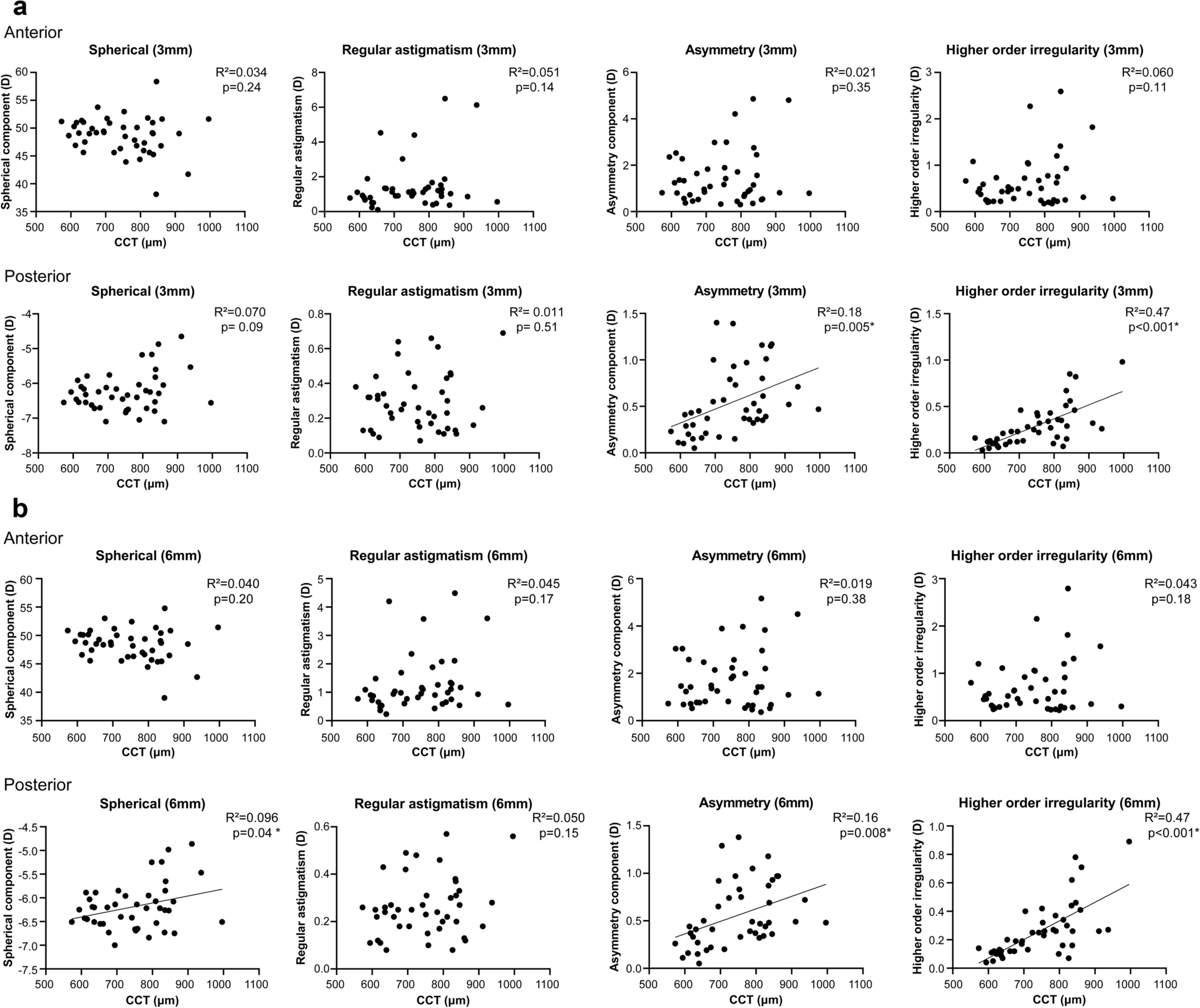
Figure 2

Linear regression between central corneal thickness (CCT) and each Fourier component in the anterior and posterior cornea within the central (a) 3 mm and (b) 6 mm zones. Significant correlations are seen for the posterior cornea between CCT and the spherical component within the central 6 mm zone (R2 = 0.096, p = 0.04), asymmetry within the central 3 mm (R2 = 0.18, p = 0.005), higher-order irregularity within the central 3 mm (R2 = 0.47, p < 0.001), asymmetry within the central 6 mm zone (R2 = 0.16, p = 0.008) and higher-order irregularity within the central 6 mm zone (R2 = 0.47, p < 0.001). Regression lines are drawn for graphs with statistical significance (*p < 0.05).