Abstract
This research investigates the cost-effectiveness of four sludge treatment scenarios for centralized (C) and decentralized (D) wastewater treatment plants (WWTP) using life cycle cost assessment (LCCA). The environmental impacts and costs are quantified by Stepwise2006. The most environmentally and financially viable WWTP construction option for Bangkok, Thailand (2022–2031) is determined in terms of LCCA and net present value (NPV). The environmental costs of D-treatment scenarios are lower than those of C-treatment scenarios. The total environmental costs of C- and D-fertilizer scenarios are lower than those of C- and D-dewatering scenarios. The net cash flow per functional unit of C-WWTPs is higher than that of D-WWTPs. The C-fertilizer scenario is the most environmentally and economically viable treatment scenario due to the lowest LCCA deficit (−5.58 THB2020 per m3 treated effluent). Composting should thus be adopted for treating sludge. The most environmentally and financially viable WWTP construction option is option I (building four C-WWTPs within 10 years) due to the lowest LCCA deficit (−19925 million THB2020) and smallest financial loss (NPV = −6309.96 million THB2020). Essentially, the local administration of the capital should adopt option I as a guideline in formulating the wastewater treatment management policy of 2022–2031.
Similar content being viewed by others
Introduction
Rapid population growth and urbanization contribute to increasing demand for wastewater collection and treatment. In urbanized areas, household wastewater is collected and treated at a centralized (C) or decentralized (D) wastewater treatment plant (WWTP). The C-wastewater management typically involves extensive sewer networks, complex and efficient wastewater collection system, standard treatment technology, and high treatment efficiency. Meanwhile, in the D-wastewater management, household wastewater is collected and treated close to the source using modular subsystems, rendering the construction of complex sewer networks unnecessary which in turn enhances the system flexibility1.
A number of factors influence the investment decision between C- and D-wastewater management systems, e.g., sewerage network supply, land-use opportunity, availability of skilled staff, and financial and technical capability2. As a result, in many developing countries, given the financial constraint, the D-wastewater management is regarded as an economically viable alternative to the C-wastewater management.
The construction and operation costs of D-wastewater treatment systems vary greatly, depending on the number and the layout of modular subsystems. Besides, the total cost of the D-treatment system equipped with large modular subsystems is generally lower than that of the C-wastewater treatment system, due to lower operation and maintenance needs of the D-treatment system. In addition, the well-designed D-modular subsystems possess a cost advantage over the C-wastewater management3.
Life cycle thinking focuses on the environmental and socio-economic impacts of a product or service through the entire lifecycle4. Life cycle assessment (LCA) normally focuses on environmental impacts e.g., human toxicity, ecotoxicity, global warming, eutrophication and resource depletion, consisting of four steps: (1) definition of system boundary, functional unit and assumptions, (2) life cycle inventory (LCI), (3) life cycle impact assessment (LCIA), and (4) interpretation5,6. For the economic impact, life cycle cost (LCC) takes into account the net cash flow i.e., sources of revenues and expenditures while, life cycle cost assessment (LCCA) takes into account LCC and environmental costs7.
Existing LCA studies that incorporate the life cycle cost (LCC) concept are listed in Table 1. Essentially, the existing studies focus primarily on the centralized wastewater treatment systems, e.g., Awad et al.8, Tabesh et al.9, Polruang et al.10, Bertanza et al.11. Meanwhile, Lorenzo-Toja et al.12, Lorenzo-Toja et al.13 investigated both C- and D-wastewater treatment systems in terms of LCA and LCC.
However, there exists no research that comparatively investigates the C- and D-wastewater treatment systems by using LCCA. This current research is thus the first that applies the LCCA concept to comparatively investigate the C- and D-wastewater management.
Specifically, the aims of this research are: (1) to comparatively investigate the environmental impacts and costs by LCA and the cost-effectiveness by LCCA of the C- and D-biological wastewater treatment systems under four sludge treatment scenarios (C-dewatering, C-fertilizer, D-dewatering, D-fertilizer); and (2) to determine the most cost-effective sludge treatment scenario with the lowest environmental impacts and highest net cash flow. Furthermore, this study also determines the most environmentally and financially optimal WWTP construction option for Thailand’s capital Bangkok between 2022 and 2031 with respect to the LCCA and net present value.
Materials and methods
Figure 1 shows the overall research framework and methodology of the four sludge treatment scenarios and the four WWTP construction options.
System boundary and assumptions
The system boundary is of cradle-to-grave life cycle, encompassing the construction, collection and transportation of wastewater by pipeline to WWTPs, treatment operation, system maintenance, and sludge management. The system boundary excludes the plant demolition due to the unavailability of data specific to Thailand. The functional unit (FU) is one cubic meter (m3) of treated effluent. The effluent meets the requirements on effluent standards of the country’s regulatory body23. Data on the characteristics of influent and effluent belong to the years 2016–2017.
Thailand’s capital Bangkok currently has eight centralized WWTPs (i.e., Bangsue, Chatuchak, Chongnonsi, Dindaeng, Nongkaem, Rattanakosin, Sipraya, and Thungkru plants), and 12 decentralized WWTPs (i.e., Bangbua, Bangna, Bonkai, Huai-khwang, Hua-mark, KhlongChan, KhlongToei, RamIntra, RomKlao, ThaSai, and Tungsonghong I and II).
Figure 2 shows two centralized (C) sludge treatment scenarios: C-dewatering and C-fertilizer (decomposition) treatment scenarios and two decentralized (D) sludge treatment scenarios: D-dewatering and D-fertilizer (decomposition) treatment scenarios.
Life cycle inventory (LCI) and sludge treatment
The 2016–2017 average inventory data of the centralized (i.e., C-dewatering and C-fertilizer) and decentralized sludge treatment scenarios (D-dewatering and D-fertilizer) are also respectively provided in Fig. 2 and Table SI-1 of Supplementary Information (SI)24. In the analysis, this study focuses on the existing eight centralized WWTPs and seven (out of 12) decentralized WWTPs due to either the temporary closure of the remaining decentralized WWTPs for renovation or a lack of data. The average capacity of the centralized and decentralized WWTPs are 139,000 and 2357 m3 per day, respectively. The useful life of the WWTP and sewer network systems are assumed to 30 years.
The air emissions are calculated following the guidelines of the Intergovernmental Panel on Climate Change and the United States Environmental Protection Agency25,26. For the centralized WWTPs, the sludge as co-product from wastewater treatment is anaerobically digested for biogas and decomposed for fertilizer. Meanwhile, for the decentralized WWTPs, the sludge is treated by dewatering for dry organic waste. Due to data unavailability, the operation of anaerobic digestion is excluded from this study.
Dewatering is a mechanical process to separate solid from liquid parts in order to reduce the sludge moisture content27. In this study, all the centralized and decentralized WWTPs are equipped with the thickening system to remove the sludge moisture content by up to 3%27. After thickening, for the centralized wastewater treatment, sludge is transported by truck to Nongkeam WWTP to convert into biogas and fertilizer (i.e., decomposition). Meanwhile, for the decentralized wastewater treatment, sludge is sun-dried and used to fill the land (i.e., dewatering).
In the decomposition, 70% sludge and 30% organic matter are composted by the windrow method to improve the quality of compost24. According to Seleiman et al28, sludge contains 25.77, 12.98, and 3.40 g of nitrogen, phosphorus, and potassium per kg dry matter.
This current research relies on the LCI consequential modeling. For the dewatering, the sludge is used to fill the land, while the sludge is used as a substitute for chemical fertilizers for the decomposition.
Life cycle impact assessment (LCIA)
LCI of four sludge treatment scenarios (C-dewatering, C-fertilizer, D-dewatering, D-fertilizer) are assessed the environmental impacts using Stepwise2006 of SimaPro based on the ecoinvent database. Table SI-2 of SI is provided the details of midpoint impact categories in the Stepwise2006 method. This research focuses on fourteen environmental impacts, including human toxicity (carcinogens), human toxicity (non- carcinogens), aquatic ecotoxicity, terrestrial ecotoxicity, global warming (fossil), respiratory organics, respiratory inorganics, photochemical ozone, acidification, aquatic eutrophication, terrestrial eutrophication, nature occupation, non-renewable energy, and mineral extraction. All environmental impacts are grouped into three damage categories i.e., impacts on ecosystem, human well-being and resource depletion. Additionally, the impact on ecosystem is classified as atmospheric, lithospheric and hydrospheric impacts.
The environmental costs are determined by Stepwise monetary weighting factors that detail in Table SI-3 of SI29,30 and converted into the year 2020 Thai currency (THB2020)31 using purchasing power parity (PPP) (i.e., PPPUS$2002 and PPPTHB2002) and Thailand’s gross domestic product (GDP) deflator index of 2002 and 2020. The details of currency conversion are provided in Table SI-4 of SI.
Sensitivity analysis
According to ISO14044:20065, the sensitivity analysis has the goal to assess the reliability of the final outcomes. Firstly, the electricity consumption is the main contributor of environmental impacts32, all of the sludge treatment scenarios (C-dewatering, C-fertilizer, D-dewatering, D-fertilizer) are thus assumed to successfully reduce the electricity consumption by 10%, 20%, and 30%. Besides, evidence shows that the choice of LCIA method influences the environmental impact outcomes33. As a result, this research also performs the sensitivity analysis of the four sludge treatment scenarios (C-dewatering, C-fertilizer, D-dewatering, D-fertilizer), given 10%, 20%, and 30% reduced electricity consumption, using CML-IA baseline and ReCiPe methods at midpoint level, in addition to Stepwise2006.
Life cycle cost assessment (LCCA)
In the LCCA, the source of revenue (or cash inflow) is the sale of decomposed sludge fertilizer which is priced at 2 THB/kg. For the expenditures (or cash outflow), the construction costs, including the costs of collection system, treatment plant, and dewatering system, are gleaned from publicly available data and prior publications34,35,36. The operation and maintenance (O&M) costs include the costs of electricity, water supply, chemical reagents, sludge treatment, and administrative overheads, e.g., wage, management fee (Department of Drainage and Sewerage24.
The construction and O&M costs are converted into the 2020 Thai baht (THB2020) based on the purchasing power parity (PPP) and gross domestic product (GDP) deflator index31. The PPP and GDP deflator index are used to reconcile differences between the three currencies (US$, EUR and Thai Baht) and multiple time periods.
The LCCA of four sludge treatment scenarios (C-dewatering, C-fertilizer, D-dewatering, D-fertilizer) entail their respective cash inflow and outflow and the environmental costs. In this research, the most cost-effective sludge treatment scenario possesses the largest LCCA surplus or smallest LCCA deficit.
The planned WWTPs
The current total capacity of the centralized and decentralized WWTPs in the capital Bangkok is 1,112,000 and 25,000 m3 per day, respectively. The new centralized WWTP in Minburi district is currently under construction and expected to be complete in 2022, with the maximum wastewater treatment capacity of 10,000 m3 per day. In 2021, all the existing WWTPs combined are capable of treating only 68.33% of Bangkok’s municipal wastewater, given the per-capita daily wastewater generation of 0.2 m337 and the population of 8.39 million38.
By 2027, the population of Thailand’s capital Bangkok is projected to be 8.48 million, with the wastewater generation of around 1.70 million m3 per day. According to Department of Drainage and Sewerage24,Japan International Cooperation Agency34, it takes two years to construct a centralized WWTP at the cost of 3358.27 million THB2020; and one year for a decentralized WWTP at the cost of 118.95 million THB2020. An annual budget of around 4500 million THB2020 is set aside for the construction of new WWTPs (Department of Drainage and Sewerage24.
Given the budgetary constraint and capacity limitations of WWTPs, the Bangkok Metropolitan Administration (BMA) should opt for an environmentally and economically optimal number of future centralized and decentralized WWTPs that match the municipal wastewater treatment demand and supply by 2031. Besides, in this research, the environmental and financial costs of the four sludge treatment scenarios (C-dewatering, C-fertilizer, D-dewatering, D-fertilizer) are used to determine the optimal combined number of centralized and decentralized WWTPs to construct (i.e., options I, II, III, and IV).
In finance, net present value (NPV) is used in capital budgeting and investment planning to determine the profitability of an investment project. Mathematically, NPV is the present value of the future cash flows, discounted at the required rate of return, minus the initial investment. In this research, the discount rate or required rate of return is 10%, given that the discount rate of public infrastructure projects in developing countries is around 10%39. For the planned WWTPs to be constructed in the capital Bangkok, the sources of revenue are fee from wastewater treatment and sale of decomposed sludge fertilizer, while the expenditures include the O&M and environmental costs, excluding the construction cost since the WWTPs are public infrastructure projects funded from state coffers. The wastewater treatment fee is 2 THB2020 per m3 wastewater40. This study also assumes that the BMA could collect 80% of the treated wastewater fee.
Figure 1 shows the four WWTP construction options for the period of 2022–2031: building four centralized WWTPs (option I), building three centralized and 60 decentralized WWTPs (option II), building two centralized and 127 decentralized WWTPs (option III), and building one centralized and 194 decentralized WWTPs (option IV).
Results and discussion
Environmental outcomes and sensitivity analysis
As shown in Fig. 2, the average input of the centralized treatment (C-dewatering and C-fertilizer), including electricity, polymer, transportation of polymer, and water supply, are higher than that of the decentralized treatment (D-dewatering and D-fertilizer). Meanwhile, the average output of the centralized treatment, including air (CO2, CH4) and water (BOD, total P) emissions, are lower due to higher treatment efficiency of the centralized WWTPs. The direct greenhouse gas (GHG) emissions of the centralized treatment are lower than the decentralized treatment. However, the indirect GHG emissions (i.e., electricity consumption) of the centralized treatment are higher. Higher heavy metals of the centralized treatment scenarios are attributable to higher sludge generation of the centralized treatment than the decentralized treatment.
Table 2 shows the contribution analysis results in terms of the environmental impacts of the four sludge treatment scenarios (C-dewatering, C-fertilizer, D-dewatering, D-fertilizer). Under all treatment scenarios, electricity consumption contributes negatively to almost all environmental impact categories, except for human toxicity (non-carcinogens), aquatic ecotoxicity, and aquatic eutrophication. Human toxicity (non-carcinogens) and aquatic ecotoxicity are inversely correlated to heavy metals in sludge, while aquatic eutrophication is inversely correlated to effluent quality. Electricity consumption of C-dewatering and C-fertilizer is the main contributor of mineral extraction, while the main contributor of mineral extraction of D-dewatering and D-fertilizer is tap water consumption. The mechanical aeration is responsible for the lion’s share of the electricity cost in wastewater treatment10,16,32. The electricity consumption of the centralized treatment scenarios (0.873 kWh/m3 treated wastewater) is greater than the decentralized treatment scenarios (0.363 kWh/m3 treated wastewater). The average electricity consumption of 22 WWTPs in Spain (0.36 kWh/m3 treated wastewater)12 is lower that both centralized and decentralized treatment scenarios of this study. In comparison with Arashiro et al.21, the electricity consumption and sludge of the decentralized treatment in this study is lower. All of the environmental impacts, excluding aquatic eutrophication, of the centralized treatment scenarios are higher than the decentralized treatment scenarios. The aquatic eutrophication of the centralized treatment scenarios is lower than the decentralized treatment scenarios. This is attributable to lower total phosphorus in the effluent of the centralized treatment scenarios (0.73 g total P per m3 treated wastewater), compared to that of the decentralized treatment scenarios (1.52 g total P per m3 treated wastewater). In comparison with dewatering, sludge decomposition (i.e., for fertilizer) generates lower environmental impacts. According to Seleiman et al.28,Kominko et al.41, sludge is rich in nutrients that are beneficial for crop growth without contaminating groundwater and agriculture produce. However, in this current research, the heavy metals in sludge fertilizer, including copper, cadmium and mercury, exceed the regulatory limits on organic fertilizer standards42. To minimize food-related toxicity in human, the authorities thus stipulate that sludge fertilizers should be used in ornamental plants (Department of Drainage and Sewerage24.
Figure 3 compares the total environmental costs of four sludge management scenarios (C-dewatering, C-fertilizer, D-dewatering, D-fertilizer). The total environmental cost of the C-dewatering scenario is highest (1.69 THB2020 per m3 treated effluent), while that of the D-fertilizer scenario is lowest (0.70 THB2020 per m3 treated effluent). Of all the four scenarios, impact on ecosystem accounts for the largest proportion of the environmental costs (0.52–1.01 THB2020 per m3 treated effluent or 59.98–73.71% of total environmental costs) and the largest proportion of the impact on ecosystem is the atmospheric impact (0.35–0.90 THB2020 per m3 treated effluent or 50.16–56.17% of total environmental costs). The impacts on ecosystem and human well-being of all scenarios cover more than 90% of total environmental costs. The total environmental costs of the centralized sludge treatment scenarios (C-dewatering and C-fertilizer) are higher than the decentralized sludge treatment scenarios (D-dewatering and D-fertilizer). The total environmental costs of the dewatering scenarios (1.69 and 0.83 THB2020 per m3 treated effluent for C-dewatering and D-dewatering) are higher than those of C- and D-fertilizer scenarios (1.47 and 0.70 THB2020 per m3 treated effluent).
The sensitivity analysis showed negligible differences in the environmental impacts between the C- and D-dewatering scenarios, given the reduction in electricity consumption by 10%, 20%, and 30%. For the C- and D-fertilizer scenarios, heavy metals, nitrogen and phosphorus in sludge affect human toxicity, ecotoxicity, eutrophication and resources categories under Stepwise2006, CML-IA baseline, and ReCiPe methods. The findings are consistent with Heimersson et al43,Niero et al44,Renou et al.45.
LCCA outcomes and the most cost-effective scenarios
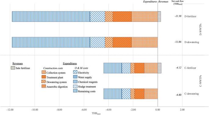
Figure 4 presents the revenue and expenditures of the four sludge management scenarios (C-dewatering, C-fertilizer, D-dewatering, D-fertilizer). The revenue from sale of sludge fertilizer under the C- and D-fertilizer scenarios are 0.29 and 0.25 THB2020 per m3 treated effluent. For the expenditures, the construction and O&M costs of the centralized treatment scenarios (2.21 and 2.20 THB2020 per m3 treated effluent) are lower than those of the decentralized treatment scenarios (4.28 and 7.55 THB2020 per m3 treated effluent). In this study, the total financial costs of the centralized sludge treatment scenarios (C-dewatering and C-fertilizer) are higher than the decentralized sludge treatment scenarios (D-dewatering and D-fertilizer). The finding however contradicts Jung et al.3.
The construction costs of the existing decentralized treatment scenarios are higher than the centralized treatment scenarios since most of the existing decentralized WWTPs in Thailand were constructed more than three decades and have treated wastewater using energy-inefficient technology, e.g., mechanical aerations46. The decentralized treatment scenarios are classified by the demand for electricity as the small general service and the centralized treatment scenarios as the large general service24. The electricity cost (THB per kWh) of the small general service (or the decentralized treatment scenarios) of 1.21 THB2020 per m3 treated effluent was higher than that of the large general service (or the centralized treatment scenarios) of 0.70 THB2020 per m3 treated effluent47. The administrative overheads, e.g., wage, management fee, of the decentralized treatment scenarios (6.33 THB2020 per m3 treated effluent) are higher than the centralized treatment scenarios (1.46 THB2020 per m3 treated effluent).
Figure 5 shows the LCCA results of the four sludge management scenarios (C-dewatering, C-fertilizer, D-dewatering, D-fertilizer). The LCCA of the centralized treatment scenarios (C-dewatering and C-fertilizer) (−6.09 and −5.58 THB2020 per m3 treated effluent, respectively) are higher than that of the decentralized scenarios (D-dewatering and D-fertilizer) (−12.67 and −12.29 THB2020 per m3 treated effluent, respectively). The LCCA of C- and D-fertilizer scenarios (−5.58 and −12.29 THB2020 per m3 treated effluent, respectively) are higher than those of the C- and D-dewatering scenarios (−6.09 and −12.67 THB2020 per m3 treated effluent, respectively). The O&M costs of the decentralized treatment scenarios (D-dewatering and D-fertilizer) account for 59.61–60.24% of total cash outflow (i.e., the construction (33.80–34.16%), environmental (5.60–6.59%) and O&M costs), unlike the centralized treatment scenarios (C-dewatering and C-fertilizer) in which the construction, O&M and environment costs account for 36.23–37.59%, 36.06–37.41%, and 25–27.71% of the total cash outflow, respectively.
For the most cost-effective sludge treatment scenarios, the C-fertilizer scenario is the most environmentally and economically viable scenario given the highest revenue and lowest total cash outflow. By comparison, the environmental costs of sludge decomposition (C- and D-fertilizer scenarios) are lower than those of dewatering (C- and D-dewatering scenarios). Meanwhile, the net cash flows of sludge decomposition are greater than those of dewatering.
The outcomes of planned WWTPs
Figure 6 shows the LCCA results of the four WWTP construction options (i.e., options I, II, III, and IV) for the period of 2022–2031. The annual total costs of the four options are negative because of higher cash outflow and environmental costs, in comparison with the cash inflow. The LCCA deficit of option I is lowest (-19,925 million THB2020), followed by option II (-23,613 million THB2020).
The NPVs of the four WWTP construction options are provided in Table SI-5 to SI-8 of SI. The negative NPVs are attributable to lower cash inflow (revenues), vis-à-vis the cash outflow (expenditures). The financial loss, as measured by the NPV, of option I is smallest (-6309.96 million THB2020), followed by option II (-6938.15 million THB2020). Meanwhile, the current wastewater treatment fee for Bangkok residents of 2 THB2020 per m3 wastewater is 3.5 times below the required minimum fee.
The WWTP construction option I, which entails building four centralized WWTPs within 10 years between 2022–2031, is the most environmentally and economically optimal WWTP construction option for the capital Bangkok, given its lowest LCCA deficit (−19925 million THB2020) and smallest financial loss (NPV = −6309.96 million THB2020).
Conclusions
The research findings reveal that electricity consumption is the main contributor of almost environmental impacts in all four sludge treatment scenarios. All environmental impacts, excluding aquatic eutrophication, of the decentralized treatment scenarios are lower than those of the centralized treatment scenarios. The total environmental cost of the D-fertilizer scenario is lowest (0.70 THB2020 per m3 treated effluent), while that of the C-dewatering scenario is highest (1.69 THB2020 per m3 treated effluent). The largest proportion of the environmental costs is the impact on ecosystem of all the four scenarios (59.98–73.71% of total environmental costs). The environmental costs of the decentralized treatment scenarios are lower than those of the centralized treatment scenarios. The total environmental costs of C- and D-fertilizer scenarios are lower than those of C- and D-dewatering scenarios.
The total financial costs of the centralized treatment scenarios (C-dewatering and C-fertilizer) are greater than those of the decentralized treatment scenarios (D-dewatering and D-fertilizer). The construction and O&M costs of the decentralized treatment scenarios are higher than the centralized treatment scenarios. The LCCA deficit (including revenue, expenditures and environmental costs) of the C-fertilizer scenario is the smallest. Besides, the C-fertilizer scenario is the most environmentally and economically viable treatment scenario given its highest revenue and lowest expenditures. Specifically, composting should be adopted for sludge treatment.
The environmentally and financially optimal WWTP construction option is to construct four centralized WWTPs between 2022–2031 (option I), given the lowest LCCA deficit (−19925 million THB2020) and smallest financial loss (NPV = −6309.96 million THB2020). Essentially, the Bangkok Metropolitan Administration, which is the local government of the capital Bangkok, should adopt option I as a guideline in formulating the wastewater treatment management policy of 2022–2031.
Data availability
The authors declare that the inventory data and the findings of this study are available within the article and in the supplementary information.
References
Andersson, K. et al. Sanitation, Wastewater Management and Sustainability: from Waste Disposal to Resource Recovery. 2nd edn, (United Nations Environment Programme and Stockholm Environment Institute, 2020).
UN Water. (2017).
Jung, Y. T., Narayanan, N. C. & Cheng, Y.-L. Cost comparison of centralized and decentralized wastewater management systems using optimization model. J. Environ. Manage. 213, 90–97. https://doi.org/10.1016/j.jenvman.2018.01.081 (2018).
Life Cycle Initiative. What is Life Cycle Thinking?, <www.lifecycleinitiative.org> (2022).
ISO. (International Organization for Standardization, Switzerland, 2006).
Yapıcıoğlu, P. & Demir, Ö. Life cycle assessment of sewage sludge treatment–an overview. HU J. of Eng. 02, 78–92 (2017).
Gluch, P. & Baumann, H. The life cycle costing (LCC) approach: a conceptual discussion of its usefulness for environmental decision-making. Build. Environ. 39, 571–580. https://doi.org/10.1016/j.buildenv.2003.10.008 (2004).
Awad, H., Gar Alalm, M. & El-Etriby, H. K. Environmental and cost life cycle assessment of different alternatives for improvement of wastewater treatment plants in developing countries. Sci. Total Environ. 660, 57–68. https://doi.org/10.1016/j.scitotenv.2018.12.386 (2019).
Tabesh, M., Feizee Masooleh, M., Roghani, B. & Motevallian, S. S. Life-cycle assessment (LCA) of wastewater treatment plants: A case study of Tehran Iran. Int. J. Civ. Eng. 17, 1155–1169. https://doi.org/10.1007/s40999-018-0375-z (2019).
Polruang, S., Sirivithayapakorn, S. & Prateep Na Talang, R. A comparative life cycle assessment of municipal wastewater treatment plants in Thailand under variable power schemes and effluent management programs. J. Clean. Prod. 172, 635–648. https://doi.org/10.1016/j.jclepro.2017.10.183 (2018).
Bertanza, G. et al. A comparison between two full-scale MBR and CAS municipal wastewater treatment plants: Techno-economic-environmental assessment. Environ. Sci. Pollut. Res. 24, 17383–17393. https://doi.org/10.1007/s11356-017-9409-3 (2017).
Lorenzo-Toja, Y. et al. Benchmarking wastewater treatment plants under an eco-efficiency perspective. Sci. Total Environ. 566–567, 468–479. https://doi.org/10.1016/j.scitotenv.2016.05.110 (2016).
Lorenzo-Toja, Y. et al. Eco-efficiency analysis of Spanish WWTPs using the LCA + DEA method. Water Res. 68, 651–666. https://doi.org/10.1016/j.watres.2014.10.040 (2015).
Hospido, A., Moreira, M. T. & Feijoo, G. A comparison of municipal wastewater treatment plants for big centres of population in Galicia (Spain). Int. J. Life Cycle Assess. 13, 57–64. https://doi.org/10.1065/lca2007.03.314 (2007).
Rodriguez-Garcia, G. et al. Environmental and economic profile of six typologies of wastewater treatment plants. Water Res. 45, 5997–6010. https://doi.org/10.1016/j.watres.2011.08.053 (2011).
Ontiveros, G. A. & Campanella, E. A. Environmental performance of biological nutrient removal processes from a life cycle perspective. Bioresour. Technol. 150, 506–512. https://doi.org/10.1016/j.biortech.2013.08.059 (2013).
Li, Y., Luo, X., Huang, X., Wang, D. & Zhang, W. Life cycle assessment of a municipal wastewater treatment plant: A case study in Suzhou. China. J. Clean. Prod. 57, 221–227. https://doi.org/10.1016/j.jclepro.2013.05.035 (2013).
Yoshida, H., Clavreul, J., Scheutz, C. & Christensen, T. H. Influence of data collection schemes on the life cycle assessment of a municipal wastewater treatment plant. Water Res. 56, 292–303. https://doi.org/10.1016/j.watres.2014.03.014 (2014).
Limphitakphong, N., Pharino, C. & Kanchanapiya, P. Environmental impact assessment of centralized municipal wastewater management in Thailand. Int. J. Life Cycle Assess. 21, 1789–1798. https://doi.org/10.1007/s11367-016-1130-9 (2016).
Garfí, M., Flores, L. & Ferrer, I. Life Cycle Assessment of wastewater treatment systems for small communities: Activated sludge, constructed wetlands and high rate algal ponds. J. Clean. Prod. 161, 211–219. https://doi.org/10.1016/j.jclepro.2017.05.116 (2017).
Arashiro, L. T. et al. Life cycle assessment of high rate algal ponds for wastewater treatment and resource recovery. Sci. Total Environ. 622–623, 1118–1130. https://doi.org/10.1016/j.scitotenv.2017.12.051 (2018).
Singh, A. et al. Technical, hygiene, economic, and life cycle assessment of full-scale moving bed biofilm reactors for wastewater treatment in India. Environ. Sci. Pollut. Res. 25, 2552–2569. https://doi.org/10.1007/s11356-017-0605-y (2018).
Ministry of Natural Resources and Environment. 69D (Royal Government Gazette, 2010).
Department of Drainage and Sewerage. Statistic information 2014 - 2017, <dds.bangkok.go.th> (2018).
IPCC. In Waste Ch. Wastewater treatment and discharge, (2006).
U.S.EPA. (RIT International, USA, 2010).
Tchobanoglous, G., Burton, F. L. & Stensel, H. D. Wastewater Engineering Treatment and Reuse. 4th edn, (Metcalf & Eddy, Inc, 2003).
Seleiman, M. F., Santanen, A. & Mäkelä, P. S. A. Recycling sludge on cropland as fertilizer–advantages and risks. Resour. Conserv. Recycl. 155, 104647. https://doi.org/10.1016/j.resconrec.2019.104647 (2020).
Pizzol, M., Weidema, B., Brandão, M. & Osset, P. Monetary valuation in life cycle assessment: A review. J. Clean. Prod. 86, 170–179. https://doi.org/10.1016/j.jclepro.2014.08.007 (2015).
Weidema, B. P. In Environmental improvement potentials of meat and dairy products (eds Eder P & Delgado L) (Institute for Prospective Technological Studies, Sevilla, Spain, 2008).
World Bank. World Databank, <data.worldbank.org> (2020).
Prateep Na Talang, R., Sirivithayapakorn, S. & Polruang, S. Environmental impacts and cost-effectiveness of Thailand’s centralized municipal wastewater treatment plants with different nutrient removal processes. J. Clean. Prod. 256, 120433. https://doi.org/10.1016/j.jclepro.2020.120433 (2020).
Sala, S., Laurent, A., Vieira, M. & Van Hoof, G. Implications of LCA and LCIA choices on interpretation of results and on decision support. Int. J. Life Cycle Assess. 25, 2311–2314. https://doi.org/10.1007/s11367-020-01845-2 (2020).
Japan International Cooperation Agency. Survey inception report of wastewater treatment plants in Bangkok. (Bangkok, Thailand, 2011).
Kaosol, T. Optimum operating conditions of anaerobic digester for the treatment of sludge Master Degree thesis, Kasetsart University, (1997).
Shahid, K. & Hittinger, E. Techno-economic optimization of food waste diversion to treatment facilities to determine cost effectiveness of policy incentives. J. Clean. Prod. 279, 122634. https://doi.org/10.1016/j.jclepro.2020.122634 (2021).
Pollution Control Department. Manual: Domestic Wastewater Treatment System, <www.oic.go.th> (2017).
Office of the National Economic and Social Development Council. (Amarin Printing & Publishing Public Co., Ltd., Bangkok, Thailand, 2019).
Warusawitharana, M. The social discount rate in developing countries. (Board of Governors of the Federal Reserve System, Washington D.C., USA, 2014).
Department of Drainage and Sewerage. Wastewater treatment fee in Bangkok, <dds.bangkok.go.th> (2020).
Kominko, H., Gorazda, K. & Wzorek, Z. Potentiality of sewage sludge-based organo-mineral fertilizer production in Poland considering nutrient value, heavy metal content and phytotoxicity for rapeseed crops. J. Environ. Manage. 248, 109283. https://doi.org/10.1016/j.jenvman.2019.109283 (2019).
Department of Agriculture. 122 9-10 (Ministry of Agriculture and Cooperatives, Bangkok, Thailand, 2005).
Heimersson, S., Svanström, M., Laera, G. & Peters, G. Life cycle inventory practices for major nitrogen, phosphorus and carbon flows in wastewater and sludge management systems. Int. J. Life Cycle Assess. 21, 1197–1212. https://doi.org/10.1007/s11367-016-1095-8 (2016).
Niero, M., Pizzol, M., Bruun, H. G. & Thomsen, M. Comparative life cycle assessment of wastewater treatment in Denmark including sensitivity and uncertainty analysis. J. Clean. Prod. 68, 25–35. https://doi.org/10.1016/j.jclepro.2013.12.051 (2014).
Renou, S., Thomas, J. S., Aoustin, E. & Pons, M. N. Influence of impact assessment methods in wastewater treatment LCA. J. Clean. Prod. 16, 1098–1105. https://doi.org/10.1016/j.jclepro.2007.06.003 (2008).
Suriyachan, C., Nitivattananon, V. & Amin, A. T. M. N. Potential of decentralized wastewater management for urban development: Case of Bangkok. Habitat Int. 36, 85–92. https://doi.org/10.1016/j.habitatint.2011.06.001 (2012).
Metropolitan Electricity Authority. Electricity tariff, <www.mea.or.th> (2021).
Acknowledgements
The authors would like to express deep gratitude to the Faculty of Engineering, Kasetsart University, for SimaPro software support.
Author information
Authors and Affiliations
Contributions
R.P.: Design of the work, Analysis, Investigation, Interpretation of data and Writing–Original Draft. S.S.: Conceptualization and Supervision. S.P.: Conceptualization, Resources, Interpretation of data and Writing–Review & Editing.
Corresponding author
Ethics declarations
Competing interests
The authors declare no competing interests.
Additional information
Publisher's note
Springer Nature remains neutral with regard to jurisdictional claims in published maps and institutional affiliations.
Supplementary Information
Rights and permissions
Open Access This article is licensed under a Creative Commons Attribution 4.0 International License, which permits use, sharing, adaptation, distribution and reproduction in any medium or format, as long as you give appropriate credit to the original author(s) and the source, provide a link to the Creative Commons licence, and indicate if changes were made. The images or other third party material in this article are included in the article's Creative Commons licence, unless indicated otherwise in a credit line to the material. If material is not included in the article's Creative Commons licence and your intended use is not permitted by statutory regulation or exceeds the permitted use, you will need to obtain permission directly from the copyright holder. To view a copy of this licence, visit http://creativecommons.org/licenses/by/4.0/.
About this article
Cite this article
Prateep Na Talang, R., Sirivithayapakorn, S. & Polruang, S. Life cycle impact assessment and life cycle cost assessment for centralized and decentralized wastewater treatment plants in Thailand. Sci Rep 12, 14540 (2022). https://doi.org/10.1038/s41598-022-18852-y
Received:
Accepted:
Published:
Version of record:
DOI: https://doi.org/10.1038/s41598-022-18852-y
This article is cited by
-
Assessing Environmental Impacts Under Different Energy Mix Scenario for Non-Potable Water Reclamation in Domestic Wastewater Treatment Plant from a Megacity
Water Conservation Science and Engineering (2026)
-
AI-enabled modeling for smart rural wastewater treatment systems: current practices and remaining gaps
Applied Water Science (2026)
-
Scenario Setting in Life Cycle Assessments for Wastewater Treatment: A Comprehensive Review
Current Pollution Reports (2025)
-
Design and development of Co3O4/V2O5-carbon nanotube nanohybrids for improved photocatalytic performance
Journal of Materials Science: Materials in Electronics (2025)
-
Synergistic Enhancement for Photocatalytic and Antibacterial Properties of Vanadium Pentoxide (V2O5) Nanocomposite Supported on Multi-Walled Carbon Nanotubes
Journal of Cluster Science (2025)








