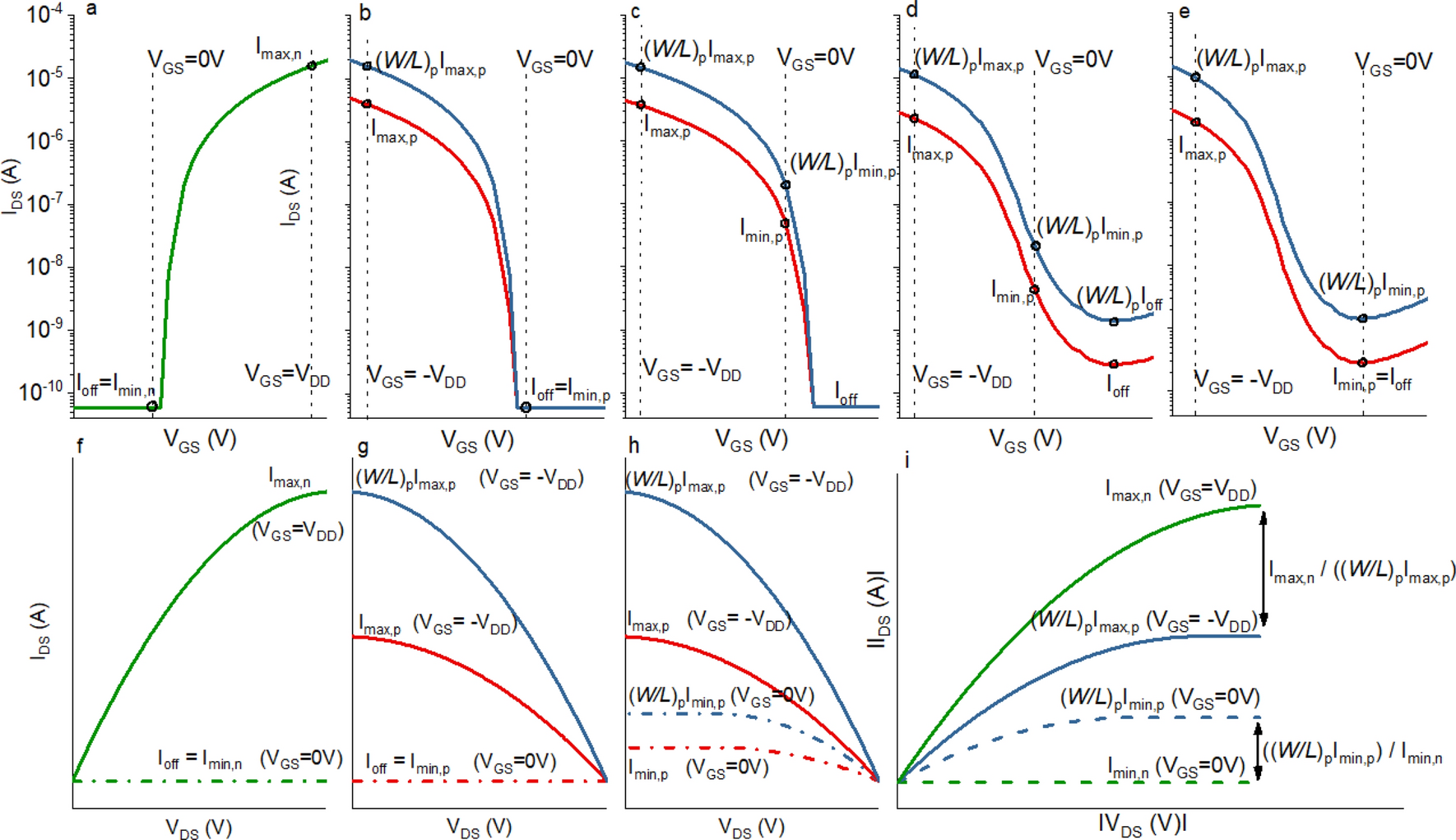
Figure 1

Transfer characteristics and output characteristics of: (a,f) ‘ideal silicon’ n-type transistor with Von ~ 0 V and complete channel depletion; Ioff = Imin,n does not scale with (W/L)n. (b,g) p-type transistor with Von ~ 0 V and complete channel depletion; to match the higher mobility of the n-type, Imax,p is scaled by (W/L)p, Ioff = Imin,p does not scale with (W/L)p. (c,h) p-type transistor with Von > 0 V and complete channel depletion; at VGS = 0 V the transistor is partly turned on and both Imax,p and Imin,p scale with (W/L)p. (d,e,h) ‘oxide’ p-type transistor without complete channel depletion; both Ioff and Imin,p scale with (W/L)p. (i) Maximum and minimum output currents for n- (green) and p-type transistors, and the ratio between them after scaling with (W/L)p.