Figure 2
From: First designing of a silicene-based optical MOSFET with outstanding performance

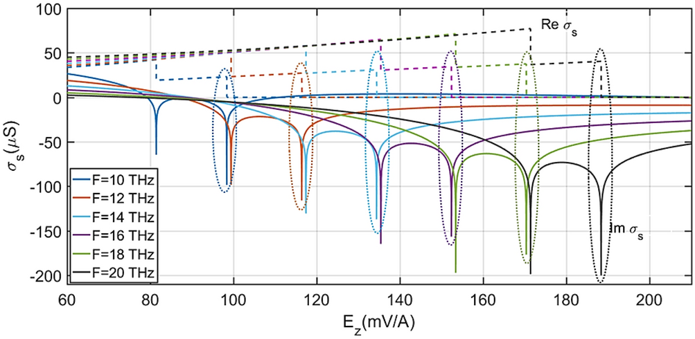
Variations of real and imaginary parts of silicene surface conductivity as a function of Ez for different frequencies. The graphs with dotted and solid lines show the real and imaginary parts, respectively.