-induced generation and reversal of ferromagnetic moment in ferrites. Nat. Phys. 8, 838–844 (2012).
Senn, M. S. & Bristowe, N. C. A group-theoretical approach to enumerating magnetoelectric and multiferroic couplings in perovskites. Acta Crystallogr. Sect. A Found. Adv. 74, 308–321 (2018).
Zhao, H. J., Íñiguez, J., Chen, X. M. & Bellaiche, L. Origin of the magnetization and compensation temperature in rare-earth orthoferrites and orthochromates. Phys. Rev. B 93, 014417 (2016).
Moreira, J. A. et al. Coupling between phonons and magnetic excitations in orthorhombic EuYMnO3. Phys. Rev. B 81, 054447 (2010).
Weingart, C., Spaldin, N. & Bousquet, E. Noncollinear magnetism and single-ion anisotropy in multiferroic perovskites. Phys. Rev. B Condens. Matter Mater. Phys. 86, 094413 (2012).
Park, B. G. et al. Magnetic properties of the orthoferrites TbFeO3 and ErFeO 3. J. Korean Phys. Soc. 53, 758–762 (2008).
Zhou, Z., Guo, L., Yang, H., Liu, Q. & Ye, F. Hydrothermal synthesis and magnetic properties of multiferroic rare-earth orthoferrites. J. Alloys Compd. 583, 21–31 (2014).
Vilarinho, R. et al. Dzyaloshinskii Moriya nature of ferroelectric ordering in magnetoelectric GdYMnO3 system. Solid State Commun. 208, 34–40 (2015).
Ramesh Babu, P. et al. Investigation of magnetic property of GdFeO3 single crystal grown in air by optical floating zone technique. J. Alloys Compd. 631, 232–236 (2015).
Van Vleck, J. H. Magnetic case history of the Eu3+ ion. J. Appl. Phys. 39, 365–372 (1968).
Mihalik, M. et al. Magnetic phase diagram of the TbMn1-xFexO3 solid solution system. Phys. B Condens. Matter 506, 163–167 (2017).
White, R. M., Nemanich, R. J. & Herring, C. Light scattering from magnetic excitations in orthoferrites. Phys. Rev. B 25, 1822 (1982).
Venugopalan, S., Dutta, M., Ramdas, A. K. & Remeika, J. P. Magnetic and vibrational excitations in rare-earth orthoferrites: A Raman scattering study. Phys. Rev. B 31, 1490 (1985).
Koshizuka, N. & Hayashi, K. Raman scattering from magnon excitations in RFeO3. J. Phys. Soc. Jpn. 57, 4418–4428 (1988).
White, R. M., Nemanichi, R. J. & Tsang, C. Raman scattering from magnons in rare earth orthoferrites. J. Magn. Magn. Mater. 15–18, 773–774 (1980).
Jiang, J. et al. Dynamical spin reorientation transition in NdFeO3 single crystal observed with polarized terahertz time domain spectroscopy. Appl. Phys. Lett. 103, 062403 (2013).
Song, G. et al. Spin reorientation transition process in single crystal NdFeO3. Solid State Commun. 211, 47–51 (2015).
Yamaguchi, K., Kurihara, T., Minami, Y., Nakajima, M. & Suemoto, T. Terahertz time-domain observation of spin reorientation in orthoferrite ErFeO3 through magnetic free induction decay. Phys. Rev. Lett. 110, 137204 (2013).
Grishunin, K. et al. Terahertz magnon-polaritons in TmFeO3. ACS Photon. 5, 1375–1380 (2018).
Weber, M. C. et al. Raman spectroscopy of rare-earth orthoferrites RFeO3 (R = La, Sm, Eu, Gd, Tb, Dy). Phys. Rev. B 94, 214103 (2016).
Balkanski, M., Wallis, R. F. & Haro, E. Anharmonic effects in light scattering due to optical phonons in silicon. Phys. Rev. B 28, 1928 (1983).
Ponosov, Y. S. & Novoselov, D. Y. Lattice and spin excitations of YFeO3: A Raman and density functional theory study. Phys. Rev. B 102, 054418 (2020).
Laverdière, J. et al. Spin–phonon coupling in orthorhombic RMnO3 (R=Pr, Nd, Sm, Eu, Gd, Tb, Dy, Ho, Y): A Raman study. Phys. Rev. B 73, 214301 (2006).
Bhadram, V. S., Rajeswaran, B., Sundaresan, A. & Narayana, C. Spin–phonon coupling in multiferroic RCrO3 (R-Y, Lu, Gd, Eu, Sm): A Raman study. Europhys. Lett. 101, 17008 (2013).
Kovaleva, N. N. et al. Anomalous multi-order Raman scattering in LaMnO3: A signature of quantum lattice effects in a Jahn-Teller crystal. J. Phys. Condens. Matter 25, 155602 (2013).
Weber, M. C. et al. Emerging spin–phonon coupling through cross-talk of two magnetic sublattices. Nat. Commun. 13, 443 (2022).
Acknowledgements
We are deeply acknowledged to J. L. Ribeiro for the fruitful discussion regarding the interpretation of the magnetic data, and P. Bouvier suggestions on the analysis of some specific phonons. We acknowledge funding from NORTE-01-0145-FEDER-022096, UIDB/04968/2020 and PTDC/NAN-MAT/28538/2017 projects and R.V. to the grant from PTDC/NAN-MAT/0098/2020.
Author information
Authors and Affiliations
Contributions
P.T. produced the samples. R.V. performed magnetization measurements. R.V., M.W. and A.M. performed Raman spectroscopy measurements. C.D. wrote an algorithm for Raman spectra analysis. R.V., M.W., M.G., J.K., A.A. and J.M. wrote the main manuscript text and R.V. prepared figures. All authors reviewed the manuscript.
Corresponding author
Ethics declarations
Competing interests
The authors declare no competing interests.
Additional information
Publisher's note
Springer Nature remains neutral with regard to jurisdictional claims in published maps and institutional affiliations.
The original online version of this Article was revised: The original version of this Article contained an error in the Acknowledgements section. “We are deeply acknowledged to J. L. Ribeiro for the fruitful discussion regarding the interpretation of the magnetic data, and P. Bouvier suggestions on the analysis of some specific phonons. We acknowledge funding from NORTE-01-0145-FEDER-022096, UID/NAN/50024/2019 and PTDC/NAN-MAT/28538/2017 projects and R.V. to the grant from PTDC/NAN-MAT/0098/2020.” now reads: “We are deeply acknowledged to J. L. Ribeiro for the fruitful discussion regarding the interpretation of the magnetic data, and P. Bouvier suggestions on the analysis of some specific phonons. We acknowledge funding from NORTE-01-0145-FEDER-022096, UIDB/04968/2020 and PTDC/NAN-MAT/28538/2017 projects and R.V. to the grant from PTDC/NAN-MAT/0098/2020.”
Supplementary Information
Rights and permissions
Open Access This article is licensed under a Creative Commons Attribution 4.0 International License, which permits use, sharing, adaptation, distribution and reproduction in any medium or format, as long as you give appropriate credit to the original author(s) and the source, provide a link to the Creative Commons licence, and indicate if changes were made. The images or other third party material in this article are included in the article's Creative Commons licence, unless indicated otherwise in a credit line to the material. If material is not included in the article's Creative Commons licence and your intended use is not permitted by statutory regulation or exceeds the permitted use, you will need to obtain permission directly from the copyright holder. To view a copy of this licence, visit http://creativecommons.org/licenses/by/4.0/.
About this article
Cite this article
Vilarinho, R., Weber, M.C., Guennou, M. et al. Magnetostructural coupling in RFeO3 (R = Nd, Tb, Eu and Gd). Sci Rep 12, 9697 (2022). https://doi.org/10.1038/s41598-022-13097-1
Received:
Accepted:
Published:
Version of record:
DOI: https://doi.org/10.1038/s41598-022-13097-1
This article is cited by
-
Dynamic control of ferroic domain patterns by thermal quenching
Nature Communications (2025)
-
Enhanced magnetic properties, phonon and microstructure effects by Tb in the high-pressure synthesized BiFeO3-based ceramics
Journal of Materials Science: Materials in Electronics (2025)
-
Lattice excitations in NdFeO3 through polarized optical spectroscopies
Scientific Reports (2024)
-
Structural, morphological, and magnetic features of granular TbFeO3 perovskite synthesized via direct solution combustion synthesis
Journal of Sol-Gel Science and Technology (2024)
-
Impact of Tb substitution on structural, electrical and magnetic properties of Ho1−xTbxFeO3 orthoferrite
Applied Physics A (2024)











