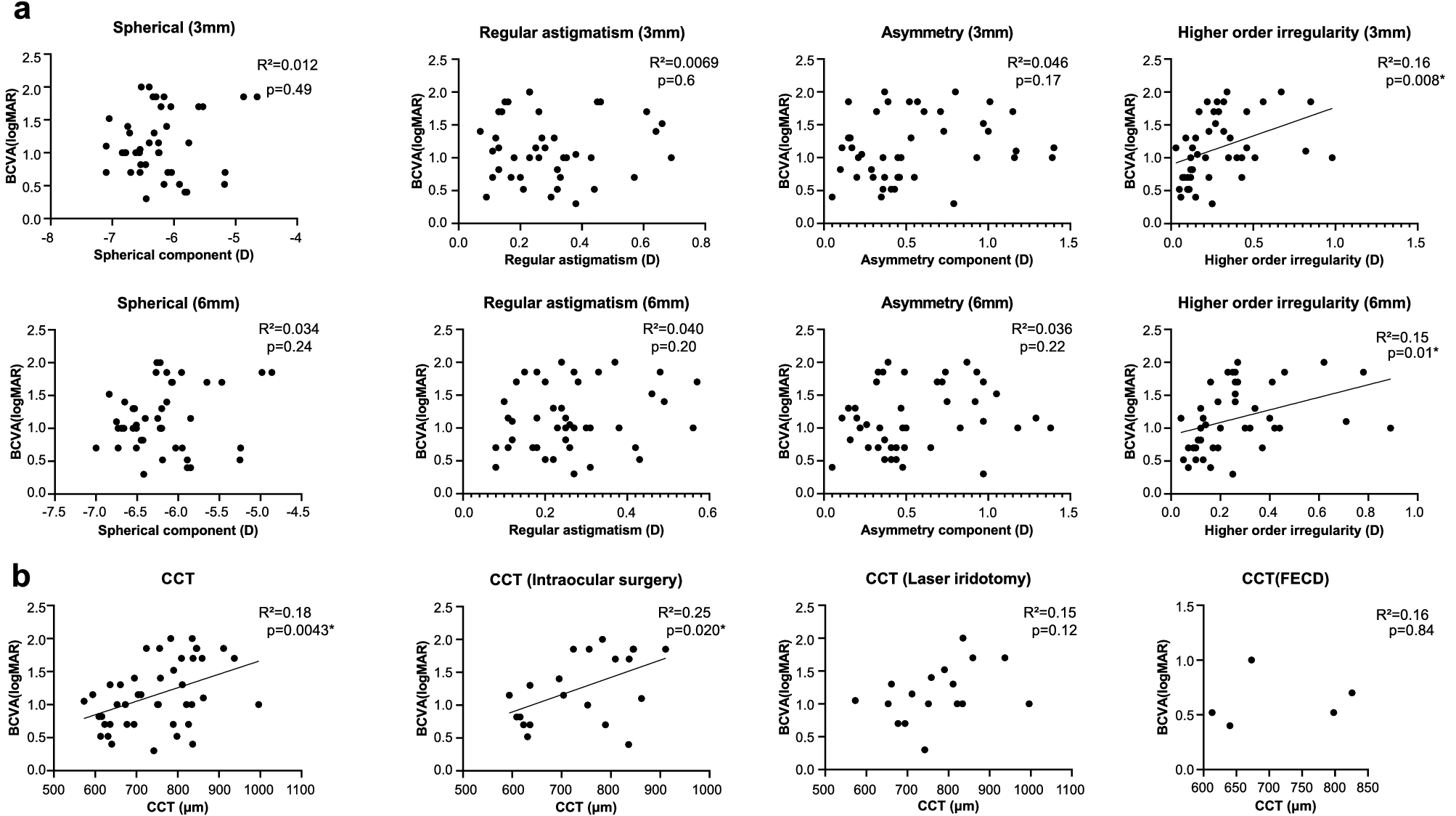
Figure 4

Linear regression between (a) each Fourier component of the posterior cornea and logMAR best corrected visual acuity (BCVA), as well as (b) CCT and logMAR BCVA. Significant associations are seen with higher-order irregularity in the central 3 mm zone (R2 = 0.16, p = 0.008) and the central 6 mm zone (R2 = 0.15, p = 0.01). A significant association is seen between CCT and logMAR BCVA (R2 = 0.18, p = 0.0043) With subgroup analysis that divides BK etiologies into three groups (intraocular surgery, laser iridotomy and FECD), only CCT in the intraoperative surgery group significantly correlates with BCVA (R2 = 0.25, p = 0.020). Regression lines are drawn for graphs with statistical significance (*p < 0.05).