Abstract
Cereal cyst nematode (CCN) is a major threat to cereal crop production globally including wheat (Triticum aestivum L.). In the present study, single-locus and multi-locus models of Genome-Wide Association Study (GWAS) were used to find marker trait associations (MTAs) against CCN (Heterodera avenae) in wheat. In total, 180 wheat accessions (100 spring and 80 winter types) were screened against H. avenae in two independent years (2018/2019 “Environment 1” and 2019/2020 “Environment 2”) under controlled conditions. A set of 12,908 SNP markers were used to perform the GWAS. Altogether, 11 significant MTAs, with threshold value of −log10 (p-values) ≥ 3.0, were detected using 180 wheat accessions under combined environment (CE). A novel MTA (wsnp_Ex_c53387_56641291) was detected under all environments (E1, E2 and CE) and considered to be stable MTA. Among the identified 11 MTAs, eight were novel and three were co-localized with previously known genes/QTLs/MTAs. In total, 13 putative candidate genes showing differential expression in roots, and known to be involved in plant defense mechanisms were reported. These MTAs could help us to identify resistance alleles from new sources, which could be used to identify wheat varieties with enhanced CCN resistance.
Similar content being viewed by others
Introduction
Wheat (Triticum aestivum L.) is one of the most widely grown crop, cultivated on ~ 220 million ha, with a worldwide annual production of over 700 million tons, and global annual export value of around US$50 billion1. China was the top wheat producing country in 2022 with production volume of over 137 million metric tons followed by India, Russia, Australia, Canada, Pakistan, and Ukraine2. Plant-parasitic nematodes (PPNs) are a serious global problem to wheat production3,4,5. Root-knot nematodes (RKNs; Meloidogyne spp.), cereal cyst nematodes (CCNs; Heterodera spp.), and root lesion nematodes (RLNs; Pratylenchus spp.) are the most common PPNs responsible for reduction in crop yield worldwide6. Heterodera avenae is an economically significant PPN in temperate wheat-producing regions like North and South Africa, East and West Asia, Australia, Europe, the Indian Subcontinent, the Middle East, and North America7. Cultivation of susceptible cultivars is the main cause of severe yield losses due to H. avenae infection in majority of wheat growing regions5,8.
In order to reduce the threat posed by rising H. avenae population densities and to keep the losses incurred below economic threshold, it is crucial to develop efficient disease management strategies. Crop rotation, chemical, and biological management strategies are some of the common approaches that could help to reduce the damage caused by these nematodes to some extent. Few nematicides such as aldicarb, oxamyl, abamectin are known to be effective in decreasing the nematode population and increasing yield in wheat and barley8,9,10. Despite their benefits several nematicides are banned due to their high risk for human health and environment. Therefore, finding the host plant resistance is one of the most effective, economically and environmentally sustainable method to prevent or reduce nematode multiplication11.
Resistance genes against CCNs were identified in T. aestivum including Cre112,13,14 and Cre815. Several known genes were introgressed into cultivated wheat from wild relatives such as Cre2, Cre5 and Cre6 were transferred from Aegilops ventricosa16,17,18, Cre3 and Cre4 were introgressed from Ae. tauschii19, Cre7 from Ae. triuncialis20 and CreR from rye21,22. CreX and CreY were pyramided into a single bread wheat line from Ae. variabilis23,24,25. Development of wheat cultivars resistant against nematodes is a challenging task for breeders. Raj MR1, CCNRV2, and CCNRV4 are some of the varieties in India reported to show resistance against H. avenae26. Also, some of the CIMMYT synthetic wheat derivatives e.g. CROC_1/AE, SQUARROSA (224)//OPATA showed resistance to numerous soil-borne pathogens including CCNs as well as root lesion nematode Pratylenchus thornei27,28. Wheat cultivars such as Meering, Festiguay, Molineux, Frame, Chara, and Annuello in Australia are found to be moderately resistant to H. avenae29.
Quantitative trait loci (QTLs) mapped in bi-parental crosses is restricted in allelic diversity and has limited genomic resolution whereas genome-wide association approaches offers higher resolution and also eliminate the need to develop mapping population30. Only few QTL studies have been conducted in wheat for H. avenae resistance14,31,32,33,34. Rapid advancement in the field of genotyping technology offered novel, cheaper and faster methods of sequencing plant genome. The presence of high-density single-nucleotide polymorphism (SNP) permits scanning of whole-genome to obtain usually small haplotype blocks that are significantly associated with quantitative trait variation and it has been widely used to detect MTAs for several yield-related traits35,36. So far, few GWA studies, have been conducted in wheat for H. avenae resistance. Mulki et al.28 carried out a GWAS on 332 synthetic hexaploid wheat lines genotyped with 660 Diversity Arrays Technology (DArT) and identified 17 markers loci significantly associated with CCNs and 12 with P. neglectus. Among these identified loci, five novel QTLs were identified for resistance to CCN on chromosomes 1D, 4D, 5B, 5D and 7D and three for P. neglectus on chromosomes 4A, 5B and 7B. In another study, 126 advanced CIMMYT spring wheat lines were screened for resistance against H. aveane, P. neglectus and P. thornei. Eleven MTAs were identified for resistance to H. avenae, 25 were linked with resistance against P. neglectus and nine MTAs for P. thornei. Three novel QTLs were mapped for resistance to H. avenae on chromosomes 5A, 6A, and 7A37.
The main objective of the present study was to identify novel sources of resistance to H. avenae in a set of hexaploid wheat of both winter and spring growth habits. Single and multi-locus GWAS models were applied in the present study to control false positives. In addition, candidate genes underlying significant MTAs were also reported. These MTAs shall provide a useful set of markers to perform Marker-Assisted Selection (MAS) based breeding in wheat.
Materials and methods
Association panel
The association panel used in the present study consisted of hexaploid wheat of both winter and spring growth habits. The spring wheat panel had 100 accessions and the winter wheat panel included 80 accessions. The details of all the 180 accessions with their growth habits and origin are presented in supplementary data (Supplementary Table S1A, B). The spring panel was obtained from the Genebank of IPK in Gatersleben (http://www.ipk-gatersleben.de/en/genebank/) described in Muqaddasi et al.38. The winter wheat panel was from a larger core collection of the Institute of Field and Vegetable Crops (Novi Sad, Serbia) described in Neumann et al.39.
Genotypic data
An original set of 207 wheat accession was analyzed by using a 15K Infinium SNP array Muqaddasi et al.38. The development of a 15K SNP-chip and the genotyping has been carried out by TraitGenetics GmbH (http://www.traitgenetics.com). After removing the calls of failed SNPs and the SNPs with ambiguous calls, a total of 13,006 SNPs were obtained from a 15 K Infinium SNP array that is an optimized and reduced version of the 90K iSELECT SNP-chip described by Wang et al.40. The remaining markers were again filtered for minor allele frequency (MAF) ≥ 5% which resulted in 12,908 SNPs. This set of 12,908 markers (including both mapped as well as unmapped) was subsequently used for the analysis.
Screening experiment
Screening experiments were carried out under controlled environmental conditions (22 ± 2 °C, 16 h light, and 8 h darkness and ~ 65% relative humidity) in growth room in the Department of Genetics and Plant Breeding, Ch. Charan Singh University, Meerut. All experiments were carried out as completely randomized design (CRD) in four different batches with a maximum of five replications over two consecutive years (Environment 1 or E1 and Environment 2 or E2). The accessions were phenotypically screened for resistance against H. avenae by counting the number of cyst formed on individual plant.
For inoculum preparation, soil samples (infested with H. avenae) were collected from an experimental field located at Hisar (latitude, 29.3815 °N, longitude, 75.5750 °E), India. Cysts were extracted by using sieves of different sizes i.e., 850 µm, 250 µm and 150 µm sizes following Cobb’s decanting and sieving method41. Soil samples were suspended in a beaker filled with water and stirred well and then passed through 850 µm, 250 µm and 150 µm sieves under running water. Cysts retained on 250 µm sieve were then hand-picked under a stereo-microscope and stored at 4 °C for 2–3 months to enhance hatching. For inoculum, J2s were released from the cysts by crushing and were adjusted to a concentration of 600 to 700 juveniles/ml.
Pre-germinated seeds of each accession was transferred to polyvinyl chloride (PVC) pipes (16 cm in height × 2.5 cm in diameter) filled with sieved double steam sterilized soil. Ten days post transplantation each accession was inoculated with 1 ml solution of second stage juveniles (J2s) by making three holes in the soil next to stem base. The holes were covered with soil after inoculation. Hoagland’s solution was used to fertilize the plants as needed throughout the experiment. Cysts were extracted from both root and soil 75 days post inoculation as reported in the literature42. Cysts were counted for all accessions under a stereo-microscope.
Statistical analysis
The ANOVA was carried out using the Agricolae package in R program and descriptive statistics such as mean, median, standard deviation were calculated for cyst count using Pastecs package in R program43. For describing and presenting the phenotypic data, violin plots were prepared for two different environments as well as for combined environment (E1, E2 and CE) with the help of ‘vioplot’ package in R program 43.
Population structure analysis
To infer the population structure, principal component analysis (PCA) was conducted through Genomic Association and Prediction Integrated Tool (GAPIT) package44. First two PCs were used to demonstrate the 2D plot which shows the distribution of accessions into different sub-groups.
To reveal the population structure of 180 wheat accessions the STRUCTURE v.2.3.4 software was used45. A set of 12,908 SNP markers were used to perform this analysis. Three independent runs for each K value from 1 to 10, where K is the number of subpopulations, were carried on the basis of an admixture model and correlated allele frequency. The length of burn-in period was set at 5,000 while the number of replication of burn-in period was set at 50,000. To obtain the appropriate K value, the normal logarithm estimated for the probability of fit, which in average of ten runs, provided in the output result of STRUCTURE was plotted against K. The value of K reaches the plateau once the minimal number of groups describing the best population structure has been achieved45. To predict the real number of subpopulations, an ad-hoc quantity statistic (Delta K) was used which is based on the rate of change in the log probability of data between successive K values46.
Linkage disequilibrium analysis
Linkage disequilibrium analysis (LD) was carried out by using a set of mapped (N = 11,126) SNP markers with known positions. LD between markers was calculated as squared allele frequency correlation estimates (r2) using TASSEL v.5.0. Genome-wide and intra-chromosomal quantification and graphical representation of LD decay was generated using R program 43 by plotting the squared correlation coefficients (r2) vs. map distances in centiMorgans (cM). The 95th percentile of r2 values of unlinked loci was assumed to be the population-specific critical value of r2, beyond which LD was likely considered to occur due to genetic linkage.
Genome-wide association analysis
Association mapping was performed using three multi-locus models viz. Multi loci mixed linear model (MLMM), Bayesian-information and linkage-disequilibrium iteratively nested keyway (BLINK) and Fixed and random model Circulating Probability Unification (FarmCPU) and a single-locus model, Mixed linear model (MLM) available in GAPIT package. Circular Manhattan plot and combined quantile–quantile (QQ) plot were generated through CMplot package in R program. GWAS analysis was carried out for all the environments (E1, E2 and CE). For conducting GWAS, the default significant threshold value implemented in GAPIT was set at FDR < 0.05 but this value is quite stringent and conservative and we could not identify any significant MTAs for the given trait. Therefore, MTAs were considered significant when P < 0.001 or −log10 (p-values) ≥ 3.0. MTAs detected in all the environments (E1, E2 and CE) were considered as stable MTAs.
The previously identified genes/QTLs/MTAs known for H. avenae resistance were also compared with the MTAs identified in the present study. For that purpose, physical positions of all the identified genes/QTLs/MTAs were obtained using Ensembl plant for T. aestivum and a chromosome map was prepared with MapChart software which represents all the genes/QTLs/MTAs identified on individual chromosomes.
Candidate gene analysis
Sequence of significant MTAs were blasted against T. aestivum genome sequence information hosted at EnsemblPlants (http://plants.ensembl.org/Triticum_aestivum) to identify the candidate genes. All genes present within maximum window size of 50 kb before and after the marker were retrieved and studied for their function through the available literature. Selected genes known to play a role in disease resistance mechanisms were shortlisted and considered as potential candidate genes. The retrieved potential candidate genes were further submitted to the ‘Wheat Expression Browser-expVIP’ (expression Visualization and Integration Platform) (http://www.wheat-expression.com) for in-silico gene expression analysis47,48.
Results
Phenotypic evaluation and categorization of the accessions
Best linear unbiased predictor (BLUP) values were calculated for each of the two environments (E1 and E2) and across combined environment (CE) using Meta-R program V.6.0 in order to eliminate the environmental effect49. The frequency distribution of the phenotypic data of the two environments and combined (E1, E2 and CE) values are represented using violin plots (Fig. 1). The distribution of cysts count in the violin plot indicated a high range of variation for nematode infection across the accessions. The mean value for cysts count ranged in between 3 to 27 cysts/plant.
Violin plots of the distribution of cysts count in environment one (E1), environment two (E2) and the combined environment (CE). The vertical solid bar indicates the range of average values, and median is shown as a white circle, depicting the lower, medium and upper quartile.
Based on the BLUP values of the cysts from each plant, wheat accessions were categorized into five categories as resistant, moderately resistant, moderately susceptible, susceptible, and highly susceptible (Supplementary Table S2). Seven accessions namely TRI10703, NovaBanatka, NS74-95, Sonalika, ZG1011, TRI10704 and AlKanTzao had the lowest numbers of cysts count ranging from 3–4 categorized as resistant accessions. The three accessions namely TRI3570, TRI5332 and TRI4551 with cysts count ranging from 21 to 27 were considered highly susceptible. Another 53 accessions with cysts count ranging from 5 to 9 were categorized as moderately resistant. Set of 91 accessions with cysts count ranging from 10 to 14 were classified as moderately susceptible. The remaining 26 accessions were considered susceptible with cysts count from 15 to 19. The coefficient of variation (CV) and heritability (H2) was calculated as 37% and 93%, respectively (Supplementary Table S3). ANOVA results showed that the variations due to accessions and environments for the given trait were highly significant (Table 1).
Marker density and coverage on seven homoeologous chromosomes is shown in the Fig. 2. Maximum marker density was observed on B genome followed by A and D genomes. Also, within the chromosome, the highest number of markers was found on 2B while 4D chromosome have the lowest number of markers (Fig. 2). Sub-genome D has less coverage due to its lower contribution to hexaploid wheat diversity. Additionally, the peri-centromeric regions have low coverage, which is a common observation and is attributed to their low diversity50,51,52. Nevertheless, this may indicate that some regions of the genome remain uncovered, suggesting that a genome-sequence based approach such as exome-capture would be more appropriate.
SNP density plot of the distribution of SNPs across all seven homoeologous chromosomes of wheat. The horizontal axis shows the length of the chromosome (cM); the SNP density is depicted by different colours.
Population structure analysis
A PCA based test to check for the existence of possible clustering among accessions was performed (Fig. 3). Similar to a previous study38 majority of winter wheat accessions were clustered together with absence of further sub-clustering. Two separate clusters were found for spring wheat accessions. European spring wheat accessions were mostly clustered together. Similarly, population structure analysis revealed K = 3 (Supplementary Table S4) structuring as given in Supplementary Fig. S1a based on Delta K-value (Supplementary Fig. S1b).
Principal component analysis (PCA) of 180 (100 spring and 80 winter) wheat accessions. The horizontal and vertical coordinates represent PC1 (with variance explained 5.69%) and PC2 (with variance explained 5.24%). Each dot represents a single accession. Spring and winter accessions are depicted by blue and red coloured dots respectively.
Linkage disequilibrium (LD) assessment
The intra-chromosomal and genome-wide linkage disequilibrium assessment performed using adjacent (pair-wise) SNP loci clearly revealed rapid LD decay with the increasing genetic map distances. Estimated linkage disequilibrium across each chromosome and whole genome are shown in the Supplementary Figs. S2a, b.
Genome-wide association analysis
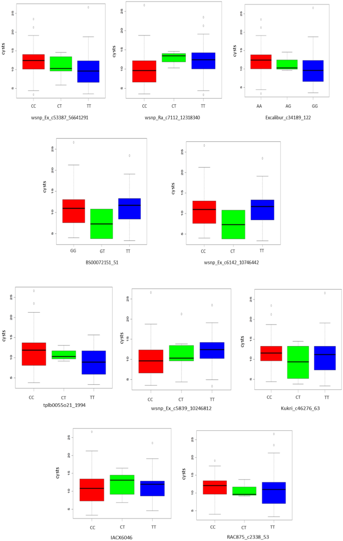
Significant MTAs detected through different GWAS models were shown using circular Manhattan plot (Fig. 4a). Q–Q plots obtained for SNP results showed that the distribution of observed associations (p-values) were quite close to the distribution of the expected associations (Fig. 4b). In total, 11 significant MTAs were detected through GWAS analysis of 180 wheat accessions (winter and spring growth habits) under combined environment (CE) of E1 and E2 (Table 2; Supplementary Table S5). These 11 MTAs were identified on chromosomes 7A, 6A, 6B, 3B, and 5B. The total phenotypic variance for the identified MTAs ranged from 2 to 16% (Table 2). The physical position of one of the highly significant unmapped MTA (wsnp_Ex_c5839_10246812) was obtained by performing simple BLAST of SNP sequence against the wheat genome sequence (IWGSC). This MTA was mapped on chromosome 7A. One of the significant MTA namely “wsnp_Ex_c53387_56641291” was detected in all environments and considered to be stable. Additionally, significant MTAs detected by more than one method suggest authenticity of these MTAs (Table 2; Supplementary Table S6). The allelic effect of the identified MTAs (10 out of 11) ranged from 1.06 to 1.40 (Table 2; Fig. 5) An allele leading to a decrease in cysts count was considered to be favorable alleles whereas unfavorable alleles were involved in increasing the cysts count.
(a) Circular Manhattan plot representation of four different models used for GWAS analysis (i) BLINK, (ii) FarmCPU, (iii) MLM and (iv) MLMM (b) Combined QQ-plot of the observed and the expected p-values using different GWAS models.
Boxplots showing the allelic effect of ten significant MTAs identified using all 180 wheat accessions and combined environment data, contributing to resistance or susceptibility for H. avenae. X-axis representing the marker name and alleles, Y-axis describes the cysts count.
Physical positions of all 11 MTAs were compared with the previously identified genes/QTLs/MTAs for H. avenae resistance resulting in the detection of MTAs either in vicinity or coinciding with genes/QTLs/MTAs already known for H. avenae resistance (Fig. 6).
Chromosome maps showing MTAs detected in the present study and genes/QTLs/MTAs of H. avenae reported in the previous studies. The MTAs detected in the present study are depicted in red font. Markers associated with previously reported genes/QTLs/MTAs for H. avenae are shown in blue coloured font. The designated genes/QTLs associated with the markers are shown in black coloured font. Superscript a: represents the QTL, QCre.pau-2A linked to marker Xwmc382 and superscript b: represents the QTL, QCre-ma2A linked to marker BARC1138 and BS00163573 respectively.
Identification and in-silico expression analysis of putative candidate genes
Out of 11, only ten MTAs located on different chromosomes were linked to putative candidate genes (Supplementary Table S7). No hit was found for MTA BS00072151_51 located on the chromosome 3B. We identified a total of 33 putative candidate genes for ten significant MTAs associated with H. avenae resistance (Supplementary Table S7); only 17 of these candidate genes, including F-box like domain superfamily, ankyrin repeat-containing domain, wall-associated receptor kinase galacturonan-binding, coiled-coil domain, serine threonine kinases domain, WD40s, Zinc finger RING/FYVE/PHD-type, etc., have a putative role in disease resistance (Supplementary Table S8). In-silico gene expression analysis of these genes from WheatExp database showed that majority of these genes were found to be differentially expressed in wheat roots (Fig. 7; Supplementary Table S8).
Expression profiles of candidate genes obtained in 180 wheat accessions under CE (combined environment) in wheat roots. Blue, white and red indicate low, medium, and high expression, respectively.
Discussion
Identification of natural source of resistance against different PPNs is probably one of the most environment friendly and economically feasible method to identify sources of resistance against H. avenae in wheat. Very limited QTL mapping and GWAS studies have been performed in the past to identify the source of resistance against H. avenae in wheat14,28,31,32,37,53,54. However, bi-parental mapping population suffers from limited resolution and sourced few alleles. Association mapping on the other hand is more efficient as it has higher resolution mainly due to many historical meiotic recombination events. In recent years, numerous algorithms and software have been developed to improve statistical power, computational efficiency, and to reduce false associations in the GWAS approach55. The present study is focused on the identification of novel genetic sources of resistance to H. avenae in wheat through GWAS approach. High variation was found for cyst counts (3–27 cysts/plant) across the screened wheat accessions which are in accordance with the results obtained by Dababat et al.37.
In the present study, clustering was observed in European spring wheat accessions that could be due to their local adaptation in Europe. It is not surprising, however, given that spring wheat is a major crop in other parts of the world, such as South–East Asia, where spring wheat is planted in the winter. LD analysis identified long-range LD (Supplementary Fig. S2a) with some marker pairs having larger LD values than others which is in accordance with the previous studies on European wheat germplasm50,51. Besides this, we found no preference for finding resistance in spring or winter accessions. As a result, we took the approach of using multiple GWAS model rather than a single model as robust in picking the signals confidently.
We identified 11 MTAs and some of these MTAs are located nearby to or co-localized with genes/QTLs/MTAs already known for H. avenae resistance as shown in the Fig. 6. On the distal end of the chromosome 6BL, a major gene Cre8 linked to marker Xgdm147 has been identified using a double-haploid (DH) population11,31. Cre8 is well known in imparting resistance against CCNs by reducing nematode counts11. The presence of Cre8 locus near the distal end of chromosome 6BL was further confirmed by using DArT, SSR, EST-based and SNP markers on same mapping population32. Seven molecular markers, closely linked with Cre8, were recommended for use in marker-assisted selection of the Cre8 resistance locus in wheat breeding32. In the present study, we also identified two significant MTAs (Tdurum_contig76116_469 and RAC875_c2338_53) on chromosome 6BL which are co-localized with the Cre8 gene (Fig. 6). This result further supports the previous finding where Cre8 associated genomic region decreased the cysts count significantly.
Short arm of chromosome 2A carries Cre5 gene, from Ae. ventricosa, that is very effective against H. avenae. This gene is widely known to confer resistance to H. avenae pathotypes worldwide like in France56, Australia18, Spain57, and to uncharacterized pathotypes from the Pacific Northwest (PNW) of the United States58. Cre5 is found to be linked with Xgwm359 (28 Mb) and Xwmc177 (33 Mb) markers31. Another QTL resistance to H. avenae was also detected on 2AS (QCre.pau-2A) in a 4.0 cM marker interval BE498358–Xwmc382 by Singh et al.54. Cui et al.33 also reported a QTL Qcre-ma2A conferring resistance to H. avenae, with flanking markers BARC1138 and BS00163573 on chromosome 2AS. It was found to be associated with the marker VRGA-F11/VRGA-R5, specifically for the 2NS translocation from Ae. ventricosa that harbours Cre5 59. The 2NS chromosome segment from Ae. ventricosa was transferred to the chromosome arm 2AS in VPM-1 wheat line56. Also, Qcre-ma2A is predicted to be Cre5 because the 2NS chromosomal segment that harbours Cre5 and other genes involved in disease resistance are from VPM-160. In the present study, we also identified a MTA (RAC875_c34757_180) on chromosome 2AS located close to Cre5 gene. However, significance level of this MTA is slightly below the threshold of -log10 (p-values) ≥ 3.0 that can be attributed to environmental effect. Two significant MTAs “IACX6046” and “tplb0055o21_1994” were observed close to the previously reported MTA wPt-3247 on 6A chromosome37.
The sequences of the SNP loci were mapped on available bread wheat reference sequence and 17 candidate genes having role in disease resistance were identified. Protein domains related to plant resistance mechanisms detected in the present study are: (i) F-Box proteins, (ii) Ankyrin repeat-containing domain, (iii) Coiled-coil (CC) domain, (iv) RING/FYVE/PHD-type Zinc finger, (v) Serine threonine kinases and (vi) WD40s. (Supplementary Table S7). F-box like domain is known to play vital role in plant responses to environmental stresses and plant defense responses61,62,63,64. The F-box protein such as COI1 has been known to implicate in jasmonate-regulated defense responses61,62,63,65. It was earlier reported that several ankyrin proteins in plants are strictly involved in protein–protein interactions and may also play vital roles in plant immunity66,67. YrU1 (a stripe rust resistance gene) from the diploid wheat (Triticum urartu) is an nucleotide-binding leucine-rich repeat receptor (NLR) and its ankyrin domain may get interacted with other NLR proteins or can act as an integrated decoy domain thereby interacting with the effector of the pathogen resulting in increasing plant immunity. Other ankyrin proteins such as ACD6 and BDA1 are positive regulators of salicylic acid (SA) signaling in defense responses68,69,70. Brown plant hopper-resistance gene BPH14, a CC-NB-LRR (CNL) gene has been found to confer resistance to brown plant hopper (BPH) and white-backed plant hopper (WBPH)71. Its structural and functional analysis indicates that the CC and NB (nucleotide binding) domains confer BPH resistance and activate SA signaling pathways. A putative RING/FYVE/PHD-type zinc finger gene is engaged in programmed cell death and also shows a resistant response against pests72. Receptor serine-threonine kinases (RSTK) generally interact with different other proteins and are involved in disease resistance73. TaWD40s were involved in responses to several stresses such as cold, heat, drought, and also powdery mildew infection74.
Conclusion
Current study identified 11 significant MTAs conferring H. avenae resistance in wheat. The wheat accessions showing resistant against CCN infection and significant MTAs provide valuable resources to CCN resistance wheat breeding programme. The next step is to develop high-throughput marker assay such as Kompetitive Allele Specific-PCR (KASP) from novel MTAs as well as MTAs overlapping with previously known QTLs. Genomic regions with MTAs detected in the present study and previously known QTLs/MTAs shall be targeted for H. avenae resistance breeding in wheat. Moreover, resistant MTAs that co-localized with genes like Cre5 and Cre8 may be more effective in transferring these genes to susceptible backgrounds. In a follow-up study we are generating large mapping populations from the identified novel regions for genetic cloning these CCN resistances.
Data availability
All the data generated or analysed during the current study were included in the manuscript and its additional files. The raw data is available from the corresponding author on reasonable request. The collection of plant materials used in current study complied with institutional, national, or international guidelines.
References
Regmi, K. C. et al. Improved yield and photosynthate partitioning in AVP1 expressing wheat (Triticum aestivum) plants. Front. Plant Sci. 11, 273 (2020).
FAOSTAT. https://www.fao.org/faostat/en/#data/QCL/visualize. Accessed 4 Dec 2022 (2022).
Cook, R. & Noel, G.R. Cyst nematodes: Globodera and Heterodera species. in Plant Resistance to Parasitic Nematodes (eds. Starr, J. L. et al.). 71–105 (CABI, 2002).
Nicol, J. M. Important Nematode Pests in Bread Wheat: Improvement and Production 345–366 (FAO Plant Production and Protection Series, 2002).
Nicol, J., Rivoal, R., Taylor, S. & Zaharieva, M. Global importance of cyst (Heterodera spp.) and lesion nematodes (Pratylenchus spp.) on cereals: Distribution, yield loss, use of host resistance and integration of molecular tools. in Proceedings of the Fourth International Congress of Nematology. 233–251 (2002).
Sasser, J. N. & Freckman, D. W. A world perspective on nematology: The role of the society. in Vistas on Nematology. (eds. Veech, J.A. & Dickson, D.W.). 7–14 (Society of Nematologists, 1987).
Smiley, R. W. & Nicol, J. M. Nematodes which challenge global wheat production. in Wheat Science and Trade (ed. Carver, B. F.). 171–187 (Wiley-Blackwell, 2009).
Smiley, R. W., Whittaker, R. G., Gourlie, J. A., Easley, S. A. & Ingham, R. E. Plant-parasitic nematodes associated with reduced wheat yield in Oregon: Heterodera avenae. J. Nematol. 37(3), 297–307 (2005).
Brown, R. H. & Kerry, B. R. Principles and Practice of Nematode Control in Crops (No. 632.65182 B7). (1987).
Smiley, R. W., Ingham, R. E., Uddin, W. & Cook, G. H. Crop sequences for managing cereal cyst nematode and fungal pathogens of winter wheat. Plant Dis. 78(12), 1142–1149 (1994).
Safari, E. et al. Impact of Cre1, Cre8 and Cre3 genes on cereal cyst nematode resistance in wheat. Theor. Appl. Genet. 110(3), 567–572 (2005).
Slootmaker, L. A., Lange, W., Jochemsen, G. & Schepers, J. Monosomic analysis in bread wheat of resistance to cereal root eelworm. Euphytica 23(3), 497–503 (1974).
O’Brien, P. C., Fisher, J. M. & Rathjen, A. J. Inheritance of resistance in two wheat cultivars to an Australian population of Heterodera avenae. Nematologica 26(1), 69–74 (1980).
Williams, K. J., Fisher, J. M. & Langridge, P. Identification of RFLP markers linked to the cereal cyst nematode resistance gene (Cre) in wheat. Theor. Appl. Genet. 89(7), 927–930 (1994).
Williams, K. J. et al. Mapping of a QTL contributing to cereal cyst nematode tolerance and resistance in wheat. Aust. J. Agric. Res. 54(8), 731–737 (2003).
Delibes, A. et al. Resistance to the cereal cyst nematode (Heterodera avenae Woll.) transferred from the wild grass Aegilops ventricosa to hexaploid wheat by a ‘“stepping-stone”’ procedure. Theor. Appl. Genet. 87(3), 402–408 (1993).
Jahier, J., Tanguy, A. M., Abelard, P. & Rivoal, R. Utilization of deletions to localize a gene for resistance to the cereal cyst nematode, Heterodera avenae, on an Aegilops ventricosa chromosome. Plant Breed. 115(4), 282–284 (1996).
Ogbonnaya, F. C. et al. Diagnostic DNA markers for cereal cyst nematode resistance in bread wheat. Aust. J. Agric. Res. 52(12), 1367–1374 (2001).
Eastwood, R. F., Lagudah, E. S., Appels, R., Hannah, M. & Kollmorgen, J. F. Triticum tauschii: A novel source of resistance to cereal cyst nematode (Heterodera avenae). Aust. J. Agric. Res. 42, 69–77 (1991).
Romero, M. D. et al. A cereal cyst nematode (Heterodera avenae Woll.) resistance gene transferred from Aegilops triuncialis to hexaploid wheat. Theor. Appl. Genet. 96(8), 1135–1140 (1998).
Asiedu, R., Fisher, J. M. & Driscoll, C. J. Resistance to Heterodera avenue in the rye genome of triticale. Theor. Appl. Genet. 79(3), 331–336 (1990).
Dundas, I. S., Frappell, D. E., Crack, D. M. & Fisher, J. M. Deletion mapping of a nematode resistance gene on rye chromosome 6R in wheat. Crop Sci. 41(6), 1771–1778 (2001).
Yu, M. Q., Jahier, J. & Person-Dedryver, F. Genetics of two mechanisms of resistance to Meloidogyne naasi (FRANKLIN) in an Aegilops variabilis Eig. accession. Euphytica 58(3), 267–273 (1991).
Jahier, J. et al. Transfer of genes for resistance to cereal cyst nematode from Aegilops variabilis Eig to wheat. J. Genet. Plant Breed. 52, 253–257 (1998).
Barloy, D. et al. Marker assisted pyramiding of two cereal cyst nematode resistance genes from Aegilops variabilis in wheat. Mol. Breed. 20, 31–40 (2007).
Bishnoi, S. P. Importance of cereal cyst nematode in Rajasthan, India and its control through breeding for resistance. in Cereal Cyst Nematodes: Status, Research and Outlook. Proceedings of the First Workshop of the International Cereal Cyst Nematode Initiative, Antalya, Turkey. 143–148 (2009).
Nicol, J. M. & Rivoal, R. Global knowledge and its application for the integrated control and management of nematodes on wheat. in Integrated Management and Biocontrol of Vegetable and Grain Crop Nematodes (eds. Ciancio, A. & Mukerji, K. G.). 251–294 (Springer, 2008).
Mulki, M. A. et al. Association mapping for soil borne pathogen resistance in synthetic hexaploid wheat. Mol. Breed. 31, 299–311 (2013).
Lewis, J. G., Matic, M. & McKay, A. C. Success of cereal cyst nematode resistance in Australia: history and status of resistance screening systems. in Cereal Cyst Nematodes: Status, Research and Outlook. Proceedings of the First Workshop of the International Cereal Cyst Nematode Initiative, Antalya, Turkey. 137–142 (2009).
Borevitz, J. O. & Nordborg, M. The impact of genomics on the study of natural variation in Arabidopsis. Plant Physiol. 132(2), 718–725 (2003).
Williams, K. J., Willsmore, K. L., Olson, S., Matic, M. & Kuchel, H. Mapping of a novel QTL for resistance to cereal cyst nematode in wheat. Theor. Appl. Genet. 112(8), 1480–1486 (2006).
Jayatilake, D. V. et al. Genetic mapping of the Cre8 locus for resistance against cereal cyst nematode (Heterodera avenae Woll.) in wheat. Mol. Breed. 35(2), 1–12 (2015).
Cui, L. et al. Resistance to Heterodera flipjevi and H. avenae in winter wheat is conferred by different QTL. Phytopathology 110, 472–482 (2020).
Pundir, S. et al. QTL mapping for resistance against cereal cyst nematode (Heterodera avenae Woll.) in wheat (Triticum aestivum L.). Sci. Rep. 12, 1–14 (2022).
Wang, S. X. et al. Genome-wide association study for grain yield and related traits in elite wheat varieties and advanced lines using SNP markers. PLoS ONE 12(11), e0188662 (2017).
Brachi, B., Morris, G. P. & Borevitz, J. O. Genome-wide association studies in plants: The missing heritability is in the field. Genome Biol. 12(10), 1–8 (2011).
Dababat, A. A. et al. Association analysis of resistance to cereal cyst nematodes (Heterodera avenae) and root lesion nematodes (Pratylenchus neglectus and P. thornei) in CIMMYT advanced spring wheat lines for semi-arid conditions. Breed. Sci. 66, 692–702 (2016).
Muqaddasi, Q. H., Brassac, J., Börner, A., Pillen, K. & Röder, M. S. Genetic architecture of anther extrusion in spring and winter wheat. Front. Plant Sci. 8, 754 (2017).
Neumann, K., Kobiljski, B., Denčić, S., Varshney, R. K. & Börner, A. Genome-wide association mapping: A case study in bread wheat (Triticum aestivum L.). Mol. Breed. 27(1), 37–58 (2011).
Wang, S. et al. Characterization of polyploid wheat genomic diversity using a high-density 90,000 single nucleotide polymorphism array. Plant Biotechnol. J. 12(6), 787–796 (2014).
Cobb, N. A. Estimating the Nema Population of Soil, with Special Reference to the Sugar-Beet and Root-Gall Nemas, Heterodera schachtii Schmidt and Heterodera radicicola (Greef) Müller: and with a Description of Tylencholaimus aequalis n. sp. (US Government Printing Office, 1918).
Dababat, A. A. et al. Resistance of winter wheat to Heterodera filipjevi in Turkey. Turk. J. Agric. For. 38(2), 180–186 (2014).
R Core Team 2016. R: A Language and Environment for Statistical Computing [Computer Software Manual]. (R Core Team, 2016).
Lipka, A. E. et al. GAPIT: Genome association and prediction integrated tool. Bioinformatics 28(18), 2397–2399 (2012).
Pritchard, J. K., Stephens, M. & Donnelly, P. Inference of population structure using multilocus genotype data. Genetics 155(2), 945–959 (2000).
Evanno, G., Regnaut, S. & Goudet, J. Detecting the number of clusters of individuals using the software STRUCTURE: A simulation study. Mol. Ecol. 14(8), 2611–2620 (2005).
Borrill, P., Ramirez-Gonzalez, R. & Uauy, C. expVIP: A customizable RNA-seq data analysis and visualization platform. Plant Physiol. 170, 2172–2186 (2016).
Ramirez-Gonzalez, R. H. et al. The transcriptional landscape of polyploid wheat. Science 361, 6403 (2018).
Alvarado, G. L. et al. META-R (Multi Environment Trail Analysis with R for Windows) Version 6.01 (CIMMYT Research Data & software Repository Network, 2017).
Mourad, A. M. I., Belamkar, V. & Baenziger, P. S. Molecular genetic analysis of spring wheat core collection using genetic diversity, population structure, and linkage disequilibrium. BMC Genomics 21, 434 (2020).
Aleksandrov, V. et al. Genetic diversity, linkage disequilibrium and population structure of Bulgarian bread wheat assessed by genome-wide distributed SNP markers: From old germplasm to semi-dwarf cultivars. Plants (Basel) 10(6), 1116 (2021).
Dadshani, S. et al. Detection of breeding signatures in wheat using a linkage disequilibrium-corrected mapping approach. Sci. Rep. 11, 5527 (2021).
Martin, E. M., Eastwood, R. F. & Ogbonnaya, F. C. Identification of microsatellite markers associated with the cereal cyst nematode resistance gene Cre3 in wheat. Aust. J. Agric. Res. 55(12), 1205–1211 (2004).
Singh, K. et al. Molecular mapping of cereal cyst nematode resistance in Triticum monococcum L. and its transfer to the genetic background of cultivated wheat. Euphytica 176(2), 213–222 (2010).
Li, J. et al. Genome-wide association studies for five forage quality-related traits in sorghum (Sorghum bicolor L.). Front. Plant Sci. 9, 1–8 (2018).
Jahier, J. et al. The Aegilops ventricosa segment on chromosome 2AS of the wheat cultivar ‘VPM1’carries the cereal cyst nematode resistance gene Cre5. Plant Breed. 120(2), 125–128 (2001).
Montes, M. J. et al. Biochemical and genetic studies of two Heterodera avenae resistance genes transferred from Aegilops ventricosa to wheat. Theor. Appl. Genet. 107(4), 611–618 (2003).
Smiley, R. W. et al. Spring wheat tolerance and resistance to Heterodera avenae in the Pacific Northwest. Plant Dis. 97, 590–600 (2013).
Seah, S., Miller, C., Sivasithamparam, K. & Lagudah, E. S. Root responses to cereal cyst nematode (Heterodera avenae) in hosts with different resistance genes. New Phytol. 146, 527–533 (2000).
Wu, L. F. et al. Characterization of resistance to the cereal cyst nematode in the soft white winter wheat ‘Madsen’. Plant Dis. 100(4), 679–685 (2016).
Xie, D. X., Feys, B. F., James, S., Nieto-Rostro, M. & Turner, J. G. COI1: An Arabidopsis gene required for jasmonate-regulated defense and fertility. Science 280(5366), 1091–1094 (1998).
Xu, L. et al. The SCFCOI1 ubiquitin-ligase complexes are required for jasmonate response in Arabidopsis. Plant Cell 14(8), 1919–1935 (2002).
Devoto, A. et al. Expression profiling reveals COI1 to be a key regulator of genes involved in wound-and methyl jasmonate-induced secondary metabolism, defence, and hormone interactions. Plant Mol. Biol. 58(4), 497–513 (2005).
Wang, P. et al. Mapping proteome-wide targets of protein kinases in plant stress responses. Proc. Natl. Acad. Sci. USA 117, 3270–3280 (2020).
Titarenko, E., Rojo, E., Leon, J. & Sanchez-Serrano, J. J. Jasmonic acid-dependent and-independent signaling pathways control wound-induced gene activation in Arabidopsis thaliana. Plant Physiol. 115(2), 817–826 (1997).
Li, J., Mahajan, A. & Tsai, M. D. Ankyrin repeat: A unique motif mediating protein-protein interactions. Biochemistry 45(51), 15168–15178 (2006).
Vo, K. T. X. et al. Molecular insights into the function of ankyrin proteins in plants. J. Plant Biol. 58, 271–284 (2015).
Lu, H., Rate, D. N., Song, J. T. & Greenberg, J. T. ACD6, a novel ankyrin protein, is a regulator and an effector of salicylic acid signaling in the Arabidopsis defense response. Plant Cell 15(10), 2408–2420 (2003).
Yang, Y. et al. The ankyrin-repeat transmembrane protein BDA1 functions downstream of the receptor-like protein SNC2 to regulate plant immunity. Plant Physiol. 159, 1857–1865 (2012).
Todesco, M. et al. Activation of the Arabidopsis thaliana immune system by combinations of common ACD6 alleles. PLoS Genet. 10(7), e1004459 (2014).
Du, B. et al. Identification and characterization of Bph14, a gene conferring resistance to brown planthopper in rice. Proc. Natl. Acad. Sci. 106(52), 22163–22168 (2009).
Pariyar, S. R. et al. Genome-wide association study in wheat identifies resistance to the cereal cyst nematode Heterodera filipjevi. Phytopathology 106(10), 1128–1138 (2016).
Goring, D. R. & Walker, J. C. Self-rejection-a new kinase connection. Science 303(5663), 1474–1475 (2004).
Hu, R. et al. Genome-wide identification and analysis of WD40 proteins in wheat (Triticum aestivum L.). BMC Genomics 19(1), 1–13 (2018).
Funding
The research was supported by the funds provided by the Department of Biotechnology (DBT), Govt. of India in the form of Ramalingaswami Re-entry fellowship project (BT/RLF/Re-entry/34/2015; award BT/HRD/35/02/2006) to Shailendra Sharma.
Author information
Authors and Affiliations
Contributions
S.S. conceived the research idea. Shiveta Sharma, D.C. and V.K.S. performed analysis part. D.C., S.P., D.K. and V.K.S. performed experiments. D.C., S.P., D.K., V.K.S., R.S and M.S. Röder contributed to writing of the manuscript. The manuscript was read and revised by all authors and finalized by S.S.
Corresponding author
Ethics declarations
Competing interests
The authors declare no competing interests.
Additional information
Publisher's note
Springer Nature remains neutral with regard to jurisdictional claims in published maps and institutional affiliations.
Supplementary Information
Rights and permissions
Open Access This article is licensed under a Creative Commons Attribution 4.0 International License, which permits use, sharing, adaptation, distribution and reproduction in any medium or format, as long as you give appropriate credit to the original author(s) and the source, provide a link to the Creative Commons licence, and indicate if changes were made. The images or other third party material in this article are included in the article's Creative Commons licence, unless indicated otherwise in a credit line to the material. If material is not included in the article's Creative Commons licence and your intended use is not permitted by statutory regulation or exceeds the permitted use, you will need to obtain permission directly from the copyright holder. To view a copy of this licence, visit http://creativecommons.org/licenses/by/4.0/.
About this article
Cite this article
Chaturvedi, D., Pundir, S., Singh, V.K. et al. Identification of genomic regions associated with cereal cyst nematode (Heterodera avenae Woll.) resistance in spring and winter wheat. Sci Rep 13, 5916 (2023). https://doi.org/10.1038/s41598-023-32737-8
Received:
Accepted:
Published:
Version of record:
DOI: https://doi.org/10.1038/s41598-023-32737-8
This article is cited by
-
Advances, challenges and prospects of holistic Multi-Omic approaches for enhanced protection against parasitic nematodes in food crops
Plant and Soil (2026)
-
Comprehensive analysis of genomic loci associated with glaucousness in wheat (Triticum aestivum L.) through Genome-wide association study
Physiology and Molecular Biology of Plants (2025)
-
Genome-Wide Association Mapping of Prostrate/Erect Growth Habit and Other Yield Related Traits in Spring Wheat (Triticum aestivum L.)
Plant Molecular Biology Reporter (2025)
-
Mapping of QTLs and meta-QTLs for Heterodera avenae Woll. resistance in common wheat (Triticum aestivum L.)
BMC Plant Biology (2023)









