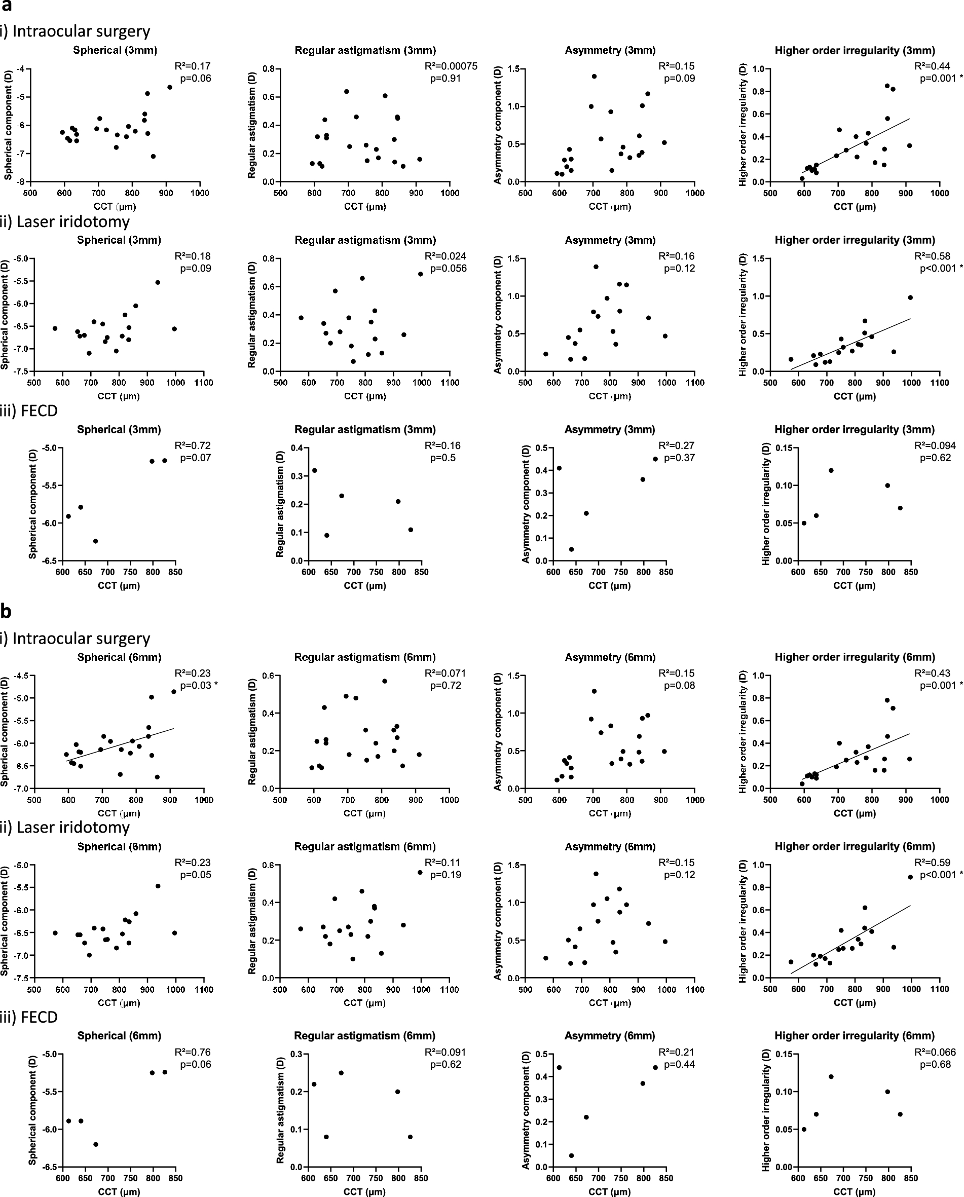
Figure 3

Subgroup analysis of the posterior cornea based on the cause of bullous keratopathy: intraocular surgery, laser iridotomy and Fuchs endothelial corneal dystrophy (FECD). Linear regression analysis is done between central corneal thickness (CCT) and each Fourier component within the central (a) 3 mm and (b) 6 mm zones. Linear regression shows significant correlations between CCT and the spherical component within the central 6 mm zone (R2 = 0.23, p = 0.03), the higher-order irregularity within the central 3 mm zone (R2 = 0.44, p = 0.001) and the higher-order irregularity within the central 6 mm zone (R2 = 0.43, p = 0.001) for the intraocular surgery group. The laser iridotomy group has significant correlations between CCT and the higher-order irregularity within the central 3 mm zone (R2 = 0.58, p < 0.001) and the central 6 mm zone (R2 = 0.59, p < 0.001). Regression lines are drawn for graphs with statistical significance (*p < 0.05).