Abstract
Cancers are the leading cause of death among people living with HIV/AIDS (PLWHA); however, nationwide studies on cancer incidence are limited. We aimed to determine the trends in the incidence rates of AIDS-defining cancers (ADCs) and non-AIDS-defining cancers (NADCs) among Korean PLWHA. Data from the National Health Insurance Sharing Service from 2004 to 2017 were collected. Age- and sex-adjusted standardized incidence ratios (SIRs) for various cancer types relative to the general population were calculated. Of the 11,737 PLWHA followed-up for 65,052 person-years (PYs), 445 (ADCs, 130 and NADCs, 298) developed cancer. The incidence rate of ADCs decreased, whereas that of NADCs remained unchanged. PLWHA were at an increased risk of ADCs (SIR: 12.6, 95% CI: 10.6–15.0), including Kaposi’s sarcoma, non-Hodgkin’s lymphoma, and cervical cancer, and some NADCs, including anal cancer, lung cancer, liver cancer, and oropharyngeal cancer. Of the 396 patients who received antiretroviral therapy (ART), 215 with optimal adherence had lower incidence rates for ADCs and NADCs than those with non-optimal adherence. The 5-year survival rate of PLWHA with NADCs was 57.8%. Close surveillance and routine screening of cancers and improvement in ART adherence are required to improve the clinical outcomes of PLWHA.
Similar content being viewed by others
Introduction
Since the introduction of highly active antiretroviral therapy (HAART), the life expectancy of PLWHA has dramatically increased, and consequently, prolonged survival time has led to variations in the death causes1,2,3,4,5. Non-AIDS-related deaths caused by chronic illnesses related to aging, such as cancer and cardiovascular disease, are increasing in most developed countries6,7,8. A study conducted in Japan from 2005 to 2014 revealed that cancer is the leading cause of death, accounting for 47% of all cases among PLWHA7.
PLWHA have an elevated cancer risk due to non-infectious causes, such as smoking and alcohol consumption, and HIV-related immunosuppression, which impairs the control of oncogenic viruses. With the advent of HAART, the incidence rates of AIDS-defining cancers (ADCs) such as Kaposi’s sarcoma, non-Hodgkin’s lymphoma (NHL), and cervical cancer decreased, whereas the burden of non-AIDS-defining cancers (NADCs) increased. In particular, virus-related NADCs, such as Hodgkin lymphoma (Epstein Barr Virus-related), liver cancer (Hepatitis B and C virus), anogenital cancer (human papillomavirus, HPV), and oropharyngeal cancer (HPV), are considerably more prevalent in PLWHA than in the general population. PLWHA are diagnosed with cancer in advanced stages and have a higher cancer-specific mortality rate than the general population after cancer diagnosis9,10,11. Therefore, for long-term survival of PLWHA, early detection and treatment of cancer through active screening is important. Most of these studies have been conducted in Western countries, and studies in Asian countries have mostly focused on Taiwan, where the National Health Insurance programs and databases have been established.
Three studies were conducted in Korea, of which two studies published in 2006 and 2009, reported that there was no decrease in the ADC incidence nor a relative increase in NADC incidence, and the incidence pattern of NADC varied by institutions12,13. According to a study published in 2017 in Korea, there was an increase in NADC incidence compared to ADC incidence, without statistically significant difference14. However, the sample size was small, and research in a single institution is not enough to represent the incidence of cancer in PLWHA in Korea. To establish an appropriate screening plan for the early detection and treatment of cancer, it is important to obtain information regarding cancer types and trends among Korean PLWHA. Therefore, this study aimed to estimate and compare the risk of cancer incidence between the general population and Korean PLWHA and to investigate the recent trends in cancer among Korean PLWHA from 2004 to 2017, using a nationwide population-based database.
Methods
Study design and database
We conducted a nationwide retrospective cohort study using the 2002–2017 data from the Korea National Health Insurance Service (NHIS) database. This database includes data on patients’ sociodemographics, healthcare provider characteristics, diagnoses based on the International Classification of Disease and Related Health Problems 10th revision (ICD-10), procedures or operations, pharmacy dispensing claims, and medical care costs15,16. The NHIS is a mandatory public medical insurance system operated by the South Korean government. Almost the entire Korean population is covered by either the NHI (97.2%) or medical aid (2.8%)17. As the NHIS database represents the entire Korean population, it can therefore be used in nationwide population-based studies of various diseases, including HIV/AIDS18.
Patient identification
Data from all 38,205 patients who had HIV/AIDS-related codes (ICD-10 codes B20–B24, O987, Z21, R75 and V103) between 2002 and 2017 were extracted from the database (Supplementary Fig. 1). Foreigners (n = 920), patients with unknown age and sex (n = 142), and patients who did not undergo any follow-up tests (HIV RNA test, HIV drug resistance mutation sequencing, or T cell subset analysis; n = 22,863) were excluded. In suspected HIV cases, that is patients who were surveillance tested, physicians sometimes used the above-mentioned ICD-10 codes in their medical records and insurance claims until they perform a confirmatory test. Therefore, we excluded patients with less than three outpatient visits or no h ospitalization to avoid false-positive cases19. To identify HIV incidence cases, 1224 patients that were considered as prevalance cases, having HIV-related codes, were deselected between 2002 and 2003. We excluded those patients in whom we could not pinpoint the time they were given their HIV diagnosis. This was done to observe all patients from the time of diagnosis of HIV to the time of cancer for the purpose of the study. After excluding 54 patients aged < 15 years from this cohort, we determined that from 2004 to 2017, there were 12,515 patients with HIV/AIDS aged ≥ 15 years in Korea.
The government of the Republic of Korea initiated a registration program for rare and intractable diseases (RID) and expanded benefit coverage for patients with HIV/AIDS from 2004. Patients with HIV/AIDS registered in this program were eligible for up to 90% co-payment reduction. Because physicians only registered patients identified by confirmatory test results, data regarding RIDs are verified and reliable. Most patients register in the RID program to reduce medical expenses; however, some patients may refuse registration because they are reluctant to disclose their health status. Thus, we defined HIV infection when a patient met the above criteria rather than defining it using the RID code. We investigated the match of patients with the RID code (V103) among those who met the above criteria to check the diagnostic accuracy. Of the 12,515 patients mentioned above, 12,068 (96.4%) met the RID code (V103).
Of the 12,515 patients, 448 who were diagnosed with cancer before the diagnosis of HIV were excluded to avoid prevalent cancer cases. Further, 290 patients who were diagnosed with cancer within the first 90 days after the diagnosis of HIV, were considered prevalent cases and were not included in our study20,21. The final number of patients was 11,737. The first date of HIV-related code registration in the database was regarded as the date of diagnosis. Patients were observed from the day of first hospital visit to the date of cancer diagnosis, death, or December 31, 2017.
Operational definitions
Cancer was first identified based on the ICD-10 codes, including C00–C99, and the types were subdivided according to the cancer site. Cancer was defined as the presence of the same C code more than three times within a year or inpatient hospitalization with a C code22. In Korea, a person diagnosed with cancer is registered with the National Cancer Registry with a specific code (called the C code) to indicate cancer diagnosis and to provide special insurance benefits22. Therefore, cancer diagnoses based on claims are considered reliable. If a patient was diagnosed with multiple cancers, only the first cancer was considered.
According to the CDC classification criteria, NHL, Kaposi’s sarcoma, and cervical cancer were classified as AIDS-defining cancers (ADCs), whereas all other types of cancer were classified as non-AIDS-defining cancers (NADCs)23. To evaluate cancer trends, we divided the overall observation period into three: period 1, 2004–2008; period 2, 2009–2013; and period 3, 2014–2017.
Comorbidities were defined based on information obtained prior to or during HIV diagnosis. Comorbidities were evaluated using Charlson’s comorbidity index (CCI). Because HIV/AIDS and cancer were the variables of interest, we used the modified CCI to exclude these two diseases from the list of comorbidities. Covariates and ICD-10 codes used in the study included the code for chronic hepatitis B virus (HBV) infection (B180, B181) and chronic hepatitis C virus (HCV) infection (B182).
AIDS-defining illnesses were defined according to the 1993 definition of the Centers for Disease Control and Prevention23 (Supplementary Table S2). AIDS-defining cancer was excluded because cancer was a variable of interest in our study. Patients requiring prophylactic antibiotics included those with a prescription of a prophylactic dose of oral trimethoprim-sulfamethoxazole or oral dapsone24. We regarded individuals requiring prophylactic antibiotics as having a nadir CD4 + T-cell count < 200 cells/µL.
Adherence was evaluated using the medication possession ratio (MPR), calculated as the number of days for which ART prescription was filled divided by the patient’s total follow-up time in days since ART initiation until 31 December 2017, cancer development, or death. To assess the association between cancer risk and ART adherence, we calculated standardized incidence ratios (SIRs) separately for individuals with optimal adherence. Optimal adherence to ART was defined as an MPR ≥ 95%. In the ART group, those who received only one ART regimen or two nucleoside reverse transcriptase inhibitors were excluded because they had possibly received post-exposure prophylaxis, pre-exposure prophylaxis, or treatment for other diseases25.
Statistical analysis
The SAS Enterprise Guide (SAS Institute, Inc.) was used for all statistical analyses. Categorical variables were compared using Pearson’s χ2 test or Fisher’s exact test, whereas non-categorical variables were tested using the Mann–Whitney U test or Kruskal–Wallis test. Cancer incidence among PLWHA was compared with that in the general Korean population between 2004 and 2017 from the Korea Central Cancer Registry (KCCR) using SIRs obtained by indirect standardization26. We calculated the ratio of observed to expected cancers in overall and site-specific cancers among PLWHA. The expected number of cancers was calculated by multiplying the age-specific cancer incidence rate in the general population for 2004–2017 and the number of person-years of PLWHA, and 95% confidence intervals (CIs) were calculated using the Poisson distribution. In addition, we compared the SIRs for optimal adherence using the Poisson regression. Kaplan–Meier curves were used to estimate the overall survival during the study period. All tests of significance were two-tailed, and statistical significance was set at P < 0.05.
Ethics statement
The study protocol was reviewed and approved by the Institutional Review Board (IRB) of the Pusan National University Hospital (approval number 1904–009-078). Our research was performed in accordance with the relevant guidelines and regulations. Informed consent was waived by the IRB of the Pusan National University Hospital because patient information was anonymized.
Results
Baseline characteristics
In total, 11,737 patients with PLWHA were followed up for 65,051.53 person-years (median: 4.8 years; range: 2.0–8.6). The total study cohort comprised of 10,911 men with a total follow-up of 60,115.89 person-years and 862 women with 4935.64 person-years. he clinical characteristics of the study population are summarized in Table 1. The mean age at diagnosis was 38.98 ± 13.08 years. There were 93% male patients, 50.8% who required prophylactic antibiotics and 94.3% who received ART.
The median age of patients with ADCs was 43 years (interquartile range [IQR]: 36–52), and that of those with NADCs was 53 years (IQR: 43–62) (p < 0.001). The prevalence of prophylactic antibiotic use was higher in the ADC group (ADC: 72.3% vs. NADC: 56.8%, p = 0.003). Optimal ART adherence was higher in the NADC group, albeit not statistically significant (ADC: 42.3% vs. NADC: 50.8%, p = 0.103) (Table 2).
Cancer incidence
In total, 445 incident cancer cases were diagnosed between 2004–2017, of which 130 (29.2%) were ADCs and 298 (67.0%) were NADCs (Table 3). NHL (ID: 150.65/100,000 person-years) was the most common ADC in both men and women. Liver cancer (94.82), lung cancer (58.22), colorectal cancer (44.91), and stomach cancer (43.25) were the most common types of cancer in men, whereas breast cancer (101.30) and thyroid cancer (81.04) were the most common types in women.
SIRs of different cancer types
Overall, cancer risk was 72% higher among PLWHA than among the general population (SIR: 1.72, 95% CI: 1.57–1.89) (Table 3). Compared with the general population, the risk was elevated in those with ADCs (12.64, 10.56–15.01), and the SIR of Kaposi’s sarcoma was markedly increased (620.89, 401.69–916.59), followed by that of NHL (21.51, 17.44–26.24), and cervical cancer (7.5, 3.00–15.45). The risk was significantly elevated for virus-related NADCs, including HPV-related head and neck cancer (2.97, 1.48–5.32), anal cancer (69.52, 41.84–108.57), liver cancer (2.53–4.27), and Hodgkin’s lymphoma (20.65, 8.27–42.55). Risks were also significantly elevated in the following cancer types: lung (1.91, 1.35–2.63), penis (16.97, 1.94–61.28), prostate (1.79, 1.16–2.64), other male genital organs (13.79, 1.55–49.79), eye (18.94, 2.13–68.38), and multiple myeloma (3.89, 1.25–9.08). In contrast, the risk was significantly decreased for cancers of the breast (0.20, 0.07–0.44) and thyroid cancer (0.12–0.40) and stomach cancer in men (0.63, 0.41–0.92).
Cancer trends among PLWHA
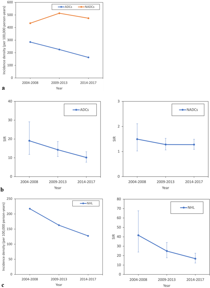
From 2004 to 2017, the period-adjusted ADC incidence rate decreased from 285.16 cases/100,000 person-years to 163.00 cases/100,000 person-years (p < 0.001) (Fig. 1A). The incidence rate of Kaposi’s sarcoma decreased from 54 cases/100,000 person-years to 20.00 cases/100,000 person-years (p = 0.333) (Fig. 1C). The incidence rate of NHL decreased from 271 cases/100,000 person-years to 127 cases/100,000 person-years (p = 0.073). However, both decreased incidence rates were not statistically significant. A similar decrease in the SIRs of ADCs was observed (Fig. 1B). The incidence rate and SIR of cervical cancer did not show a decreasing trend. The period-adjusted NADC rate did not show a decreasing trend but was higher than that of the general population during the entire period.
(a) Trend of incidence densities (ID) of ADCs and NADCs in 2004–2017 (ADC p-value 0.012, NADC p-value 0.671), (b) trend of standardized incidence ratio (SIR) of ADCs and NADCs in 2004–2017 (ADC p-value 0.028, NADC p-value 0.459), and (c) trend of ID and SIR of ADC by each cancer. (Kaposi’s sarcoma ID p-value 0.333, SIR p-value 0.040; NHL SIR p-value 0.127, NHL ID p-value 0.073; cervical cancer ID p-value 0.788, cervical cancer SIR p-value 0.989).
SIR according to ART adherence
PLWHA with non-optimal ART adherence had significantly higher SIR for some NADCs and ADCs, except for cervical cancer, than those with optimal ART adherence (Table 4). This was observed for each ADC and virus-related NADCs such as anal cancer (SIR ratio: 0.33, 95% CI 0.11–0.90) and liver cancer (0.47, 0.44–0.81). Risks were also higher among PLWHA with non-optimal ART adherence for leukemia.
Overall mortality
The 1-year and 5-year survival rates in PLWHA with cancer were 79.9% (ADC: 72.2% vs. NADC: 83.1%) and 57.8% (ADC: 61.5% vs. NADC: 55.9%), respectively (Fig. 2). There was no significant difference between the survival curves of ADC and NADC (p = 0.906). There was no significant difference between the survival curves of ADC and NADC (Wilcoxon p = 0.353; Taron-Ware p = 0.576). In the overall trend, no significant difference was found between the two groups, but when they were analyzed separately for each period, probability of survivial in NADC was significantly higher at the 1st year of cancer onset, and probability of survival in ADC was signifantly higher at 7th and 8th years of onset (Supplementary Table S3).
Kaplan–Meier survival curves for PLWHA stratified by cancer type (Wilcoxon p = 0.353; Taron-Ware p = 0.576).
Discussion
In this study, a comprehensive analysis of cancer incidence among PLWHA was conducted based on nationwide data from South Korea, with a lengthy follow-up duration and information on mortality. We observed a 1.72-fold increased risk of overall cancer in PLWHA compared with that in the general population. In particular, elevated cancer risk was more prominent in the poor ART adherence group (2.41-fold). The increased risk was noted for various types of cancer but was particularly high for virus-related cancers. Although the incidence of ADCs declined, that of NADCs did not.
Decreasing incidence of ADCs among PLWHA has been noted in Western countries and in Taiwan11,27,28,29,30. In a study conducted in France from 2010 to 2015, the incidence of ADC was 191 cases/100,000 person-years, the incidence of ADC showed a decreasing trend, and the incidence rate of NADC did not change28. In contrast, studies conducted in 2006, 2009, and 2017 in Korea reported no decrease in the incidence rates of ADCs among PLWHA13,14. As ART was established and immunity was restored, the incidence rates of Kaposi’s sarcoma and NHL decreased over time, and similarly, the risk of ADC was lower in those with optimal ART adherence. Despite the decreasing cases of ADCs, patients with poor adherence to ART remain vulnerable. A higher SIR was observed for cervical cancer among PLWHA than among the general population; however, because of the small number of cases (n = 7), a trend of decreasing incidence over time and association with ART was not confirmed.
During the study period, no significant trends were observed in the incidence or SIR of NADC. Previous studies have reported that, as PLWHA ages, the NADC incidence tends to increase31,32,33,34. According to the HIV/AIDS notification in Korea by the KCDC, especially since 2010, the number of young adults with HIV infection in their 20 s has rapidly increased35. This continuous influx of young adults may have slowed the rise in the cancer incidence rate over time. Some studies have shown that the SIR of NADCs decreases with time11,27. Previous studies included all pre-HAART periods, early HAART periods, and late HAART periods; however, this study only included late HAART periods, which may have affected the results.
Park et al. demonstrated that sustained ART, which results in long-term viral suppression, may contribute to cancer prevention, with risk reduction for ADC and virus-related NADC36. Additionally, previous studies have shown that enhanced immune status and early initiation of ART could reduce the incidence of virus-related NADCs11,37. Similarly, we found that the incidence of ADC and virus-related NADCs was reduced in the optimal ART adherence group, although it remained higher than that in the general population. Therefore, to improve cancer outcomes among PLWHA, adherence to ART and screening for and prevention of virus-related cancers should be promoted. Efforts should also be made to initiate early ART and the maintenance of enhanced immune status.
Risk was elevated for some virus-unrelated NADCs such as lung cancer and prostate cancer in PLWHA, compared with the general population. We found that lung cancer was second only to liver cancer in terms of NADC incidence. Lung cancer patients were not detected in two studies published in 2006 and 2009 among PLWHA in South Korea, whereas in another study published in 2017 lung and liver cancers were among the most diagnosed cancers12,13,14. Lung cancer is the most common cancer type in Korean men aged ≥ 65 years38. These results suggest that cancer incidence patterns in Korean PLWHA are gradually becoming similar to those of the general population because of prolonged survival due to the availability of HAART14. The risk of lung cancer in PLWHA was elevated relative to that in the general population, which is consistently noted in previous studies11,39,40. In addition to the high prevalence of smoking among PLWHA, HIV infection itself, independent of smoking, was associated with an increased risk of lung cancer41. Therefore, it is necessary to encourage smoking cessation and participation in screening tests (low-dose computed tomography), which are now included in Korea’s National Cancer Screening Program (NCSP) since 2019.
In contrast to previous findings, we found a higher incidence of prostate cancer among PLWHA than among the general population11,31,42. In Korea, prostate cancer incidence has increased significantly compared to that in the past, partly due to the rise in average life expectancy, westernized dietary habits, and increased awareness of prostate cancer screening43,44. The genitourinary tract is a common vector for HIV transmission, and HIV status is a risk factor for lower urinary tract symptoms45. This may explain the high SIR of prostate cancer as PLWHA are more likely to visit the hospital regularly and get tested if they have urinary infection symptoms. Similarly, a study conducted in Taiwan has reported an increase in the SIR of prostate cancer27.
Consistent with previous studies, an increase in SIR was not observed for most virus-unrelated NADC, and a decreased in SIR was observed in some cases such as stomach cancer, thyroid cancer, breast cancer. The low risk of stomach and thyroid gland cancers among PLWHA may be because of decreased surveillance. In Korea, screening for stomach, liver, colorectal, breast, cervical, and lung cancers are included in the NCSP, and that for thyroid cancer is widely available46,47. In the general Korean population, the screening rate with recommendations for stomach cancer has consistently been > 70% since 201248. Vulnerable populations, such as those with low income, low education level, and unhealthy behaviors (alcohol consumption), were associated with lower participation in gastric cancer screening programs in South Korea49. Thus, compared with the general population, PLWHA may have an underestimated risk of cancer, especially those widely screened, owing to poor screening. In contrast, in a study of South Korean patients who received solid organ transplantation, the SIRs for thyroid, stomach, and breast cancers increased compared with those reported in the general population, which may be explained by increased surveillance rate50. Although the 5-year survival rate of cancer in Korea was 70.3%, that of PLWHA with NADCs was only 55.9%, suggesting that cancers are diagnosed at a more advanced stage among PLWHA than among the general population. Therefore, cancer screening rates should be increased for the early detection of cancer among PLWHA.
No significant differences were found in overall survival between patients with ADC and patients with NADC, but there were differences in some time periods. During the first year, the survival rate of patients with ADC decreased sharply, but after one year, the survival rate did not decrease significantly. However, the survival rate of patients with NADC continued to decrease consistently for eight years. The lower survival rate in patients with ADC during the first year may be due to advanced immunodeficiency. In our study, patient with ADC were diagnosed with cancer at a younger age than patient with NADC, but they were more immunocompromised. In a previous study conducted in Korea, in spite of survival improvement in the HAART era, the early mortality was still substantial in late-HAART period, presumbably because the patients were in advanced immunodeficiency at initial presentation51. In addition, this immunodeficiency may have delayed the treatment of cancer, suggesting that the early initiation of ART is also important for cancer treatment. After 7 years, the survival rate of NADC interestingly showed a decrease, which may be attributed to the adverse effects of cancer treatment. When ART and antineoplastic agent are combined, enhanced and overlapping toxics effect are possible52. One study demonstrated that immunosuppression in PLWHA driven by cancer treatment, such as chemotherapy and radiotherapy, can result in an increased risk of mortality53. A cancer treatment strategy, based on the characteristics of HIV patients, is therefore warranted.
This study had several limitations. First, HIV/AIDS and cancer incidence rates were identified through the medical insurance code and the ICD-10 code in the NHISS claims data, with potential misclassification. To address this limitation, we only included HIV/AIDS cases that had been diagnosed using the relevant diagnostic code, wherein the HIV-related test code had been prescribed, and hospitalization or at least three outpatient visits were recorded. Moreover, we confirmed that most patients (95% in PLWHA) met the RID criteria. The identification of cancer cases based on claims data is considered reliable in Korea because cancer codes are reviewed by the NHIS and provide additional benefits to patients22. Therefore, we believe that the definitions of PLWHA and patients with cancer used in this study are reliable. Second, although we standardized age and stratified by sex to eliminate their effect on cancer incidence between PLWHA and the general population, other risk factors of cancer, such as smoking, alcohol use, and the prevalence of oncogenic viral infection, were not considered, owing to a lack of information. Third, as we had extracted data from the data from the database in 2019, we were able to retrieve data only a recent as 2017, therefore we defined our search period as between 2005 to 2017; but the trend of NADC was not clear, and the number of cancers was not sufficient to analyze the tendency for each cancer, so a study including an additional period may be necessary. Finally, as the claim data did not include clinical data in addition to laboratory test results, we were unable to extract data on CD4 count and HIV viral load, which could have helped predict the level of immune dysfunction. Therefore, we used prophylactic antibiotics and AIDS-defining illnesses as indicators of advanced immune suppression.
Overall, although cancer risk has declined in PLWHA in South Korea, the risks for ADCs and many other virus-related cancers remain. We found that cancer incidence in patients with optimal compliance with ART decreased but remained higher than that in the general population. Our findings suggest that close surveillance and routine screening of cancers and improvement in adherence to ART are required to improve the clinical outcomes of PLWHA.
Data availability
The datasets generated during and/or analyzed during the current study are not publicly available due to restrictions by Korean NHIS. However, interested parties may submit a separate application to the NHIS for access. The NHIS accepts applications via their website (https://nhiss.nhis.or.kr), and ethics approval from the researcher’s institutional review board and a study proposal are required.
References
Collaboration, A. T. C. Life expectancy of individuals on combination antiretroviral therapy in high-income countries: A collaborative analysis of 14 cohort studies. Lancet 372, 293–299 (2008).
May, M. T. et al. Impact on life expectancy of HIV-1 positive individuals of CD4+ cell count and viral load response to antiretroviral therapy. AIDS 28, 1193–1202 (2014).
Mocroft, A. et al. Decline in the AIDS and death rates in the EuroSIDA study: An observational study. Lancet 362, 22–29 (2003).
Palella, F. J. Jr. et al. Mortality in the highly active antiretroviral therapy era: Changing causes of death and disease in the HIV outpatient study. J. Acquir. Immune Defic. Syndr. 43, 27–34 (2006).
Smit, C. et al. Effective therapy has altered the spectrum of cause-specific mortality following HIV seroconversion. AIDS 20, 741–749 (2006).
Weber, R. et al. Decreasing mortality and changing patterns of causes of death in the Swiss HIV Cohort Study. HIV Med. 14, 195–207 (2013).
Nishijima, T. et al. Mortality and causes of death in people living with HIV in the era of combination antiretroviral therapy compared with the general population in Japan. AIDS (Lond Engl.) 34, 913–921 (2020).
Smith, C. J. et al. Trends in underlying causes of death in people with HIV from 1999 to 2011 (D:A:D): A multicohort collaboration. Lancet 384, 241–248 (2014).
Coghill, A. E. et al. Advanced stage at diagnosis and elevated mortality among US patients with cancer infected with HIV in the National Cancer Data Base. Cancer 125, 2868–2876 (2019).
Brock, M. V. et al. Delayed diagnosis and elevated mortality in an urban population With HIV and lung cancer: Implications for Patient Care. J. Acquir. Immune Defic. Syndr. 43, 47–55 (2006).
Hernández-Ramírez, R. U., Shiels, M. S., Dubrow, R. & Engels, E. A. Cancer risk in HIV-infected people in the USA from 1996 to 2012: A population-based, registry-linkage study. Lancet HIV 4, e495–e504 (2017).
Choe, P. G. et al. Malignancies in patients with human immunodeficiency virus infection in South Korea. Infect. Chemother. 38, 367–373 (2006).
Seol, Y. M. et al. Trends in cancer risk among South Korean patients infected with human immunodeficiency virus. Korean J Med 76, 554–563 (2009).
Lee, S. et al. Trends in malignancies among Korean patients infected with human immunodeficiency virus in the highly active antiretroviral therapy era. J. Korean Med. Sci. 32, 1445–1450 (2017).
Jang, H. S. et al. The long-term effect of cancer on incident stroke: A nationwide population-based cohort study in Korea. Front. Neurol. 10, 52 (2019).
Kim, J. et al. Comparison of the prescribing pattern of bisphosphonate and raloxifene in Korean women with osteoporosis: from a national health insurance claims database. PLoS ONE 10, e0127970 (2015).
Song, S. O. et al. Background and data configuration process of a nationwide population-based study using the Korean national health insurance system. Diabetes Metab. J. 38, 395–403 (2014).
Lee, Y. H. et al. Data analytic process of a nationwide population-based study using National Health Information database established by National Health Insurance Service. Diabetes Metab. J. 40, 79–82 (2016).
Yen, Y. F. et al. HIV infection increases the risk of incident psoriasis: A nationwide population-based cohort study in Taiwan. J. Acquir. Immune Defic. Syndr. 75, 493–499 (2017).
Franceschi, S. et al. Changing patterns of cancer incidence in the early- and late-HAART periods: The Swiss HIV Cohort Study. Br. J. Cancer 103, 416–422 (2010).
Nagata, N. et al. Increased risk of non-AIDS-defining cancers in Asian HIV-infected patients: A long-term cohort study. BMC Cancer 18, 1066 (2018).
Hwangbo, Y. et al. Incidence of diabetes After cancer development: A Korean national cohort study. JAMA Oncol. 4, 1099–1105 (2018).
Castro, K. et al. 1993 Revised classification system for HIV infection and expanded surveillance case definition for AIDS Among adolescents and adults: Centers for Disease Control and Prevention. Lab. Med. 24, 286–294 (1993).
Kim, J. et al. Hypertension risk with abacavir use among HIV-infected individuals: A nationwide cohort study. Yonsei Med. J. 59, 1245–1252 (2018).
Kim, J., Lee, E., Park, B. J., Bang, J. H. & Lee, J. Y. Adherence to antiretroviral therapy and factors affecting low medication adherence among incident HIV-infected individuals during 2009–2016: A nationwide study. Sci. Rep. 8, 3133 (2018).
Seo, H. J., Oh, I. H. & Yoon, S. J. A comparison of the cancer incidence rates between the national cancer registry and insurance claims data in Korea. Asian Pac. J. Cancer Prev. 13, 6163–6168 (2012).
Chen, M. et al. Cancer incidence in a Nationwide HIV/AIDS patient cohort in Taiwan in 1998–2009. J. Acquir. Immune Defic. Syndr. 65, 463–472 (2014).
Poizot-Martin, I. et al. Spectrum and incidence trends of AIDS- and non-AIDS-defining cancers between 2010 and 2015 in the French dat’AIDS cohort. Cancer Epidemiol. Biomarkers Prev. 30, 554–563 (2021).
Wong, I. K. J. et al. Time trends in cancer incidence in Australian people living with HIV between 1982 and 2012. HIV Med. 23, 134–145 (2022).
INSIGHT START Study Group et al. Initiation of antiretroviral therapy in early asymptomatic HIV infection. N. Engl. J. Med. 373, 795–807 (2015).
Patel, P. et al. Incidence of types of cancer among HIV-infected persons compared with the general population in the United States, 1992–2003. Ann. Intern. Med. 148, 728–736 (2008).
Engels, E. A. et al. Cancer risk in people infected with human immunodeficiency virus in the United States. Int. J. Cancer 123, 187–194 (2008).
Dal Maso, L. et al. Pattern of cancer risk in persons with AIDS in Italy in the HAART era. Br. J. Cancer 100, 840–847 (2009).
Robbins, H. A., Shiels, M. S., Pfeiffer, R. M. & Engels, E. A. Epidemiologic contributions to recent cancer trends among HIV-infected people in the United States. AIDS 28, 881–890 (2014).
Choi, Y. et al. Epidemiological characteristics of HIV infected Korean: Korea HIV/AIDS Cohort Study. Epidemiol. Health 41, e2019037 (2019).
Park, L. S. et al. Association of viral suppression With lower AIDS-defining and non-AIDS-defining cancer incidence in HIV-infected veterans: A prospective cohort study. Ann. Intern. Med. 169, 87–96 (2018).
Silverberg, M. J. et al. Timing of antiretroviral therapy initiation and risk of cancer Among persons living With human immunodeficiency virus. Clin. Infect. Dis. 72, 1900–1909 (2021).
Jung, K. W., Won, Y. J., Kong, H. J. & Lee, E. S. Cancer statistics in Korea: Incidence, mortality, survival, and prevalence in 2016. Cancer Res. Treat. 51, 417–430 (2019).
Allardice, G. M., Hole, D. J., Brewster, D. H., Boyd, J. & Goldberg, D. J. Incidence of malignant neoplasms among HIV-infected persons in Scotland. Br. J. Cancer 89, 505–507 (2003).
Clifford, G. M. et al. Cancer risk in the Swiss HIV cohort study: Associations with immunodeficiency, smoking, and highly active antiretroviral therapy. J. Natl Cancer Inst. 97, 425–432 (2005).
Kirk, G. D. et al. HIV infection is associated with an increased risk for lung cancer, independent of smoking. Clin. Infect. Dis. 45, 103–110 (2007).
Sun, D. et al. Risk of prostate cancer in men with HIV/AIDS: A systematic review and meta-analysis. Prostate Cancer Prostatic Dis. 24, 24–34 (2021).
Park, S. K. et al. Rising prostate cancer rates in South Korea. Prostate 66, 1285–1291 (2006).
Han, H. H. et al. Epidemiology of prostate cancer in South Korea. Prostate Int. 3, 99–102 (2015).
Breyer, B. N. et al. HIV status is an independent risk factor for reporting lower urinary tract symptoms. J. Urol. 185, 1710–1715 (2011).
Park, S. et al. Association between screening and the thyroid cancer “epidemic” in South Korea: Evidence from a nationwide study. BMJ 355, i5745 (2016).
Suh, M. et al. Trends in participation rates for the national cancer screening Program in Korea, 2002–2012. Cancer Res. Treat. 49, 798–806 (2017).
Hong, S. et al. Trends in cancer screening rates among Korean men and women: Results of the Korean national cancer screening survey, 2004–2018. Cancer Res. Treat. 53, 330–338 (2021).
Kwon, Y. M. et al. Factors associated with use of gastric cancer screening services in Korea. World J. Gastroenterol. 15, 3653–3659 (2009).
Park, B. et al. De novo cancer incidence after kidney and liver transplantation: Results from a nationwide population based data. Sci. Rep. 9, 17202 (2019).
Lee, S. H. et al. Causes of death and risk factors for mortality among HIV-infected patients receiving antiretroviral therapy in Korea. J. Korean Med. Sci. 28, 990–997 (2013).
Torres, H. A. & Mulanovich, V. Management of HIV infection in patients with cancer receiving chemotherapy. Clin. Infect. Dis. 59, 106–114 (2014).
Calkins, K. L. et al. Immune status and associated mortality After cancer treatment Among individuals With HIV in the antiretroviral therapy era. JAMA Oncol. 6, 227–235 (2020).
Funding
This study was supported by Biomedical Research Institute Grant (2019B028), Pusan National University Hospital.
Author information
Authors and Affiliations
Contributions
Conceptualization: S.O.L. and S.H.L.; Data collection and curation: S.O.L., H.G.L and J.M.K; Formal analysis: S.O.L., H.G.L. and J.M.K.; Funding acquisition: S.O.L.; Investigation: S.O.L. and S.H.L.; Supervision: S.H.L., J.E.L, S.W.L., J.S.K., H.J.S., H.G.L. and J.M.K.; Writing—original draft: S.O.L; Writing—Review & Editing: S.O.L. and S.H.L. All authors reviewed and approved the manuscript prior to submission.
Corresponding author
Ethics declarations
Competing interests
The authors declare no competing interests.
Additional information
Publisher's note
Springer Nature remains neutral with regard to jurisdictional claims in published maps and institutional affiliations.
Supplementary Information
Rights and permissions
Open Access This article is licensed under a Creative Commons Attribution 4.0 International License, which permits use, sharing, adaptation, distribution and reproduction in any medium or format, as long as you give appropriate credit to the original author(s) and the source, provide a link to the Creative Commons licence, and indicate if changes were made. The images or other third party material in this article are included in the article's Creative Commons licence, unless indicated otherwise in a credit line to the material. If material is not included in the article's Creative Commons licence and your intended use is not permitted by statutory regulation or exceeds the permitted use, you will need to obtain permission directly from the copyright holder. To view a copy of this licence, visit http://creativecommons.org/licenses/by/4.0/.
About this article
Cite this article
Lee, S.O., Lee, J.E., Lee, S. et al. Nationwide population-based incidence of cancer among patients with HIV/AIDS in South Korea. Sci Rep 12, 9974 (2022). https://doi.org/10.1038/s41598-022-14170-5
Received:
Accepted:
Published:
Version of record:
DOI: https://doi.org/10.1038/s41598-022-14170-5
This article is cited by
-
Ageing with HIV-1: immunological challenges for effective vaccination
Immunity & Ageing (2025)





