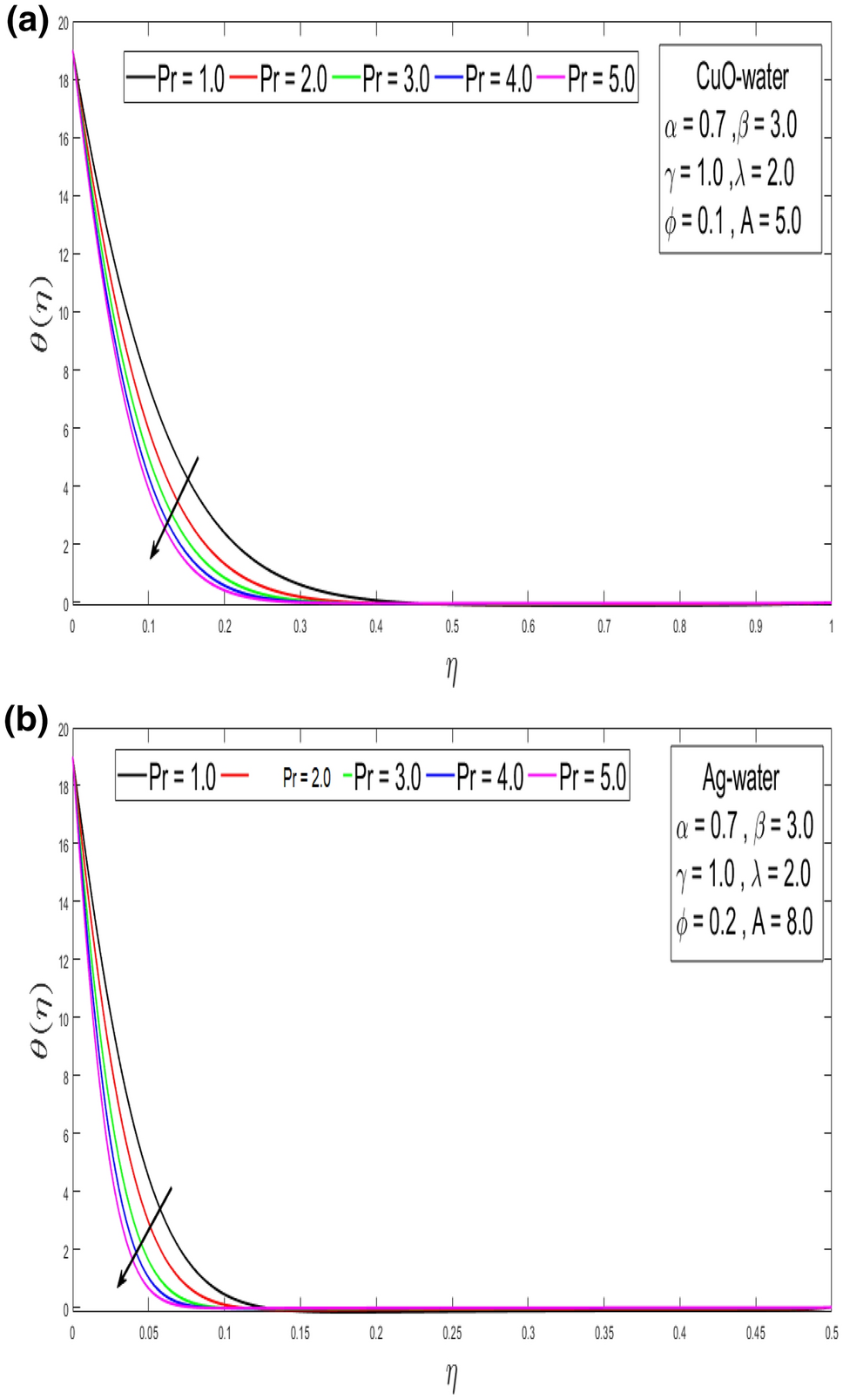
Figure 6

(a) Influence on Prandtl number (Pr) of θ(η)for CuO-water nanofluid. (b) Influence on Prandtl number (Pr) of θ(η) for Ag-water nanofluid.

(a) Influence on Prandtl number (Pr) of θ(η)for CuO-water nanofluid. (b) Influence on Prandtl number (Pr) of θ(η) for Ag-water nanofluid.