Abstract
Energy storage is a way of storing energy to reduce imbalances between demand and energy production. The ability to store electricity and use it later is one of the keys to reaching large quantities of renewable energy on the grid. There are several methods to store energy such as mechanical, electrical, chemical, electrochemical, and thermal energy. Regarding their operation, storage, and cost, the choice of these energy storage techniques appears to be interesting. This issue becomes very serious when there involves uncertainty. To consider this kind of uncertain information, a picture fuzzy soft set is found to be a more appropriate parameterization tool to deal with imprecise data. Based on the advanced structure of picture fuzzy soft set, here in this article, firstly, we have developed the notions of basic operational laws for picture fuzzy soft numbers. Then based on these developed operational laws, we have established the notions of picture fuzzy soft power average \(\left({\mathrm{PFS}}_{\mathrm{ft}}\mathrm{PA}\right)\), weighted picture fuzzy soft power average \(\left({\mathrm{WPFS}}_{\mathrm{ft}}\mathrm{PA}\right)\) and ordered weighted picture fuzzy soft power average \(\left({\mathrm{OWPFS}}_{\mathrm{ft}}\mathrm{PA}\right)\) aggregation operators. Moreover, we have introduced the notions for picture fuzzy soft power geometric \(\left({\mathrm{PFS}}_{\mathrm{ft}}\mathrm{PG}\right)\), weighted picture fuzzy soft power geometric \(\left({\mathrm{WPFS}}_{\mathrm{ft}}\mathrm{PG}\right)\) and ordered weighted picture fuzzy soft power geometric \(\left({\mathrm{OWPFS}}_{\mathrm{ft}}\mathrm{PG}\right)\) aggregation operators. Furthermore, we have established the application of picture fuzzy soft power aggregation operators for the selection of thermal energy storage techniques. For this, we have developed a decision-making approach along with an explanatory example to show the effective use of the developed theory. Furthermore, a comparative analysis of the introduced work shows the advancement of developed notions.
Similar content being viewed by others
Introduction
Energy storage techniques help to store the energy that can be used further in the future to cover energy problems. The thermal energy storage technique (TEST) is considered to be the most crucial energy technique. Dincer1 proved in his research that TEST is the key energy storage technique for energy conservation. Economic reasons have an impact on energy conversion systems, and this has made TEST more prominent. Kocak et al.2 reveal that TEST is a useful technique and it has many applications in industry. Such TEST systems have a lot of potential for expanding the use of thermal energy equipment on an optional basis. There are typically three different types of TEST, namely, sensible TEST, latent TEST, and thermochemical TEST. The necessary storage time typically affects the choice of TEST. TESTs seem to be among the most appealing thermal applications in this area.
The fuzzy set (FS)3 originated by Zadeh is a great achievement for dealing with ambiguous data to reduce uncertainty. The theory of FS has been extensively used in different fields. The fuzzy TOPSIS technique was developed by Cavallaro4, who then used it for the evaluation of thermal energy storage in concentrating solar power projects. Gumus et al.5 additionally suggested fuzzy AHP and fuzzy GRA approach for selecting hydrogen energy systems. Soft set \(\left({S}_{ft}S\right)\) introduced by Molodtsov6 is one of the value structures that use parameterization tools that can reduce uncertainty in more decent ways. The conception of \({S}_{ft}S\) has made remarkable contributions in different fields like medical7 and MCDM approaches8. Feng et al.9 use the idea of \({S}_{ft}S\) in three-way decision-making problems and established three-way decision-making on canonical soft sets of hesitant fuzzy sets.
Many new developments have been made in this regard and some structures have been developed like fuzzy soft set10 \(F{S}_{ft}S\), intuitionistic fuzzy soft set \(\left(IF{S}_{ft}S\right)\)11, Pythagorean fuzzy soft set \(\left(PyF{S}_{ft}S\right)\)12 and q-rung orthopair fuzzy soft set13 \(\left(q-ROF{S}_{ft}S\right).\) Many scholars have applied similar ideas to various fields, such as cleaner production evaluation for the aviation industry by Peng and Li14 using \(F{S}_{ft}S. IF{S}_{ft}S\) is a more advanced structure because it covers membership grade (MG) and non-membership grade (NMG) by using the circumstances that the sum (MG, NMG) must belong to [0, 1]. \(IF{S}_{ft}S\) provides more space to decision-makers and they have utilized this structure in different fields. Khan et al.15 use the concept of \(IF{S}_{ft}S\) into the decision support system. Furthermore, based on Archimedean t-norms of \(IF{S}_{ft}S\), some generalized Maclaurin symmetric mean aggregation operations have been proposed by Garg and Arora16. Moreover, Hooda et al.17 use the concept of \(IF{S}_{ft}S\) to medical fields and provide its applications. Moreover, Garg and Arora18 introduced generalized \(IF{S}_{ft}\) power aggregation operators based on generalized t-norms. Also, some new methods have been introduced like the PROMETHEE method have been introduced by Feng et al.19 based on \(IF{S}_{ft}S\). Feng et al.20 proposed another view on generalized \(IF{S}_{ft}S\) and discussed its applications to MADM problems.\(PyF{S}_{ft}S\) uses the more advanced condition that \(sum\left({MG}^{2}, {NMG}^{2}\right)\) must belong to [0, 1]. Based on this more advanced structure, an extended \(PyF{S}_{ft}S\) computing strategy for systems of environmental management was proposed by Ding et al.21 for renewable energy pricing. Moreover, Zulqarnain et al.22 proposed TOPSIS methods using the environment of the correlation coefficient for \(PyF{S}_{ft}S\) and provide its applications towards supply chain management. Furthermore, the applications of \(PyF{S}_{ft}S\) in green supplier chain management has been developed by Zulqarnain et al.23. \(PyF{S}_{ft}S\) is a valuable structure but in many cases when decision-makers supply \(0.8\) as MG and \(0.7\) as NMG then note that \({0.8}^{2}+{0.7}^{2}\notin \left[0, 1\right].\) It means that \(PyF{S}_{ft}S\) is a limited structure. \(q-ROF{S}_{ft}S\) can cover that issue more effectively and uses the condition that \(sum \left({MG}^{q}, {NMG}^{q}\right)\in \left[0, 1\right]. q-ROF{S}_{ft}S\) is a more advanced structure and provides more space for decision-makers. Many researchers have used this notation for different applications. Zulqarnain et al.24 used the notion of \(q-ROF{S}_{ft}S\) in aggregation operators and introduced some interactive aggregation operators. The application of Einstein aggregation operators based on \(q-ROF{S}_{ft}Ss\) has been given in25. Hamid et al.26 proposed the MCDM and TOPSIS approach under the environment of \(q-ROF{S}_{ft}S\). Furthermore, Chinram et al.27 introduced the notion of \(q-ROF{S}_{ft}\) geometric aggregation operators and used these notions in decision-making approaches. Also, Abbas et al.28 use the conception of \(q-ROF{S}_{ft}\) Bonferroni means operators to construct the decision-making study. Moreover, Zulqarnain et al.29 established Einstein geometric aggregation operators based on \(q-ROF{S}_{ft}S\) and applied these notions to handle MCDM problems.
Although the idea of a picture fuzzy set (PFS)30 is a more generalized structure but this structure lacks the parameterization tool. Note that all the above ideas like \(F{S}_{ft}S, IF{S}_{ft}S, PyF{S}_{ft}S\,{\text{and}}\,q-ROF{S}_{ft}S\) are limited structure because when the decision maker needs to utilize the abstinence grade (AG) into its structure then all the above theories fail to cover abstinence grade. Moreover, there are some situations where multiple possible responses from human beings are required such as yes, no, abstain, and refusal. Note that only two aspects of the human opinion on an uncertain occurrence, the yes or no type symbolized by the MG and NMG, were discussed by the ideas of \(IF{S}_{ft}S, PyF{S}_{ft}S\,{\text{and}}\, q-ROF{S}_{ft}S.\) Human opinion, however, is not limited to yes or no responses; it also includes abstinence grades and refusal grades. Take voting as an example, where one has the option of voting for, against, abstaining from, or refusing to cast a vote. Consequently, the picture fuzzy soft set uses three forms of grades MG, NMG, and AG with the condition that the sum (MG, NMG, AG) must belong to [0, 1]. The space of all picture fuzzy soft numbers is shown in Fig. 1. To, cover these drawbacks, Yang et al.31 constructed the conception of a picture fuzzy soft set \(\left(PF{S}_{ft}S\right)\). \(PF{S}_{ft}S\) is a parameterization structure and it can discuss the AG in its structure along with MG and NMG having the condition that the sum (MG, AG, NMG) must belong to [0, 1]. Picture fuzzy soft is a strong structure because.
-
1.
When we ignore the AG in the structure of \(PF{S}_{ft}S\), then it reduces to \(IF{S}_{ft}S\).
-
2.
If we use only one parameter then \(PF{S}_{ft}S\) reduces to picture fuzzy sets.
-
3.
Power aggregation operators were introduced by Yager32 and if we ignore the support element, the power average reduces to a simple average. Also, if all the support is the same then the power average reduces to a simple average. Many developments have been made on this aggregation operator like Jiang et al.33 use the more generalized structure of intuitionistic fuzzy set to construct the thought of power aggregation operators. Also, Pythagorean fuzzy power aggregation operators were established by Wei et al.34.
-
4.
Note that if we ignore the support element and then introduced \(PF{S}_{ft}PA\) aggregation operators reduce to simple picture fuzzy soft average aggregation operators. Similarly \(PF{S}_{ft}PG\) aggregation operators reduce to simple picture fuzzy soft geometric aggregation operators. So it means that picture fuzzy soft average and geometric aggregation operators can be taken as special cases for these introduced picture fuzzy soft power aggregation operators.
So main contribution of this study is given by
-
1.
To develop the generalized operational laws for picture fuzzy soft sets.
-
2.
To introduce some picture fuzzy soft power aggregation operators like \(PF{S}_{ft}PA, WPF{S}_{ft}PA, OWPF{S}_{ft}PA\) and \(PF{S}_{ft}PG\), \(WPF{S}_{ft}PG\,{\text{and}}\, OWPF{S}_{ft}PG\) aggregation operators.
-
3.
To establish an algorithm to show the effective use of these gation operators for the selection of best thermal energy techniques.
Moreover, the space of picture fuzzy soft numbers is given in Fig. 1.
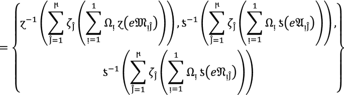
Based on these observations, here in this article, we have used the notion of \(PF{S}_{ft}S\) and we have designed some new aggregation operators called picture fuzzy soft power average and power geometric aggregation operators. Furthermore, we have developed the characteristics of these developed notions. There are several methods to store energy such as mechanical, electrical, chemical, electrochemical, and thermal energy. Here we have developed the application of picture fuzzy soft power average and power geometric aggregation for the selection of thermal energy storage techniques. For this, we have developed a decision-making approach along with an explanatory example to show the effective use of this developed work.
The remaining text is given as: We covered some fundamental definitions of the soft set, picture fuzzy set, picture fuzzy soft set, and power aggregation operators in “Preliminaries”. The fundamental ideas of picture fuzzy soft power average aggregation operators are covered in “Picture fuzzy soft power average aggregation operators” section. We covered the concepts of picture fuzzy soft power geometric aggregation operators in “Picture fuzzy soft power geometric aggregation operators” section. To demonstrate the use of these created principles, we established the DM approach and offered an algorithm in “Decision-making approach” along with a descriptive example. The comparison of these conceptions with various existing notions is discussed in “Comparative analysis”. Conclusion remarks are covered in “Conclusion” section.
Preliminaries
We will go through the fundamental definitions of a soft set, picture fuzzy set, picture fuzzy soft set, and power aggregation operator in this part.
Definition 16:
Let \(E\) be the set of parameters, \(U\) be the universal set and \(A\subset E,\) then a soft set is an ordered pair \(\left(F, A\right)\) where \(F:A\to P\left(U\right).\)
Definition 230:
For universal set \(U\), a PFS is the structure of the form such that.
where \(e\mathfrak{M}:U\to \left[0, 1\right], e\mathfrak{N}:U\to \left[0, 1\right]\) and \(e\mathfrak{A}:U\to \left[0, 1\right]\) and \(e\mathfrak{M}\left(x\right), e\mathfrak{A}(x), e\mathfrak{N}\left(x\right)\) are called MG, AG, and NMG respectively by using the condition that \(0\le e\mathfrak{M}\left(x\right)+e\mathfrak{A}(x)+e\mathfrak{N}\left(x\right)\le 1\).
Definition 331:
For universal set \(U\), \(E\) is the set of parameters, and \(A\subset E,\) a \(PF{S}_{ft}S\) is the pair \(\left(F, A\right)\) where \(F:A\to P\left(PFS\right)\) and \(P\left(PFS\right)\) is the power set for PFS defined by
where \(e\mathfrak{M}:U\to \left[0, 1\right], e\mathfrak{A}:U\to \left[0, 1\right] \,{\text{and}}\, e\mathfrak{N}:U\to [0, 1]\) and \(e\mathfrak{M}\left({x}_{i}\right), e\mathfrak{A}({x}_{i}), e\mathfrak{N}\left({x}_{i}\right)\) represent the MG, AG, and NMG respectively by using the condition that \(0\le e\mathfrak{M}\left({x}_{i}\right)+e\mathfrak{A}({x}_{i})+e\mathfrak{N}\left({x}_{i}\right)\le 1.\) For the sake of simplicity, we call \({PFS}_{{P}_{j}}\left({x}_{i}\right)=\left(e\mathfrak{M}\left({x}_{i}\right), e\mathfrak{A}({x}_{i}), e\mathfrak{N}\left({x}_{i}\right)\right)\) is a picture fuzzy soft number.
Definition 432:
Let
are the attributes, then the power averaging operator is given by

where
is the support for
form \({\mathfrak{N}}_{k},\) defined as
where
is the Hamming distance between
and \({\mathfrak{N}}_{k}\). Moreover, it satisfies the properties.
-
(i)
-
(ii)
-
(iii)
If
then 
Example 132
Assume that \({\mathfrak{N}}_{1}=2\), \({\mathfrak{N}}_{2}=4, {\mathfrak{N}}_{3}=4\) and \(Sup \left(2, 4\right)=0.5, Sup \left(2, 10\right)=0.3, Sup \left(2, 11\right)=0, Sup \left(4, 10\right)=0.4, Sup \left(4, 11\right)=0.\)
Now \(T\left(2\right)=Sup \left(2, 4\right)+Sup \left(2,10\right)=0.5+0.3=0.8\)
And therefore
Picture fuzzy soft power average aggregation operators
Basic operational laws for picture fuzzy soft numbers
In this part of the article, we will discuss the generalized t-norm operations based on \(PF{S}_{ft}Ns.\) Also, We explored the definitions of the score function and accuracy function and introduced the idea of normalized Hamming distance for \(PF{S}_{ft}Ns\).
Definition 5:
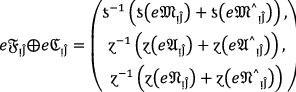
Let \(A=\langle e{\mathfrak{M}}_{A},e{\mathfrak{A}}_{A}, e{\mathfrak{N}}_{A}\rangle \), \({A}_{11}=\left({e{\mathfrak{M}}_{A}}_{11}, {e{\mathfrak{A}}_{A}}_{11}, {e{\mathfrak{N}}_{A}}_{11}\right)\) and \({A}_{12}=\left({e{\mathfrak{M}}_{A}}_{12}, {e{\mathfrak{A}}_{A}}_{12}, {e{\mathfrak{N}}_{A}}_{12}\right)\) be three \(PF{S}_{ft}Ns\) and \(R>0\) be any real number. Then the fundamental rules are defined by
-
(i)
-
(ii)
-
(iii)
-
(iv)
Example 2:
Assume that \({A}_{11}=\left(0.3 , 0.4, 0.1\right)\,{\text{and}}\,{A}_{12}=\left(0.5, 0.2, 0.3\right)\mathrm{ be\,two }\,PF{S}_{ft}Ns\,{\text{and}}\,R=2.\) Here we consider \(a+b-ab\) as t-conorm and \(ab\) as t-norm, then
-
(i)
\({A}_{11}\oplus {A}_{12}=\left(\left(0.3+0.4-\left(0.3\times 0.4\right)\right), \left(0.4\times 0.2\right), \left(0.1\times 0.3\right)\right)=\left(0.65, 0.08, 0.03\right)\)
-
(ii)
\({A}_{11}\otimes {A}_{12}=\left(\left(0.3\times 0.4\right), \left(0.4+0.3-0.4\times 0.3\right), \left(0.1+0.3-0.1\times 0.3\right)\right)=\left(0.15, 0.52, 0.37\right)\)
-
(iii)
\(R{A}_{11}=\left(\left(1-{\left(1-0.3\right)}^{2}\right), {\left(0.4\right)}^{2}, {\left(0.1\right)}^{2}\right)=\left(0.51, 0.16, 0.01\right)\)
-
(iv)
\({A}^{R}=\left({\left(0.3\right)}^{2}, {\left(0.4\right)}^{2}, \left(1-{\left(1-0.1\right)}^{2}\right)\right)=\left(0.09, 0.16, 0.19\right)\)
Definition 6:
Let
be the family of \(PF{S}_{ft}Ns\), the notions of score function and accuracy function are given by

And

where
and
.
Note that for two
and
, we have
-
(i)
if
then 
-
(ii)
if
then 
-
(iii)
if
then-
(i)
if
then 
-
(ii)
if
then 
-
(iii)
if
then 
-
(i)
Definition 7:
Let \(A=\left({e{\mathfrak{M}}_{A}}_{11}, {e{\mathfrak{A}}_{A}}_{11}, {e{\mathfrak{N}}_{A}}_{11}\right) \,{\text{and}}\, B=\left({e{\mathfrak{M}}_{B}}_{11}, {e{\mathfrak{A}}_{B}}_{11}, {e{\mathfrak{N}}_{B}}_{11}\right)\) are two \(PF{S}_{ft}Ns\), then the normalized Hamming distance can be defined by

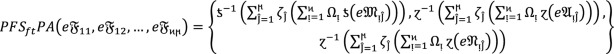
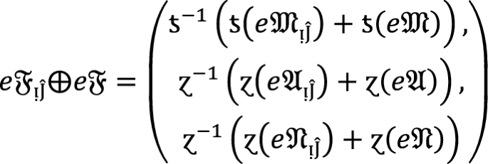
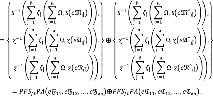
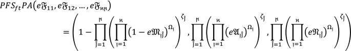
Picture fuzzy soft power average aggregation operators
In this subsection, we have to discuss the basic definition of picture fuzzy soft power aggregation operators. Furthermore, we have to discuss the properties of these developed conceptions.
Definition 8:
Let
be a collection of \(PF{S}_{ft}Ns\), then \(PF{S}_{ft}\) power average operator is a function from
to
defined by

where
and
refer for support of
from
.
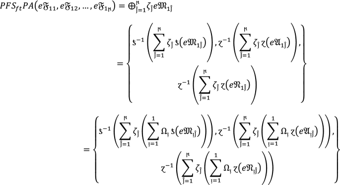
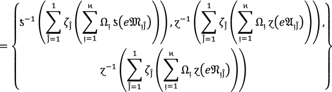
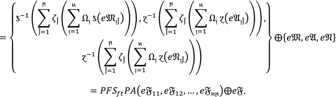
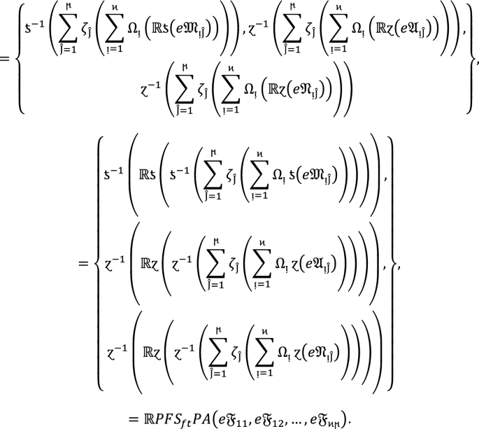
Theorem 1:
Let
be the family of \(PF{S}_{ft}Ns,\) then \(PF{S}_{ft}PA\) aggregation operators are defined as
given by

Proof:
We apply the method of mathematical induction for
to prove this result.
Step 1:
For
, we get

Similarly, for
, we get


Hence result holds for
and
.
Step 2:
Now we assume that this result hold for
and
and
then for
, we get


Hence result holds for
and
. Hence the result is true for all positive integers
.
We shall now demonstrate that the \(PF{S}_{ft}PA\) aggregation operators meet the criteria listed below.
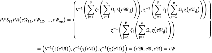
Property 1: (Idempotency) If
for all
then

Proof:
If
for all
, then by using Eq. (2), we get

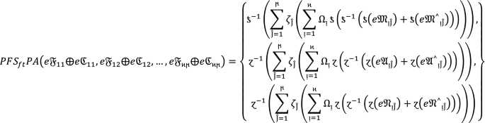
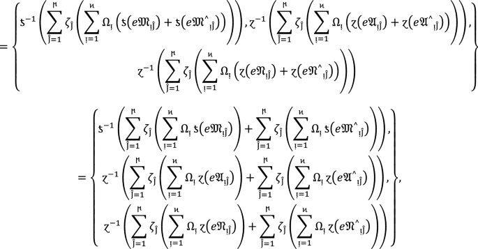
Property 2:
If
and \(e\mathfrak{F}\) are \(PF{S}_{ft}Ns\), then.

Proof:
Since
and \(e\mathfrak{F}\) are \(PF{S}_{ft}Ns\), then for all
, we get

Therefore




Property 3:
For the family of \(PF{S}_{ft}Ns\) and any real number \({\mathbb{R}}>0,\) we get.

Proof:
If
are \(PF{S}_{ft}Ns\) for
and
and \({\mathbb{R}}>0\) be a real number then


Property 4:
If
for all
be \(PF{S}_{ft}Ns\) then

Proof:
For all
we have
,
Therefore,



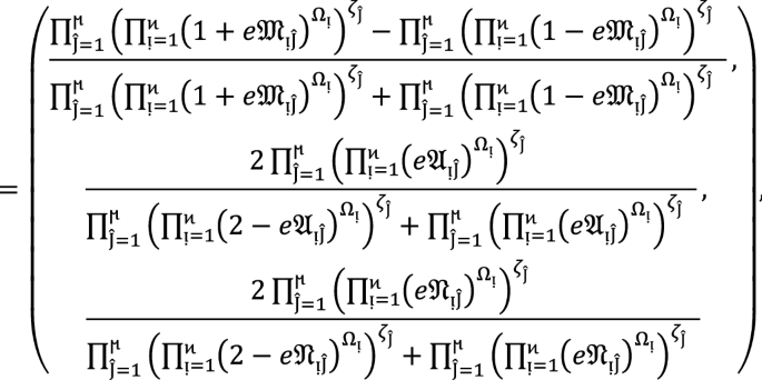
Special cases of \({\varvec{P}}{\varvec{F}}{{\varvec{S}}}_{{\varvec{f}}{\varvec{t}}}{\varvec{P}}{\varvec{A}}\) operators
By using different values to
, the initiated \(PF{S}_{ft}PA\) operator degenerate as follows:
-
(i)
If
, then Eq. (2) degenerates into \(PF{S}_{ft}\) Archimedean weighted average operators.
-
(ii)
If
, then Eq. (2) degenerates into \(PF{S}_{ft}\) Einstein weighted average operators.

-
(iii)
If
then Eq. (2) degenerates into \(PF{S}_{ft}\) Hammer weighted average operators.
Weighted and ordered weighted picture fuzzy soft power average aggregation operators
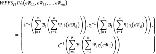
In this part of the article, we aim to introduce a weighted picture fuzzy soft power average \(\left(WPF{S}_{ft}PA\right)\) and ordered weighted picture fuzzy soft power average \(\left(OWPF{S}_{ft}PA\right)\) aggregation operators.
Definition 9:
Let
denote the family of \(PF{S}_{ft}Ns,\) then \(WPF{S}_{ft}PA\) aggregation operators are defined as
given by

where
and the weight vectors (WVs) for the experts and parameters with the condition that
and
and
.
Theorem 2:
Let
be the collection of \(PF{S}_{ft}Ns,\) then \(WPF{S}_{ft}PA\) aggregation operators are again \(PF{S}_{ft}N\) given by

Proof:
Proof is similar to the proof of Theorem 1.
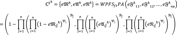
Definition 10:
Let
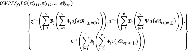
denote the family of \(PF{S}_{ft}Ns,\) then \(OWPF{S}_{ft}PA\) aggregation operators are defined as
given by

where
and
are the WVs corresponding to parameters and experts with the condition that
and
. Also, \(\epsilon ,\Theta \) are the permutation of
and
with a constraint that
and
for
.
Theorem 3:
Let
denote the family of \(PF{S}_{ft}Ns,\) the value obtained by \(OWPF{S}_{ft}PA\) is again a \(PF{S}_{ft}N\) given by

Proof:
Similar to Theorem 1, so omit here.
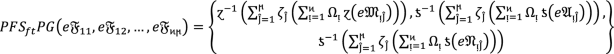
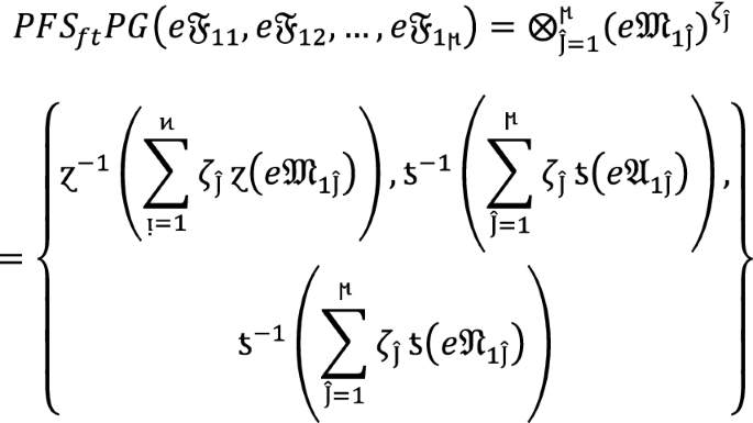
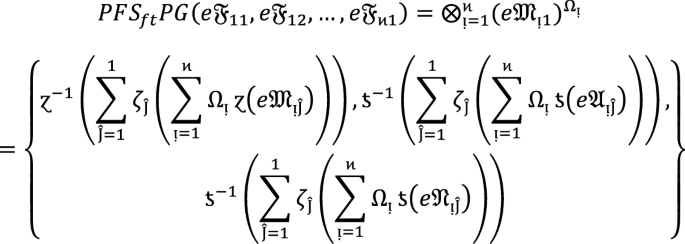
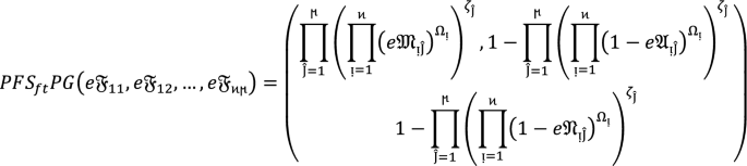
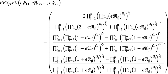
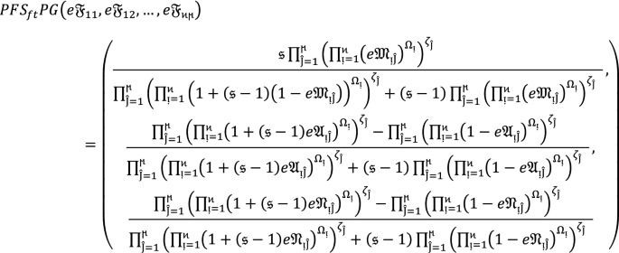
Picture fuzzy soft power geometric aggregation operators
Definition 11:
Suppose
be the collection of \(PF{S}_{ft}Ns\), then \(PF{S}_{ft}PG\) aggregation operators are defined as
given by.

where
and
means the support for
from
and
is the support of
from
.
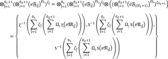
Theorem 4:
Let
denote the family of \(PF{S}_{ft}Ns,\) then the value obtain by using \(PF{S}_{ft}PG\) aggregation operators are again \(PF{S}_{ft}N\) given as

Proof:
To demonstrate this finding, we use the mathematical induction technique for
.
Step 1
For
, we get


Similarly, for
, we get

Hence result holds for
and
.
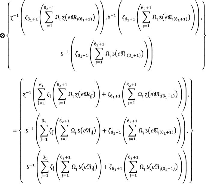
Step 2:
Now we assume that this result hold for
and
and
then for 
, we get



Hence the result is true for
and
. Hence the result is true for all positive integers
.
Now we will prove that \(PF{S}_{ft}PG\) aggregation operators satisfy the following properties.
Property 1: (Idempotency) If
for all
then

Property 2:
If
and
are \(PF{S}_{ft}Ns\), then

Property 3:
For the family of \(PF{S}_{ft}Ns\) and any real number \({\mathbb{R}}>0,\) we get

Property 4:
If
be \(PF{S}_{ft}Ns\) then.

Special cases of \({\varvec{P}}{\varvec{F}}{{\varvec{S}}}_{{\varvec{f}}{\varvec{t}}}{\varvec{P}}{\varvec{G}}\) operators
By using different values to \(q,\) the initiated \(PF{S}_{ft}PG\) operator degenerate as follows:
-
If
, then Eq. (9) degenerates into \(PF{S}_{ft}\) Archimedean weighted geometric operators
-
If
, then Eq. (9) degenerates into \(PF{S}_{ft}\) Einstein weighted geometric operators.

-
If
then Eq. (9) degenerates into \(PF{S}_{ft}\) Hammer weighted geometric operators

Weighted and ordered weighted picture fuzzy soft power geometric aggregation operators
In this part of the article, we aim to introduce weighted \(PF{S}_{ft}\) power geometric \(\left(WPF{S}_{ft}PG\right)\) and ordered weighted \(PF{S}_{ft}\) power geometric \(\left(OWPF{S}_{ft}PG\right)\) aggregation operators.
Definition 12:
Let
be the collection of \(PF{S}_{ft}Ns,\) then \(WPF{S}_{ft}PG\) aggregation operators are defined as 

where
and
are WVs corresponding to parameters and experts with a condition that
and
.
Theorem 5:
Let
denote the family of \(PF{S}_{ft}Ns,\) then the value obtained by \(WPF{S}_{ft}PG\) aggregation operators are again \(PF{S}_{ft}N\) given by.

Proof:
Similar to Theorem 4.
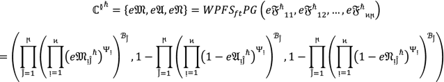
Definition 13:
Let
be the family of \(PF{S}_{ft}Ns,\) then \(OWPF{S}_{ft}PG\) aggregation operators are defined as
given by.

where
and
are WVs corresponding to parameters and experts with a condition that
and
. Also, \(\epsilon ,\Theta \) are the permutation of
and
with a constraint that
and
for
.
Theorem 6:
Let
be the collection of \(PF{S}_{ft}Ns,\) then the result obtained by \(OWPF{S}_{ft}PG\) aggregation operators are again \(PF{S}_{ft}N\) given by.

Proof:
Similar to Theorem 4, so we omit it here.
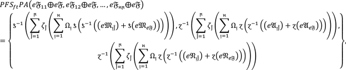
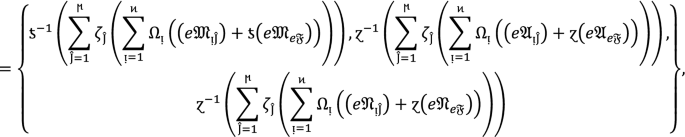
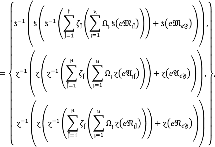
Decision-making approach
Algorithm
Let \({\mathcal{F}}^{\wr }=\left\{{\mathcal{F}}_{1}^{\wr }, {\mathcal{F}}_{2}^{\wr }, {\mathcal{F}}_{3}^{\wr },\dots , {\mathcal{F}}_{{\mathcal{Z}}^{*}}^{\wr }\right\}\) denote a set of \({\mathcal{Z}}^{*}\) alternatives,
denote the set of experts
denote the set of parameters. Assume that
are WVs corresponding to experts and parameters respectively with a condition that
. Suppose analysts provide their assessment in the form of
. The stepwise algorithm is given below to select supreme alternatives among the given ones.
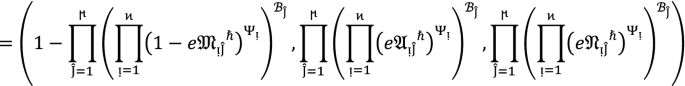
Step 1: Collect the data about each alternative \({{\mathcal{F}}_{{\mathcal{Z}}^{*}}^{\wr }}^{\hslash } \left(\hslash =1, 2, 3, \dots , {\mathcal{Z}}^{*}\right)\) in the form of \(PF{S}_{ft}Ns\) and summarized this data into a matrix given by

Step 2: Compute the support
for each expert
by using

where 
Step 3: Find out the support
by using the below formula

Step 4: Now we use \(WPF{S}_{ft}PA\) or \(WPF{S}_{ft}PG\) aggregation operators to aggregate the preference of different alternatives by using
into collective one \({{\mathbb{C}}^{\between }}^{\hslash }\) as follows

Or

Step 5: Use Definition (6) to find the score value of each alternative \({{\mathcal{F}}_{{\mathcal{Z}}^{*}}^{\wr }}^{\hslash } \left(\hslash =1, 2, 3, \dots , {\mathcal{Z}}^{*}\right).\)
Step 6: Rank the alternatives and find the best alternative.
Numerical example
Thermal energy is produced due to the collision of molecules and atoms as a result of a temperature rise. The concept of thermal energy is used in various fields of physics. There are three techniques for storing thermal energy: (1) Sensible TEST (2) Latent TEST (3) Thermo-chemical TEST.
Sensible thermal energy storage
Sensible heat storage works by increasing a liquid or solid's temperature to store heat and then releasing it when the temperature drops as needed. Sensible heat, which can be either a liquid or a solid, is based on an increase in the material's enthalpy from a thermodynamic perspective. The graphical presentation of the sensible heat system is given in Fig. 2.
Latent-heat thermal energy storage
Latent heat of storage store heat in the form of potential energy between the particles of a substance. Heat storage occurs without the storage medium significantly changing in temperature because a phase transition occurs when heat is converted from potential energy to heat in a substance. Figure 3 presents the pictorial view of the latent heat system.
Thermo-chemical thermal energy storage
Chemical energy storage is mainly constituted of batteries and renewable generated chemicals (hydrogen, fuel cells, and hydrocarbons). Here, the chemical energy of the material is used as a basis for storing and realizing thermal energy with infinite heat loss. It is an advanced thermal energy storage system and it facilitates a more efficient and clean energy system. Figure 4 represents the pictorial view of the thermo-chemical thermal energy storage system.
Our aim in this section is to propose the best thermal energy storage technologies that can further help in deciding energy departments. The overall discussion in this regard is given below.
Example 3:
Let \({\mathcal{F}}_{1}^{\wr }=Sensible\,thermal\,heat\,storage, {\mathcal{F}}_{2}^{\wr }=Latent\,thermal\,heat\,storage\,and\,{\mathcal{F}}_{3}^{\wr }=Thermo-chemicl\,thermal\,heat\,storage\) are three alternatives that we are going to analyze that which of the alternative is best under the five parameters \({P}_{1}^{\bowtie }=Capacity,\,{P}_{2}^{\bowtie }=Efficiency,\,{P}_{3}^{\bowtie }=Storage\,period, {P}_{4}^{\bowtie }=Charge\,and\,discharge\,time, {P}_{5}^{\bowtie }=Cost.\) Also, suppose that WVs for experts are \(\left(0.11, 0.23, 0.14, 0.34, 0.18\right)\) and WVs for parameters are \(\left(0.21, 0.19, 0.25, 0.17, 0.18\right)\). Now the overall discussion is given step vise.
By using \({\varvec{W}}{\varvec{P}}{\varvec{F}}{{\varvec{S}}}_{{\varvec{f}}{\varvec{t}}}{\varvec{P}}{\varvec{A}}\) aggregation operators
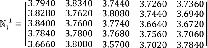
Step 1. Suppose a team of five experts
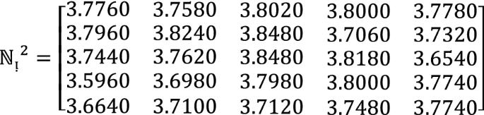
provide their assessment for each alternative based on proposed parameters in the form of \(PF{S}_{ft}Ns\) given in Table 1, 2 and 3.
Step 2: Compute the value of
for \(\hslash =1, 2, 3\) by using Eq. (12)



Step 3: Compute the value of
for \(\hslash =1, 2, 3\) by using Eq. (13)

Step 4: By using the proposed approach of \(WPF{S}_{ft}PA\) operators to aggregate different alternatives \({\mathcal{F}}^{h}\,for\,h=1, 2, 3\) by using
into collective one \({{\mathbb{C}}^{\between }}^{\hslash }\) as follows

We get \({{\mathbb{C}}^{\between }}^{1}=\left(0.1502, 0.3889, 0.3821\right), {{\mathbb{C}}^{\between }}^{2}=\left(0.1455, 0.1366, 0.1249\right), {{\mathbb{C}}^{\between }}^{3}=\left(0.1266, 0.3975, 0.3777\right)\)
Step 5: Score values of \({{\mathbb{C}}^{\between }}^{\hslash } (h=1, 2, 3)\) are as
Step 6: Rank of the alternative is \({\mathcal{F}}_{2}^{\wr } >{\mathcal{F}}_{1}^{\wr } >{\mathcal{F}}_{3}^{\wr }\) and hence \({\mathcal{F}}_{2}^{\wr }\) is the best alternative.
Comparative analysis
In this part of the article, we will discuss the comparative analysis of the developed approach with some existing notions to show the effectiveness of the proposed work. We will compare our work with Garg and Arora's18 method, Jiang et al.33 method, and Wei and Lu method34.
Example 4:
A person \(X\) wants to invest his income into a suitable business and he has a set of three different companies \(\left\{{\mathcal{F}}_{1}^{\wr }=A\,car\,company, {\mathcal{F}}_{1}^{\wr }=A\,mobile\,company\,and {\mathcal{F}}_{1}^{\wr }=Furniture\,company\right\}\) as an alternative to investing his income. To choose the best alternative, a team of five experts is invited who assess the given alternatives based on five parameters \({P}_{1}^{\bowtie }=Risk\,analysis, {P}_{2}^{\bowtie }=Growth\,analysis, {P}_{3}^{\bowtie }=Social\,Polytical\,impact\,analysis, {P}_{4}^{\bowtie }=Environment\,imapct\,analysis\,and\,{P}_{5}^{\bowtie }=Earning\,stability.\)
Let the WVs for parameters and experts are \(\left(0.20, 0.21, 0.22, 0.19, 0.18\right)\) and \(\left(0.13, 0.21, 0.24, 0.17, 0.25\right).\) Suppose the experts provide their assessment for each alternative in the form of \(PF{S}_{ft}Ns\) as given in Table 4, 5 and 6.
Now we use the weighted picture fuzzy soft power average aggregation operator for this problem to achieve the result. The overall results are given in Table 7.
From the observation of the above table, we conclude that.
-
1.
Picture fuzzy soft set is a valuable tool to tackle more advanced data. Garg and Arora's18 method consists of intuitionistic fuzzy soft information that uses the membership grade and non-membership grade. Although, the intuitionistic fuzzy soft set considers the parameterization tool missing the abstinence grade. Hence proposed work is dominant in existing theory.
-
2.
Jiang et al.33 method consist of intuitionistic fuzzy data that is free from parameterization tool while existing notions can consider the parameterization factor in their structure. Also, intuitionistic fuzzy data used in Jiang et al.33 method cannot consider the abstinence grade. Note that picture fuzzy soft data used for the proposed work can solve all the above-given issues. So, the proposed approach is more effective.
-
3.
We can see that picture fuzzy soft information provides more space to a decision maker when they need to use more advanced data in their structure.
-
4.
Although the method proposed in Wei and Lu method34 consists of more generalized data of Pythagorean fuzzy sets. But we see that the Pythagorean fuzzy set also does not use the abstinence grade in its structure. Moreover, Pythagorean fuzzy data lacks the parameterization factor while the proposed work can handle both of these drawbacks. Hence in any manner, we can see that established work is more effective and superior.
Conclusion
There exist many generalizations for fuzzy set theory but picture fuzzy soft set is a more advanced apparatus that not only cover abstinence grade but also uses the parameterization tool. Based on these observations, here we have developed the notions of aggregation operators like picture fuzzy soft power average and power geometric aggregation operators. The advantages of these developed aggregation operators are that these operators reduce to the simple form. Thus, with no support, here we can see that picture fuzzy soft power average and geometric aggregation operators reduce to simple picture fuzzy soft average and geometric aggregation operators. Moreover, when all the support is the same then picture fuzzy soft power average and geometric aggregation operators reduce to simple picture fuzzy soft average and geometric aggregation operators. Decision-making plays a vital role in all areas of life. The selection of the best technique used for the storage of thermal energy is the basic theme of these developments. We have applied the developed approach to solve decision-making problems for the selection of the best storage technique for thermal energy. We have done with comparative analysis of the introduced work to show its reliability.
The existing notion is also limited because when the decision maker comes up with \(0.3\) as MG, \(0.5\) as AG, and \(0.4\) as NMG then the existing notion fails to handle such kind of data because the main condition of the picture fuzzy soft set has been violated in this case. Moreover, we can see that the spherical fuzzy soft structure is a more advanced structure that can handle the above-given situation because it uses more advanced conditions that \(sum \left({MG}^{2}, {AG}^{2}, {NMG}^{2}\right)\in \left[0, 1\right]\). Also, the developed aggregation operator cannot handle the T-spherical fuzzy soft information because T-spherical fuzzy soft uses the data in the form of MG, AG and NMG provided that \(sum \left({MG}^{q}, {AG}^{q}, {NMG}^{q}\right)\in \left[0, 1\right]\) where \(q\ge 1\). Note that \(PF{S}_{ft}S\) is also limited because when decision-makers come up with interval-valued picture soft numbers as given in35, then this structure fails to handle that kind of information.
So, in the future, we can extend this notion to the spherical fuzzy soft rough environment as given in36. We can extend these notions to T-spherical fuzzy sets37,38 and bipolar complex fuzzy sets given in39. We can apply this research to some novel hypotheses, such as improving digital innovation for the long-term transformation of the manufacturing sector, as suggested in40. We can extend these notions to neutrosophic soft sets proposed in41. Moreover, some new developments can be made and the idea can be extended to neutrosophic notions as established by Peng et al.42. Based on these introduced operational laws some new notions can be established as introduced in43.
In this study, the abbreviations of all ideas which are used in this manuscript are discussed in the form of Table 8. Moreover, a characteristic analysis of the introduced work with some existing notions is given in Table 9.
Data availability
All data generated or analysed during this study are included in this published article.
References
Dincer, I. Thermal energy storage systems as a key technology in energy conservation. Int. J. Energy Res. 26(7), 567–588 (2002).
Koçak, B., Fernandez, A. I. & Paksoy, H. Review on sensible thermal energy storage for industrial solar applications and sustainability aspects. Sol. Energy 209, 135–169 (2020).
Zadeh, L. A. Fuzzy sets. Inf. Control 8(3), 338–353 (1965).
Cavallaro, F. Fuzzy TOPSIS approach for assessing thermal-energy storage in concentrated solar power (CSP) systems. Appl. Energy 87(2), 496–503 (2010).
Gumus, A. T., Yayla, A. Y., Çelik, E. & Yildiz, A. A combined fuzzy-AHP and fuzzy-GRA methodology for hydrogen energy storage method selection in Turkey. Energies 6(6), 3017–3032 (2013).
Molodtsov, D. Soft set theory—first results. Comput. Math. Appl. 37(4–5), 19–31 (1999).
Lashari, S. A. & Ibrahim, R. A framework for medical images classification using soft set. Procedia Technol. 11, 548–556 (2013).
Tao, Z., Shao, Z., Liu, J., Zhou, L. & Chen, H. Basic uncertain information soft set and its application to multi-criteria group decision making. Eng. Appl. Artif. Intell. 95, 103871 (2020).
Feng, F., Wan, Z., Alcantud, J. C. R. & Garg, H. Three-way decision based on canonical soft sets of hesitant fuzzy sets. AIMS Math. 7(2), 2061–2083 (2022).
Maji, P. K., Biswas, R. & Roy, A. R. Fuzzy soft sets. J. Fuzzy Math. 9, 589–602 (2001).
Maji, P. K., Roy, A. R. & Biswas, R. On intuitionistic fuzzy soft sets. J. Fuzzy Math. 12(3), 669–684 (2004).
Peng, X. D., Yang, Y., Song, J. P. & Jiang, Y. Pythagorean fuzzy soft set and its application. Comput. Eng. 41(7), 224–229 (2015).
Hussain, A., Ali, M. I., Mahmood, T. & Munir, M. q-Rung orthopair fuzzy soft average aggregation operators and their application in multicriteria decision-making. Int. J. Intell. Syst. 35(4), 571–599 (2020).
Peng, W. & Li, C. Fuzzy-Soft set in the field of cleaner production evaluation for aviation industry. Commun. Inf. Sci. Manag. Eng. 2(12), 39 (2012).
Khan, M. J., Kumam, P., Liu, P., Kumam, W. & Ashraf, S. A novel approach to generalized intuitionistic fuzzy soft sets and its application in decision support system. Mathematics 7(8), 742 (2019).
Garg, H. & Arora, R. Generalized Maclaurin symmetric mean aggregation operators based on Archimedean t-norm of the intuitionistic fuzzy soft set information. Artif. Intell. Rev. 54(4), 3173–3213 (2021).
Hooda, D. S., Kumari, R. & Sharma, D. K. Intuitionistic fuzzy soft set theory and its application in medical diagnosis. Int. J. Stat. Med. Res. 7(3), 70–76 (2018).
Garg, H. & Arora, R. Generalized intuitionistic fuzzy soft power aggregation operator based on t-norm and their application in multicriteria decision-making. Int. J. Intell. Syst. 34(2), 215–246 (2019).
Feng, F., Xu, Z., Fujita, H. & Liang, M. Enhancing PROMETHEE method with intuitionistic fuzzy soft sets. Int. J. Intell. Syst. 35(7), 1071–1104 (2020).
Feng, F., Fujita, H., Ali, M. I., Yager, R. R. & Liu, X. Another view on generalized intuitionistic fuzzy soft sets and related multiattribute decision making methods. IEEE Trans. Fuzzy Syst. 27(3), 474–488 (2018).
Ding, Z., Yüksel, S. & Dincer, H. An Integrated Pythagorean fuzzy soft computing approach to environmental management systems for sustainable energy pricing. Energy Rep. 7, 5575–5588 (2021).
Zulqarnain, R. M., Xin, X. L., Siddique, I., Asghar Khan, W. & Yousif, M. A. TOPSIS method based on correlation coefficient under pythagorean fuzzy soft environment and its application towards green supply chain management. Sustainability 13(4), 1642 (2021).
Zulqarnain, R. M., Xin, X. L., Garg, H. & Khan, W. A. Aggregation operators of pythagorean fuzzy soft sets with their application for green supplier chain management. J. Intell. Fuzzy Syst. 40(3), 5545–5563 (2021).
Zulqarnain, R. M. et al. Novel multi criteria decision making approach for interactive aggregation operators of q-Rung orthopair fuzzy soft set. IEEE Access 10, 59640–59660 (2022).
Zulqarnain, R. M. et al. Extension of Einstein average aggregation operators to medical diagnostic approach under q-Rung orthopair fuzzy soft set. IEEE Access 10, 87923–87949 (2022).
Hamid, M. T., Riaz, M. & Afzal, D. Novel MCGDM with q-rung orthopair fuzzy soft sets and TOPSIS approach under q-Rung orthopair fuzzy soft topology. J. Intell. Fuzzy Syst. 39(3), 3853–3871 (2020).
Chinram, R., Hussain, A., Ali, M. I. & Mahmood, T. Some geometric aggregation operators under q-rung orthopair fuzzy soft information with their applications in multi-criteria decision making. IEEE Access 9, 31975–31993 (2021).
Abbas, M., Asghar, M. W. & Guo, Y. Decision-making analysis of minimizing the death rate due to covid-19 by using q-rung orthopair fuzzy soft Bonferroni mean operator. J. Fuzzy Ext. Appl. 3(3), 231–248 (2022).
Zulqarnain, R. M. et al. Some Einstein geometric aggregation operators for q-Rung orthopair fuzzy soft set with their application in MCDM. IEEE Access 10, 88469–88494 (2022).
Cuong, B. C. Picture fuzzy sets: First results, Part . In Seminar neuro-Fuzzy Systems with Applications, Vol. 4 2013 (2013).
Yang, Y., Liang, C., Ji, S. & Liu, T. Adjustable soft discernibility matrix based on picture fuzzy soft sets and its applications in decision making. J. Intell. Fuzzy Syst. 29(4), 1711–1722 (2015).
Yager, R. R. The power average operator. IEEE Trans. Syst. Man Cybern. Part A 31(6), 724–731 (2001).
Jiang, W., Wei, B., Liu, X., Li, X. & Zheng, H. Intuitionistic fuzzy power aggregation operator based on entropy and its application in decision making. Int. J. Intell. Syst. 33(1), 49–67 (2018).
Wei, G. & Lu, M. Pythagorean fuzzy power aggregation operators in multiple attribute decision making. Int. J. Intell. Syst. 33(1), 169–186 (2018).
Khalil, A. M., Li, S. G., Garg, H., Li, H. & Ma, S. New operations on interval-valued picture fuzzy set, interval-valued picture fuzzy soft set and their applications. Ieee Access 7, 51236–51253 (2019).
Zheng, L., Mahmood, T., Ahmmad, J., Rehman, U. U. & Zeng, S. Spherical fuzzy soft rough average aggregation operators and their applications to multi-criteria decision making. IEEE Access 10, 27832–27852 (2022).
Mahmood, T., Ullah, K., Khan, Q. & Jan, N. An approach toward decision-making and medical diagnosis problems using the concept of spherical fuzzy sets. Neural Comput. Appl. 31(11), 7041–7053 (2019).
Garg, H., Ullah, K., Mahmood, T., Hassan, N. & Jan, N. T-spherical fuzzy power aggregation operators and their applications in multi-attribute decision making. J. Ambient. Intell. Humaniz. Comput. 12(10), 9067–9080 (2021).
Mahmood, T., Rehman, U. U., Ahmmad, J. & Santos-García, G. Bipolar complex fuzzy Hamacher aggregation operators and their applications in multi-attribute decision making. Mathematics 10(1), 23 (2021).
Yin, S., Zhang, N., Ullah, K. & Gao, S. Enhancing digital innovation for the sustainable transformation of manufacturing industry: A pressure-state-response system framework to perceptions of digital green innovation and its performance for green and intelligent manufacturing. Systems 10(3), 72 (2022).
Jana, C. & Pal, M. A robust single-valued neutrosophic soft aggregation operators in multi-criteria decision making. Symmetry 11(1), 110 (2019).
Peng, J. J., Wang, J. Q., Wu, X. H., Wang, J. & Chen, X. H. Multi-valued neutrosophic sets and power aggregation operators with their applications in multi-criteria group decision-making problems. Int. J. Comput. Intell. Syst. 8(2), 345–363 (2015).
Jana, C. & Pal, M. Multi-criteria decision making process based on some single-valued neutrosophic Dombi power aggregation operators. Soft. Comput. 25(7), 5055–5072 (2021).
Acknowledgements
This work was supported in part by the Brain Pool program funded by the Ministry of Science and ICT through the National Research Foundation of Korea (NRF-2022H1D3A2A02060097) and the “Regional Innovation Strategy (RIS)” through the National Research Foundation of Korea(NRF) funded by the Ministry of Education(MOE) (2021RIS-001 (1345341783)).
Author information
Authors and Affiliations
Contributions
All authors contributed equally to this work. T.M., J.A, J.G., N.J. wrote the main manuscript text and reviewed the final manuscript.
Corresponding author
Ethics declarations
Competing interests
The authors declare no competing interests.
Additional information
Publisher's note
Springer Nature remains neutral with regard to jurisdictional claims in published maps and institutional affiliations.
Rights and permissions
Open Access This article is licensed under a Creative Commons Attribution 4.0 International License, which permits use, sharing, adaptation, distribution and reproduction in any medium or format, as long as you give appropriate credit to the original author(s) and the source, provide a link to the Creative Commons licence, and indicate if changes were made. The images or other third party material in this article are included in the article's Creative Commons licence, unless indicated otherwise in a credit line to the material. If material is not included in the article's Creative Commons licence and your intended use is not permitted by statutory regulation or exceeds the permitted use, you will need to obtain permission directly from the copyright holder. To view a copy of this licence, visit http://creativecommons.org/licenses/by/4.0/.
About this article
Cite this article
Mahmood, T., Ahmmad, J., Gwak, J. et al. Prioritization of thermal energy techniques by employing picture fuzzy soft power average and geometric aggregation operators. Sci Rep 13, 1707 (2023). https://doi.org/10.1038/s41598-023-27387-9
Received:
Accepted:
Published:
Version of record:
DOI: https://doi.org/10.1038/s41598-023-27387-9
This article is cited by
-
Assimilation of Matrix Operations with Picture Fuzzy Hypersoft Structures for Complex Decision Scenarios
International Journal of Computational Intelligence Systems (2025)
-
Complex T-spherical fuzzy hypersoft sets: a novel approach for evaluating uncertain information and MCDM applications in the COVID-19 pandemic
International Journal of Information Technology (2025)
-
Picture fuzzy soft-max Einstein interactive weighted aggregation operators with applications
Computational and Applied Mathematics (2024)
-
Identification of mental disorders in South Africa using complex probabilistic hesitant fuzzy N-soft aggregation information
Scientific Reports (2023)




then 
then 
then 
then
then 
then 
then 
, then Eq. (
, then Eq. (

then Eq. (
, then Eq. (
, then Eq. (
then Eq. (

