Abstract
End-stage renal disease (ESRD) results in hippocampal volume reduction, but the hippocampal subfields atrophy patterns cannot be identified. We explored the volumes and asymmetry of the hippocampal subfields and their relationships with memory function and biochemical changes. Hippocampal global and subfields volumes were derived from 33 ESRD patients and 46 healthy controls (HCs) from structural MRI. We compared the volume and asymmetric index of each subfield, with receiver operating characteristic curve analysis to evaluate the differentiation between ESRD and HCs. The relations of hippocampal subfield volumes with memory performance and biochemical data were investigated in ESRD group. ESRD patients had smaller hippocampal subfield volumes, mainly in the left CA1 body, left fimbria, right molecular layer head, right molecular layer body and right HATA. The right molecular layer body exhibited the highest accuracy for differentiating ESRD from HCs, with a sensitivity of 80.43% and specificity of 72.73%. Worse learning process (r = 0.414, p = 0.032), immediate recall (r = 0.396, p = 0.041) and delayed recall (r = 0.482, p = 0.011) was associated with left fimbria atrophy. The left fimbria volume was positively correlated with Hb (r = 0.388, p = 0.05); the left CA1 body volume was negatively correlated with Urea (r = − 0.469, p = 0.016). ESRD patients showed global and hippocampal subfields atrophy. Left fimbria atrophy was related to memory function. Anemia and Urea level may be associated with the atrophy of left fimbria and CA1 body, respectively.
Similar content being viewed by others
Introduction
Chronic kidney disease (CKD), characterized by the progressive loss of kidney function, has become a major worldwide health problem due to its high prevalence, increased mortality and major impact on quality of life and the economy1. End-stage renal disease (ESRD) is the fifth stage of CKD, which often requires renal replacement therapy, such as maintenance dialysis or kidney transplantation, to maintain life2. Hemodialysis patients are often accompanied by cognitive impairment (CI), the prevalence of which ranges from 30 to 76%, and even as high as 80.9% in China3,4,5. Although CI in CKD patients is usually manifested by the decline of executive function, the memory function of CKD patients, especially that of ESRD patients, also has a significant decline5,6.
At present, the mechanism of CI in patients with CKD is not clear. The "neurodegenerative hypothesis" associated with Alzheimer's disease (AD) is currently one of the main theories. Similar to AD, elevated serum Aβ levels have been found in patients with CKD7. In addition, an animal study has also certified that increased Aβ in the brain is associated with CKD8. Therefore, we speculate that AD-related pathophysiology may have occurred in the brain of patients with CKD prior to clinical diagnosis of CI.
The hippocampus is an important hub for memory and learning neural circuits. It has a significant contribution to memory and a variety of pathological changes, including ischemia, hypoxia, inflammation and toxin effects, etc., may cause neuronal damage to the hippocampus and lead to memory dysfunction9,10,11. Neuroimaging has been applied to characterize brain structural alterations in ESRD, advancing our understanding of ESRD-related neurological alterations. The decline of memory function in CKD patients may be related to structural or functional abnormalities of the hippocampus. Indeed, studies have reported smaller hippocampus volumes and impaired hippocampal network connectivity in patients with CKD, compared with healthy controls (HCs)12,13.
The hippocampus is a complex and heterogeneous structure consisting of several subfields with distinct histological features. Although the subfields are interconnected, they are relatively independent due to different functions. In addition, quantifying subfield volumes can significantly improve sensitivity to capture subtle atrophic patterns compared to overall hippocampal volume, thus providing more information in the early stages of disease14. Studies have shown that hippocampal subfields atrophy patterns vary in vulnerability to different neurological or psychiatric disorders, such as Alzheimer's disease (AD), Parkinson's disease, multiple sclerosis, and schizophrenia15,16,17,18. Due to the similarity between the occurrence of CKD-related cognitive impairment and the underlying pathological mechanism of AD, there is reason to suspect that patients with ESRD may also develop structural changes in the hippocampal subfields.
Cerebral laterality is a fundamental property of cortical functional organization19. The laterality of the human brain may serve as a neuroanatomical marker to predict cognitive function20,21. Likewise, the asymmetry of the hippocampus plays a special and important role in brain development. Studies have reported the increased asymmetry index (AI) of hippocampal subfields in various neuropsychiatric diseases, such as AD, diabetes, and depression22,23,24.
Nevertheless, to our best knowledge, there is no existing investigation considering hippocampal subfields atrophy or hippocampal asymmetry in ESRD, while only focusing on the whole hippocampus instead12,25,26. Furthermore, whether the structural alterations in the hippocampal subfields are associated with cognitive decline in ESRD patients remains unclear. Actually, exploring the hippocampal subfields, rather than treating the hippocampus as a separate entity, appears to be more conducive to understanding the mechanisms of memory decline in ESRD.
Therefore, this study aims to investigate the volumetric changes and asymmetry in the hippocampal subfields and their relationships with cognitive function and clinical characteristics. We hypothesized that specific hippocampal subfields volumes and hippocampal asymmetry were altered in ESRD patients compared to HCs. We also explored the relationships of these alterations with the memory decline as assessed by Rey's auditory verbal learning test (RAVLT)27 and with clinical characteristics.
Materials and methods
Participants
This prospective study was approved by the local ethics committee of the First Affiliated Hospital of Dalian Medical University and was performed in accordance with the relevant guidelines and regulations. Before the study, we obtained written informed consent from patients or their legal guardians. ESRD diagnosis was confirmed by nephrologist based on the kidney disease outcomes quality initiative (K/DOQI) classification. All patients were over 18 years old and followed maintenance hemodialysis (3–4 times per week) for at least three months. The exclusion criteria were: (a) history of psychiatric or neurological illness (schizophrenia, depression, AD, Parkinson's disease, etc.), severe brain trauma, brain tumor or any structural abnormalities showed on MRI examination; (b) kidney transplant recipients or acute renal failure (ARF); (c) any contraindications for magnetic resonance imaging (MRI) examination; (d) insufficient data on cognitive assessment; (e) image with motion artifacts.
Forty patients diagnosed with ESRD were prospectively enrolled between April 2021 and November 2021. According to the exclusion criteria, patients with poor MRI-image quality due to lack of contrast etc. (n = 2), with incomplete cognitive assessment (n = 1) and with claustrophobia (n = 4) were excluded. Therefore, 33 (16 men; 17 women; 60.73 ± 6.77 years) ESRD patients were enrolled in the final analysis. The underlying cause of ESRD in our study included glomerulonephritis (n = 10), hypertensive nephropathy (n = 10), diabetic nephropathy (n = 6), polycystic kidney disease (n = 5) and others (n = 2).
Over the same period, forty-six HCs (24 men; 22 women; 58.30 ± 8.06 years) with no previous history of neurological dysfunction were consecutively recruited from hospitals and nearby communities via digital advertising as a control group. The control group could represent the same source population as ESRD patients. All participants were right-handed.
Demographic and clinical characteristics
Demographic data, including age, gender, education, body mass index (BMI), hypertension history, diabetes history and handedness were collected from all participants. Besides, we acquired blood biochemical tests from all participants within one week before MRI scanning, including hemoglobin (Hb), hematocrit (Hct), red blood cell (RBC), creatinine (Cre), uric acid (UA), serum urea (Urea), triglyceride (TG), homocysteine (HCY), serum calcium (Ca), serum phosphorus (P), albumin (Alb). In addition, all ESRD patients were tested for hypersensitive c-reactive protein (Hs-crp) and parathyroid hormone (PTH). Corrected calcium (cCa) and the single-pool kinetic transfer/volume urea measurements (spKt/V) were calculated. We also recorded dialysis duration, pre-and post-dialysis systolic blood pressure (SBP), diastolic blood pressure (DBP) and heart rate (HR) in ESRD patients.
Neurocognitive assessments
All participants completed Beijing revised version Montreal Cognitive Assessment (MoCA) and RAVLT before MR data acquisition. MoCA can comprehensively and rapidly assess the overall cognitive function. RAVLT, which consists of learning and recall trials and a recognition memory trial, is a neurocognitive assessment tool to assess verbal memory27. After reading aloud a list of 15 nouns (List A) for five consecutive times, participants performed spontaneous recall (A1–A5). The first recall (A1) is related to short-term memory. The sum of the correct number of five recall tests is related to learning process (ΣA1–A5). Then, after the interference of another 15 nouns from List B, participants are required to recall the words from the initial list (A6, immediate recall). After 20 min (timed from the completion of List B recall), participants recall the words from List A again (A7, delayed recall). The recognition memory trial refers to providing a list of 50 words (including List A and List B), and participants are asked to check the words recognized from List A28.
Magnetic resonance imaging acquisition
All MRI data was acquired on a 3.0 T MRI scanner (Ingenia CX, Philips Healthcare, Best, the Netherlands) equipped with a 32-channel phased-array head coil. High-resolution, T1-weighted (T1W) images were obtained using a three-dimensional multi-shot turbo field echo (MS-TFE) sequence with the following scan parameters: repetition time (TR)/echo time (TE) = 6.6/3.0 ms, flip angle (FA) = 12°, matrix size = 256 × 256, field of view (FOV) = 256 × 256 mm2, slices = 188, voxel size = 1 × 1 × 1 mm3.
Hippocampal segmentation
The stable version 7.2.0 release (July 19, 2021) of the FreeSurfer software (https://surfer.nmr.mgh.harvard.edu) was applied for 3D-T1W image processing, involving the main automated pipeline of skull stripping, automated Talairach transformation, cortical and subcortical structure segmentation. We followed quality control and confirmed the accuracy of the segmentation results for each participant. The estimated total intracranial volume (eTIV) of each participant was also calculated and was used as a covariate in the statistical analysis.
The hippocampal module within the FreeSurfer based on T1W was applied to perform hippocampal subfields segmentation. The hippocampus was divided into 19 subfields: hippocampal tail, subiculum head, subiculum body, parasubiculum, presubiculum head, presubiculum body, CA1 head, CA3 head, CA4 head, GC-DG head, molecular layer head, HATA, CA1 body, CA3 body, CA4 body, GC-DG body, molecular layer body, fimbria and hippocampal fissure (Fig. 1).
Hippocampal subfield segmentation. CA cornus ammonis, GC-DG granule cell layer of dentate gyrus, HATA hippocampus-amygdala transitional area.
Asymmetry index (AI)
As previous studies described23, we used the following formula to quantify the asymmetry of hippocampal subfields:
Statistical analysis
Statistical analysis was conducted using SPSS version 22.0. The K-S test was used to test the normality of the data. Normally and non-normally distributed demographic characteristics were analyzed by two-sample t tests and Mann–Whitney U tests, respectively. Chi-squared (χ2) tests was performed for proportions.
The volumes and AI of the hippocampal subfields between ESRD and HCs were compared using covariance analysis (ANCOVA) with age, gender, education, eTIV as covariates. In addition, it was reported that hypertension and diabetes also had effect on the volume of hippocampal subfields29,30. Therefore, in our study, we also included the history of hypertension and diabetes as covariates for statistical analysis. The Benjamini–Hochberg false discovery rate (FDR) correction was applied for multiple testing. In addition, ROC curve analysis was performed to evaluate the sensitivity and specificity of subfields volume in discriminating ESRD from HCs. Only volumes of hippocampal subfields showing differences will be used for ROC analysis.
To investigate the relationship between atrophied hippocampal subfield volumes and memory performance as well as blood biochemical tests, partial correlation analysis was adopted, with age, gender, education, eTIV, hypertension and diabetes history as covariables. Statistical tests were two tailed, and the significant threshold was set at p < 0.05.
Results
Demographic and clinical characteristics
The demographic and clinical characteristics of the ESRD patients and HCs are summarized in the Table 1. Gender, age, BMI and years of education between the two groups showed no statistical difference (p > 0.05). The incidence of hypertension in ESRD patients is higher (Z = 24.416, p < 0.001). ESRD patients had lower Hb (t = − 11.451, p < 0.001), Hct (t = − 12.266, p < 0.001), RBC (t = − 13.025, p < 0.001) and Alb (t = − 12.242, p < 0.001) and higher Cre (t = 38.89, p < 0.001), UA (t = 6.547, p < 0.001), Urea (Z = − 6.428, p < 0.001), HCY (Z = − 7.157, p < 0.001), P (t = 9.721, p < 0.001) and cCa (t = 3.523, p = 0.001) than HCs.
In terms of neurocognitive assessments (Table 2), compared to HCs, ESRD group had poorer performances on MoCA (Z = − 2.130, p = 0.033, df = 77), RAVLT short-term memory (Z = − 2.496, p = 0.013, df = 77) and RAVLT delayed recall (Z = − 2.016, p = 0.044, df = 77), while no significant differences were observed in other RAVLT scores (p > 0.05).
Hippocampal subfields alterations in ESRD
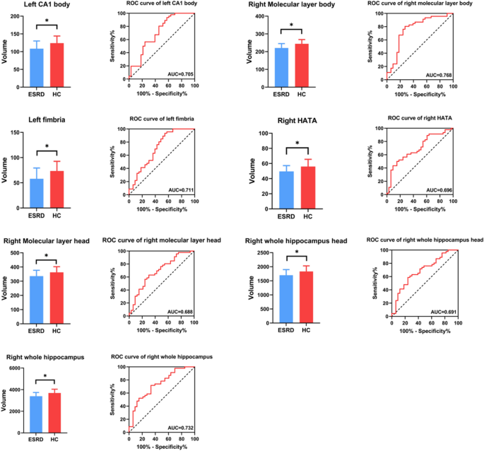
The volumes of the whole and subfields of hippocampal are summarized in Table 3 and Fig. 2. Concerning the whole structures, compared to HCs, the volume of the right hippocampus in ESRD was significantly reduced (F = 10.732, p = 0.002, q = 0.024, FDR corrected). For the subfields, ESRD patients had reduced volumes in the left CA1 body (F = 7.875, p = 0.007, q = 0.041, df = 1), left fimbria (F = 8.600, p = 0.005, q = 0.040, df = 1), right molecular layer head (F = 8.225, p = 0.005, q = 0.040, df = 1), right molecular layer body (F = 10.958, p = 0.001, q = 0.024, df = 1), right HATA (F = 10.923, p = 0.002, q = 0.024, df = 1).
Volumes of the whole hippocampus and subfields showed significant group difference in ESRD and HCs. *represents the statistical difference between the two groups, correction adjusted p value (q value) < 0.05. ROC curves analysis based on the left CA1 body, left fimbria, right molecular layer head, right molecular layer body, right HATA, right whole hippocampal head and right whole hippocampal volumes. CA cornus ammonis, HATA hippocampus-amygdala transitional area.
For the asymmetry of hippocampal subfields, there was no significant difference between the two groups (Supplementary Material, Table S1).
ROC curve analysis
Table 4 and Fig. 2 presents the ROC curve analysis results of the whole hippocampus and subfields volumes differentiating between ESRD and HCs. The results demonstrated that the classifications based on the right molecular layer body (AUC = 0.768) resulted in higher performance than the right whole hippocampal volume (AUC = 0.732) for AUC. Besides, the left fimbria also had well performance on differentiating ESRD patients from HCs (AUC = 0.711). Further diagnostic analysis showed that the right molecular layer body discriminated ESRD from HCs with a sensitivity of 80.43% and specificity of 72.73% at the largest Youden index, with the left fimbria a sensitivity of 93.48% and specificity of 45.45%.
Correlation analysis of hippocampal subfields volumes and RAVLT
Figure 3 shows the results of partial correlation analysis between the volumes of atrophic hippocampal subfields and RAVLT in the ESRD group, controlling for age, gender, education, eTIV, hypertension and diabetes history as covariables. The volume of the left fimbria was positively correlated with learning process score (r = 0.414, p = 0.032), immediate recall score (r = 0.396, p = 0.041) and delayed recall score (r = 0.482, p = 0.011). No significant correlations were found between other hippocampal subfield volumes and RAVLT (p > 0.05).
Volume of the left fimbria was correlated with learning process scores (r = 0.414, p = 0.032) (A), immediate recall scores (r = 0.396, p = 0.041) (B) and delayed recall scores (r = 0.482, p = 0.011) (C). Adjusted age, gender, education, eTIV and hypertension and diabetes history.
Correlation analysis of hippocampal subfields volumes and blood biochemical tests
In the ESRD group, partial correlation analysis showed that the volume of the left fimbria had a positive correlation trend with Hb (r = 0.388, p = 0.050), the left CA1 body volume had a negative correlation with Urea (r = − 0.469, p = 0.016) (Fig. 4). No significant correlations were found between other blood biochemical tests and the reduced hippocampal subfield volumes (p > 0.05).
(A) Hb (r = 0.388, p = 0.05) was positively correlated with the volume of the left fimbria. (B) Urea was negatively correlated with the left CA body volume (r = − 0.469, p = 0.016). Adjusted age, gender, education, eTIV and hypertension and diabetes history. Hb hemoglobin, Urea serum urea.
Discussion
In this study, we first investigated the volumes and asymmetry alterations of hippocampal subfields in patients with ESRD as well as their associations with memory ability and blood biochemical tests. We found the following points: (1) ESRD patients had impaired memory function, mainly in short-term memory and delayed recall. (2) In ESRD patients, the five atrophied hippocampal subfields were the left CA1 body, left fimbria, right molecular layer head, right molecular layer body and right HATA. (3) The atrophy of left fimbria was related to learning process, immediate recall and delayed recall. (4) Anemia and Urea may be associated with the atrophy of the left fimbria and left CA1 body.
Previous studies have demonstrated the associations of hippocampal structure and function abnormalities with ESRD12,13. In our research, we observed reduced volume of the right whole hippocampus, consistent with the previous findings. In addition, unlike previous studies that focused on the hippocampus as a whole, we first analyzed the volume changes of the hippocampal subfields in ESRD patients and found the differences with HCs after controlling for age, sex, education, eTIV, hypertension and diabetes history. Furthermore, the right molecular layer body volume significantly outperformed the whole right hippocampal volume in discriminating between ESRD and HCs could also illustrate the importance of focusing on the changes in hippocampal subfields.
The hippocampus plays a crucial role in both information processing and episodic and spatial memory. Anatomically, the atrophic structures of the ESRD patients in our study, including the molecular layers, CA1, and HATA, are located on the lateral portions of the hippocampus. The hippocampal CA1 is a major component of the memory circuit in the medial temporal lobe and is a key region for memory encoding and formation31. Anatomical and physiological studies have shown that the information conversion circuit of the hippocampus starts from the dentate gyrus and finally regulates the activity of the hippocampal circuit and learning and memory through the projection pathway between CA1 and the subiculum32,33. Our study showed that compared with HCs, the left CA1 body of ESRD patients was smaller and the result was also supported by previous animal experiment, which reported that neuronal vulnerability of hippocampal CA1 was associated with memory dysfunction after chronic renal failure34. The molecular layer is situated between the subiculum and the fissure, which consists of part of the subiculum and CA fields. The reduced number of synapses in the molecular layer of hippocampus may affect information transmission between pyramidal cells and interneurons, which in turn affects the connectivity between subfields, ultimately leading to memory impairment23. Studies have certified that the number of synapses in the molecular layer correlated with cognitive performance in AD or mild cognitive impairment (MCI)35. However, this study has not yet found any correlation between CA1 or molecular layer atrophy and memory function, and we consider that it may be due to the small sample size, or that some of our ESRD patients have acceptable memory function, which masks this correlation. Subsequent studies should be conducted by expanding the sample size and grouping by cognitive impairment.
HATA, located in the medial portion of the hippocampus, is closely connected to the amygdala and is part of the hippocampus-amygdala pathway36. The fimbria is a white matter structure that forms part of the fornix and projects information to the amygdala36. Previous studies showed that the HATA and fimbria are involved in visuospatial function and object discrimination by modulating the amygdala-hippocampal pathway37. Therefore, we speculate that atrophy of these regions may cause damage to the fornix or the hippocampus-amygdala pathway, and may be a biomarker of visuospatial dysfunction in ESRD patients. In addition, Yu et al. found that decreased volume of hippocampus predicted deterioration of fornix microstructure38. Our previous study identified the vulnerability of the fornix microstructure in ESRD patients39. Therefore, based on the location of the fimbria in the hippocampus and the anatomical relationship with the fornix, we speculate that the change of fimbria volume may be related to the microstructure of the fornix. However, this speculation needs to be verified. At present, studies on the atrophy of fimbria are still inconsistent. Mixed studies suggest fimbria atrophy or retention in MCI and AD40,41,42, and large-scale clinical studies are required for unified conclusion. We found that learning process, immediate recall and delayed recall scores were closely related to the left fimbria volume, which consistent with previous research43. Animal experiments also showed the relationship between fimbria-fornix damage and immediate recall impairment44.
Based on the result that decreased hemoglobin correlated with smaller left fur volume in our study, we hypothesized that anemia may promote left fimbria atrophy. It has been reported that most hemodialysis patients suffer from renal anemia. In ESRD patients, renal anemia is incurable due to persistent impairment of renal function and decreased production of erythropoietin45. Renal anemia can lead to hypoxia, and the hippocampus is particularly vulnerable to hypoxia46, which may cause local atrophy. However, the impact of anemia on the hippocampal subfields is still a complex issue, and larger sample study is still required. Besides, Urea was found to be correlated with the atrophy of left CA1 body. Kidney failure can cause abnormal accumulation of a variety of toxic substances, such as urea, creatinine and uric acid47. These neurotoxic substances may also be present in the cerebrospinal fluid of patients with kidney failure, inducing glial cells and neurons to atrophy and die and leading to brain atrophy48. Wang et al. also found the association between elevated serum urea levels and brain atrophy49. Therefore, we speculate that serum urea may also lead to atrophy of the hippocampal subfields. However, the pathophysiological mechanism needs to be further explored.
Previously, brain asymmetry is a key morphological indicator reflecting developmental and pathological alterations20. The hippocampus is one of the asymmetric regions in the brain, especially in neurodegenerative diseases, such as AD50. In this study, we found that the right hippocampus had more volume loss subfields compared to the left hippocampus. Previous study on posterior cortical atrophy also found hippocampal atrophy was predominant in the right hemisphere51. But our study did not find any difference of AI between the two groups. We consider this to be the reason for the similar atrophy of the left and right hippocampus after cognitive impairment in ESRD patients.
Some limitations should be considered in this study. First, the small sample size in the prospective study is the main limitation, and further large sample size researches are still needed; Second, based on the cross-sectional study design, we were unable to assess the changes of the hippocampal subfield volumes in ESRD patients, and longitudinal follow-up studies are required; Third, we did not consider the etiology of ESRD patients and confounding effects of etiology may be existed and affect cognitive performance. Forth, although the FreeSurfer automated segmentation procedure within the spatial resolution of 1mm3 isotropic in 3D-T1 image has been found to be a test–retest reliable method52, the segmentation results of the hippocampal subfields should also be validated at higher resolution in the future.
Conclusions
In conclusion, we found reduced hippocampal subfield and whole hippocampal volumes in ESRD patients. In particularly, the reduction in the left fimbria was closely related to memory function. Besides, anemia and Urea may be associated with the atrophy of the left fimbria and CA1 body. We believe the findings of this work will contribute to understanding the mechanisms of memory decline in ESRD.
Data availability
All data included in this study are available upon request by contact with the corresponding author.
Abbreviations
- AI:
-
Asymmetric index
- CKD:
-
Chronic kidney disease
- ESRD:
-
End stage renal disease
- eTIV:
-
Estimated total intracranial volume
- FDR:
-
False discovery rate
- HC:
-
Healthy control
- IQR:
-
Interquartile range
- MRI:
-
Magnetic resonance imaging
- MoCA:
-
Montreal Cognitive Assessment
- RAVLT:
-
Rey's auditory verbal learning test
- ROC:
-
Receiver operating characteristic
References
Ng, J. K. & Li, P. K. Chronic kidney disease epidemic: How do we deal with it?. Nephrology (Carlton) 23(Suppl 4), 116–120 (2018).
Romagnani, P. et al. Chronic kidney disease. Nat. Rev. Dis. Primers 3, 17088 (2017).
Kurella, M., Chertow, G. M., Luan, J. & Yaffe, K. Cognitive impairment in chronic kidney disease. J. Am. Geriatr. Soc. 52, 1863–1869 (2004).
Dasgupta, I. et al. Cognitive function declines significantly during haemodialysis in a majority of patients: A call for further research. Blood Purif. 45, 347–355 (2018).
Luo, Y. et al. Cognitive impairment and associated risk factors in older adult hemodialysis patients: A cross-sectional survey. Sci. Rep. 10, 12542 (2020).
Viggiano, D. et al. Mechanisms of cognitive dysfunction in CKD. Nat. Rev. Nephrol. 16, 452–469 (2020).
Kanemaru, K., Kanemaru, A. & Murayama, S. Association between renal functions and CSF biomarkers in Alzhelmer’s disease. Alzheimers Dement. 12, P665 (2016).
Pirici, D. et al. Common impact of chronic kidney disease and brain microhemorrhages on cerebral Aβ pathology in SHRSP. Brain Pathol. 27, 169–180 (2017).
Farokhi-Sisakht, F. et al. Physical and cognitive training attenuate hippocampal ischemia-induced memory impairments in rat. Brain Res. Bull. 155, 202–210 (2020).
Nagayach, A., Bhaskar, R. & Patro, I. Microglia activation and inflammation in hippocampus attenuates memory and mood functions during experimentally induced diabetes in rat. J. Chem. Neuroanat. 125, 102160 (2022).
Ezzati, A. et al. Differential association of left and right hippocampal volumes with verbal episodic and spatial memory in older adults. Neuropsychologia 93, 380–385 (2016).
Chang, C. Y. et al. Cognitive impairment and hippocampal atrophy in chronic kidney disease. Acta Neurol. Scand. 136, 477–485 (2017).
Chang, T. Y. et al. Changes of brain functional connectivity in end-stage renal disease patients receiving peritoneal dialysis without cognitive decline. Front. Med. (Lausanne) 8, 734410 (2021).
Mueller, S. G. et al. Systematic comparison of different techniques to measure hippocampal subfield volumes in ADNI2. Neuroimage Clin. 17, 1006–1018 (2018).
Zhao, W. et al. Trajectories of the hippocampal subfields atrophy in the Alzheimer’s disease: A structural imaging study. Front. Neuroinform. 13, 13 (2019).
Uribe, C. et al. Differential progression of regional hippocampal atrophy in aging and Parkinson’s disease. Front. Aging Neurosci. 10, 325 (2018).
Sasabayashi, D. et al. Reduced hippocampal subfield volume in schizophrenia and clinical high-risk state for psychosis. Front. Psychiatry 12, 642048 (2021).
Longoni, G. et al. Deficits in memory and visuospatial learning correlate with regional hippocampal atrophy in MS. Brain Struct. Funct. 220, 435–444 (2015).
Goldberg, E. et al. Hemispheric asymmetries of cortical volume in the human brain. Cortex 49, 200–210 (2013).
Toga, A. W. & Thompson, P. M. Mapping brain asymmetry. Nat. Rev. Neurosci. 4, 37–48 (2003).
Woolard, A. A. & Heckers, S. Anatomical and functional correlates of human hippocampal volume asymmetry. Psychiatry Res. 201, 48–53 (2012).
Liu, M. N. et al. Sub-regional hippocampal volumes in first-episode drug-naïve major depression disorder. Neurosci. Lett. 763, 136178 (2021).
Zeng, Q. et al. Distinct atrophy pattern of hippocampal subfields in patients with progressive and stable mild cognitive impairment: A longitudinal MRI study. J. Alzheimers Dis. 79, 237–247 (2021).
Milne, N. T. et al. Hippocampal atrophy, asymmetry, and cognition in type 2 diabetes mellitus. Brain Behav. 8, e00741 (2018).
Pi, H. C. et al. Cognitive impairment and structural neuroimaging abnormalities among patients with chronic kidney disease. Kidney Blood Press. Res. 41, 986–996 (2016).
Murea, M. et al. Structural and functional assessment of the brain in European Americans with mild-to-moderate kidney disease: Diabetes Heart Study-MIND. Nephrol. Dial. Transplant. 30, 1322–1329 (2015).
Messinis, L., Tsakona, I., Malefaki, S. & Papathanasopoulos, P. Normative data and discriminant validity of Rey’s Verbal Learning Test for the Greek adult population. Arch. Clin. Neuropsychol. 22, 739–752 (2007).
Ono, S. E. et al. Relationship between hippocampal subfields and Verbal and Visual memory function in Mesial Temporal Lobe Epilepsy patients. Epilepsy Res. 175, 106700 (2021).
Li, H., Sun, D., Lu, D., Zhang, J. & Zeng, J. Low hippocampal dentate gyrus volume associated with hypertension-related cognitive impairment. Am. J. Alzheimers Dis. Other Dement. 35, 1533317520949782 (2020).
Li, M. et al. Altered hippocampal subfields volumes is associated with memory function in type 2 diabetes mellitus. Front. Neurol. 12, 756500 (2021).
Ginsberg, S. D. et al. Selective decline of neurotrophin and neurotrophin receptor genes within CA1 pyramidal neurons and hippocampus proper: Correlation with cognitive performance and neuropathology in mild cognitive impairment and Alzheimer’s disease. Hippocampus 29, 422–439 (2019).
Xu, X., Sun, Y., Holmes, T. C. & López, A. J. Noncanonical connections between the subiculum and hippocampal CA1. J. Comp. Neurol. 524, 3666–3673 (2016).
Small, S. A., Schobel, S. A., Buxton, R. B., Witter, M. P. & Barnes, C. A. A pathophysiological framework of hippocampal dysfunction in ageing and disease. Nat. Rev. Neurosci. 12, 585–601 (2011).
Kim, J. W., Ha, G. Y. & Jung, Y. W. Chronic renal failure induces cell death in rat hippocampal CA1 via upregulation of αCaMKII/NR2A synaptic complex and phosphorylated GluR1-containing AMPA receptor cascades. Kidney Res. Clin. Pract. 33, 132–138 (2014).
Scheff, S. W., Price, D. A., Schmitt, F. A. & Mufson, E. J. Hippocampal synaptic loss in early Alzheimer’s disease and mild cognitive impairment. Neurobiol. Aging 27, 1372–1384 (2006).
Iglesias, J. E. et al. A computational atlas of the hippocampal formation using ex vivo, ultra-high resolution MRI: Application to adaptive segmentation of in vivo MRI. Neuroimage 115, 117–137 (2015).
De Meo, E. et al. Effect of BDNF Val66Met polymorphism on hippocampal subfields in multiple sclerosis patients. Mol. Psychiatry 27, 1010–1019 (2021).
Yu, J. & Lee, T. M. C. Verbal memory and hippocampal volume predict subsequent fornix microstructure in those at risk for Alzheimer’s disease. Brain Imaging Behav. 14, 2311–2322 (2020).
Jiang, Y. et al. Reduced white matter integrity in patients with end-stage and non-end-stage chronic kidney disease: A tract-based spatial statistics study. Front. Hum. Neurosci. 15, 774236 (2021).
Yushkevich, P. A. et al. Automated volumetry and regional thickness analysis of hippocampal subfields and medial temporal cortical structures in mild cognitive impairment. Hum. Brain Mapp. 36, 258–287 (2015).
Khan, W. et al. Automated hippocampal subfield measures as predictors of conversion from mild cognitive impairment to Alzheimer’s disease in two independent cohorts. Brain Topogr. 28, 746–759 (2015).
Amaral, R. S. C. et al. Manual segmentation of the fornix, fimbria, and alveus on high-resolution 3T MRI: Application via fully-automated mapping of the human memory circuit white and grey matter in healthy and pathological aging. Neuroimage 170, 132–150 (2018).
Zheng, F. et al. The volume of hippocampal subfields in relation to decline of memory recall across the adult lifespan. Front. Aging Neurosci. 10, 320 (2018).
Winters, B. D. & Dunnett, S. B. Selective lesioning of the cholinergic septo-hippocampal pathway does not disrupt spatial short-term memory: A comparison with the effects of fimbria-fornix lesions. Behav. Neurosci. 118, 546–562 (2004).
Zheng, G. et al. Anemia rather than hypertension contributes to cerebral hyperperfusion in young adults undergoing hemodialysis: A phase contrast MRI study. Sci. Rep. 6, 22346 (2016).
Iampietro, M., Giovannetti, T. & Tarazi, R. Hypoxia and inflammation in children with sickle cell disease: Implications for hippocampal functioning and episodic memory. Neuropsychol. Rev. 24, 252–265 (2014).
Pedraza, M. I. et al. Brain atrophy and the risk of futile endovascular reperfusion in acute ischemic stroke. Stroke 51, 1514–1521 (2020).
Kelly, D. & Rothwell, P. M. Disentangling the multiple links between renal dysfunction and cerebrovascular disease. J. Neurol. Neurosurg. Psychiatry 91, 88–97 (2020).
Wang, H. et al. Regional cerebral gray matter atrophy is associated with cognitive impairment in hemodialysis patients: A cross-sectional and longitudinal voxel-based morphological MRI study. Brain Imaging Behav. 16, 1284–1293 (2022).
Sarica, A. et al. MRI asymmetry index of hippocampal subfields increases through the continuum from the mild cognitive impairment to the Alzheimer’s disease. Front. Neurosci. 12, 576 (2018).
Parker, T. D. et al. Differences in hippocampal subfield volume are seen in phenotypic variants of early onset Alzheimer’s disease. Neuroimage Clin. 21, 101632 (2019).
Brown, E. M. et al. Test–retest reliability of FreeSurfer automated hippocampal subfield segmentation within and across scanners. Neuroimage 210, 116563 (2020).
Funding
This work was supported in part by the National Natural Science Foundation of China (81671646) and the National Key Research and Development program of China (2018AAA0100300 and 2018AAA0100301).
Author information
Authors and Affiliations
Contributions
Y.J.: Conceptualization, data curation, formal analysis, methodology, visualization, writing—original draft. B.G.: Conceptualization, formal analysis, methodology, writing—original draft. M.L. and Y.L.: Data curation, investigation, writing—review and editing. Y.L., N.L., Y.Z. and J.J.: Data curation, formal analysis, investigation, writing—review and editing. Q.S. and X.W.: Conceptualization, supervision, project administration, writing—review and editing. W.W.: Conceptualization, writing—review and editing. N.W.: Investigation, writing—review and editing. Y.M.: Conceptualization, funding acquisition, methodology, supervision, writing—review and editing.
Corresponding author
Ethics declarations
Competing interests
The authors declare no competing interests.
Additional information
Publisher's note
Springer Nature remains neutral with regard to jurisdictional claims in published maps and institutional affiliations.
Supplementary Information
Rights and permissions
Open Access This article is licensed under a Creative Commons Attribution 4.0 International License, which permits use, sharing, adaptation, distribution and reproduction in any medium or format, as long as you give appropriate credit to the original author(s) and the source, provide a link to the Creative Commons licence, and indicate if changes were made. The images or other third party material in this article are included in the article's Creative Commons licence, unless indicated otherwise in a credit line to the material. If material is not included in the article's Creative Commons licence and your intended use is not permitted by statutory regulation or exceeds the permitted use, you will need to obtain permission directly from the copyright holder. To view a copy of this licence, visit http://creativecommons.org/licenses/by/4.0/.
About this article
Cite this article
Jiang, Y., Gao, B., Li, M. et al. Relations of hippocampal subfields atrophy patterns with memory and biochemical changes in end stage renal disease. Sci Rep 13, 2982 (2023). https://doi.org/10.1038/s41598-023-29083-0
Received:
Accepted:
Published:
Version of record:
DOI: https://doi.org/10.1038/s41598-023-29083-0
This article is cited by
-
Brain atrophy in patients on peritoneal dialysis treatment
Hypertension Research (2024)






