Figure 2

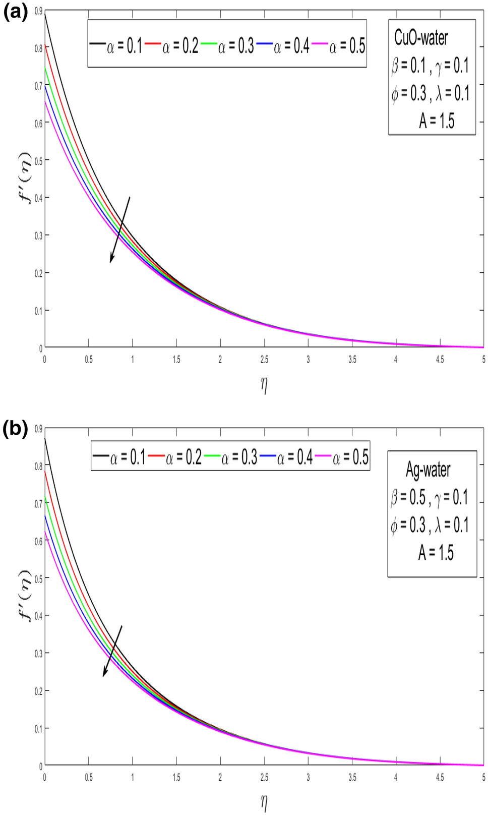
(a) Influence of velocity slip α parameter above \(f^{\prime}\left( \eta \right)\) for CuO nanoparticle. (b) Influence of velocity slip α parameter over \(f^{\prime}\left( \eta \right)\) for Ag nanoparticle.

(a) Influence of velocity slip α parameter above \(f^{\prime}\left( \eta \right)\) for CuO nanoparticle. (b) Influence of velocity slip α parameter over \(f^{\prime}\left( \eta \right)\) for Ag nanoparticle.