Abstract
Meteorological conditions and irrigation amounts are key factors that affect crop growth processes. Typically, crop growth and development are modeled as a function of time or growing degree days (GDD). Although the most important component of GDD is temperature, it can vary significantly year to year while also gradually shifting due to climate changes. However, cotton is highly sensitive to various meteorological factors, and reference crop evapotranspiration (ETO) integrates the primary meteorological factors responsible for global dryland extension and aridity changes. This paper constructs a cotton growth model using ETO, which improves the accuracy of crop growth simulation. Two cotton growth models based on the logistic model established using GDD or ETO as independent factors are evaluated in this paper. Additionally, this paper examines mathematical models that relate irrigation amount and irrigation water utilization efficiency (IWUE) to the maximum leaf area index (LAImax) and cotton yield, revealing some key findings. First, the model using cumulative reference crop evapotranspiration (CETO) as the independent variable is more accurate than the one using cumulative growing degree days. To better reflect the effects of meteorological conditions on cotton growth, this paper recommends using CETO as the independent variable to establish cotton growth models. Secondly, the maximum cotton yield is 7171.7 kg/ha when LAImax is 6.043 cm2/cm2, the corresponding required irrigation amount is 518.793 mm, and IWUE is 21.153 kg/(ha·mm). Future studies should consider multiple associated meteorological factors and use ETO crop growth models to simulate and predict crop growth and yield.
Similar content being viewed by others
Introduction
With rapid population growth in recent decades, the demand for grain and cash crops has been constantly increasing. To improve crop yield and quality, it is necessary to accurately describe crop growth processes and better control the nutritional factors required for crop growth. A precise understanding of the complex interactions between crops and their surrounding environments is important to predict how environmental conditions affect crop growth processes. Towards this goal, crop growth models have been developed to simulate crop growth and development using complex mathematical functions and modelling techniques1. These models can quantitatively and dynamically describe crop growth development and yield formation processes2, which is useful for assessing the impact of drought on future crop yields. Additionally, crop growth models can provide detailed estimations of crop status, including phenological status, leaf area index (LAI), and yield of specific crop types3. Furthermore, these models can predict crop yields as a function of soil conditions, weather, and management practices4. Therefore, crop growth models have become important tools for quantitatively evaluating the relationships among soil, weather, and vegetation, and for facilitating the timely regulation of crop growth, which has attracted widespread attention.
Crop growth models have simple forms and are convenient to use4, and can be employed to simulate crop growth processes to guide agricultural production. Some models have been adapted to crop breeding to simulate the effects of changes in morphological and physiological characteristics of crops, which helps to identify optimal phenotypes in different environments5. In addition, some models have been used to simulate crop growth processes, including the Gompertz6, Richards7, and logistic8,9 models. Pronk10 established a dynamic model of dry matter accumulation (D) and LAI based on the relationship between wheat and radiation-use efficiency, while Villegas11 used the logistic equation to establish a model of D of durum wheat based on the crop growth characteristics in a Mediterranean climate. Wang12 took the growing degree days (GDD) as the independent variable and simulated the dry matter accumulation process in grape fields using logistic, Richards, and Hoerl models. An evaluation of the model results showed that the simulated values using the logistic model were closest to the measured values, indicating that the logistic model was the most accurate.
Crop growth is influenced by many factors, including soil properties, meteorological conditions, nutritional status, and crop species13. While soil properties, nutritional status, and crop species can be easily adjusted, meteorological conditions cannot be controlled. They significantly impact agricultural production and show high spatial variability at regional and global scales. Numerous studies have explored the effects of climate variability on crop growth, development, and yield14,15. Generally, growth days, such as days after sowing, are used as the independent variable when establishing crop growth models16. However, because of differences in meteorological conditions, crop seeding time varies among regions. Furthermore, crop growth is strongly influenced by temperature17,18,19. Temperature plays a central role in the life cycles of crops, affecting growth, development, and yield20. Nevertheless, temperature is a highly variable factor that exhibits clear diurnal cycles. To investigate how diurnal variation in temperature affects crop growth stages, the concept of GDD was proposed as an ecosystem indicator21. GDD not only measures accumulated heat but also characterizes the crop growth processes and development in a fixed planting area22. GDD can be used to analyze thermal conditions under certain meteorological conditions, which can determine the optimal sowing date, growth period, and corresponding physiological growth characteristics of crops21. Therefore, some scholars have used GDD instead of time to establish crop growth models9,23,24. Logistic models based on GDD, rather than time, better describe the change processes in major crop growth indicators9,23,24,25,26. However, GDD does not directly reflect the impacts of solar radiation, air humidity, and wind speed on crops, nor does it accurately indicate the effects of high temperatures on crop growth.
Reference crop evapotranspiration (ETO), as the name suggests, is the evapotranspiration from a reference surface like well-watered grass. This value, when multiplied by the crop coefficient based on the crop and its growth stage, gives the value of crop evapotranspiration, which could be considered as the total water requirement, as such, is an important indicator of regional climate change and water cycle status27,28. ETO is calculated using the FAO-56 Penman–Monteith equation, which takes into account temperature, solar radiation, humidity, and wind speed29,30. The ETO has been shown to generally provide reasonable results under a variety of meteorology conditions. Compared to GDD, which primarily considers temperature, ETO can more comprehensively characterize changes in meteorology factors. This means that changes in climate variables due to the effects of global warming will be reflected in the ETO, so it is possible to comprehensively study how meteorology conditions affect crop growth processes at regional scales using ETO.
Cotton (Gossypium hirsutum L.) production has far-reaching influences on global economics and social development. Cotton is an important oilseed crop31 and one of the most important raw materials for natural textile fibers in the world. Recently, numerous scholars have established cotton growth logistic models based on either time or GDD. For example, Wang24 developed a cotton growth logistic model based on GDD, using the Xinjiang region as an example. Gao32 described the biomass accumulation process of main stem leaves, boll subtending leaves, capsule wall, and seed cotton weight using the logistic growth model, while Zhang16 used the logistic model to simulate the effects of planting densities and nitrogen rates on cotton biomass accumulation. Although many factors, such as the length of the growing season and soil moisture, affect cotton growth, cotton is especially sensitive to meteorological conditions20. Cotton production has gradually shifted to arid and semi-arid regions of the world since the 1950s, which are suitable for growing cotton33,34. Four main climate features are most important in cotton production: solar radiation, rainfall, humidity, and temperature35. Global warming has accelerated cotton growth and cotton phenology, and the cotton growing period has shortened36. Therefore, it is necessary to establish a new cotton growth model that comprehensively considers meteorological impacts on regional cotton growth processes. In this article, we develop a new cotton growth model based on ETO at the regional scale and evaluate its accuracy using experimental data collected from published papers. This new method can provide insights for analyzing regional cotton growth and its influencing parameters.
Materials and methods
Data sources
The cotton growth index data used in this study were obtained from previously published studies on cotton growth in China. The portion of the data used for analyzing the characteristics of cotton growth index in Xinjiang came from Wang24, and data from other regions are summarized in Table 1. The main cotton planting areas in China are concentrated in Central China, North China, and the Xinjiang region (Fig. 1). In Central China, the climate is characterized by cold winters and hot summers, with frequent drought and flooding. North China has a warm-temperate monsoon climate, with significant seasonal differences in temperature, precipitation, and evaporation. In Xinjiang, the climate is characterized by large temperature ranges throughout the year, low precipitation, and a dry continental climate. The sowing times for different varieties of cotton in different regions range from mid-April to mid-May, with harvest times from late September to late October.
Meteorological data were collected from the National Meteorological Information Center of the China Meteorological Data Service Center (http://data.cma.cn/) and the ERA5 hourly data on single levels from 1979 to present (https://doi.org/10.24381/cds.adbb2d47). The data were used to analyze the effects of meteorological conditions on regional cotton growth. Specifically, we collected data on temperature, solar radiation, humidity, wind speed, and precipitation. To collect cotton growth index data, we used the GetData Graph Digitizer to extract data directly from text or figures in published studies. More than three sets of data samples were selected from most regions, but a few areas had only 1–3 sets of data samples. Table 1 shows the sample sizes and data sources for cotton growth index data from in China, including North China and Central China region.
Data processing method and error analysis
All data were processed in Microsoft Office Excel (Microsoft Corporation) and MATLAB (MathWorks Inc., Natick, MA, USA) was used for model parameter calculation. ArcMap 10.5 was employed to generate the map of the study area. To address the potential errors or bad numbers that may have arisen during the data digitization process, we took the following methods to minimize their impact on our analysis: i) We carefully reviewed all digitized data points to check for any obvious outliers or inconsistencies, and corrected any that were identified. ii) We compared the digitized data with the original data source and conducted three repetitions of the same digitized data to ensure that there were no significant differences. Correlations were assessed using the R2, and the accuracy was evaluated through RMSE and RE, as follows:
where, xi is the independent variable; yi is the dependent variable; \(\overline{x}\) and \(\overline{y}\) represent the average values of xi and yi, respectively; mvi is the measured value; and cvi is the calculated value.
Mathematical model development and construction
Cotton growth model based on cumulative growing degree days
Every crop has biologically defined upper and lower temperature limits beyond which its growth and development can be adversely affected. For cotton, the upper and lower temperature limits are 40 ℃ and 10 ℃, respectively, as demonstrated by numerous studies24,45,46,47. Growing degree days (GDD) are a measure of heat accumulation used to estimate crop development and growth. In this study, we converted daily GDD data to cumulative GDD (CGDD) using the following equation:
where, CGDD is the cumulative growing degree days, ℃; Tavg is the mean daily temperature, ℃; and Tbase is the minimum daily temperature required for crop activity, ℃. McMaster and Wilhelm proposed a method for calculating Tavg48:
where, Tupper is the maximum temperature at which crop activities continue, ℃; Tx is the highest daily temperature, ℃; and Tn is the lowest daily temperature, ℃.
A logistic model describing plant height (H), leaf area index (LAI), and dry matter accumulation (D) of a crop using CGDD as the independent variable was established. Equations to calculate the relative change of indicators of H, LAI, and D are used to minimize the differences in cotton growth indicators caused by irrigation methods or soil conditions in different regions. The relative cotton growth index and CGDD are obtained using these corrected indicators. The logistic models between the relative CGDD (RCGDD) and relative H, relative LAI, and relative D, are expressed as:
where, RH is the relative plant height; H is the plant height, cm; Hmax is the theoretical maximum H, cm; RLAI is relative leaf area index; LAI is leaf area index, cm2/cm2; LAImax is the theoretical maximum LAI, cm2/cm2; RD is relative dry matter accumulation; D is dry matter accumulation, g/plant; Dmax is the theoretical maximum D, g/plant; RGDD is the relative CGDD; and a1, a2, a3, b1, b2, b3, and c2 are model fitting parameters. The maximum measured value of each index in a field experiment may not actually reach the maximum value, so we increased the values using multiplication factors (for example, Hmax was multiplied by an incremental factor of between 1.01 and 1.05) to reach the theoretical maximum value8,24.
Cotton growth model based on cumulative reference crop evapotranspiration
The crop growth model based on GDD only accounts for the effect of temperature on crop growth, but cotton growth is influenced by other meteorological factors as well. Therefore, using GDD alone is insufficient to accurately model cotton growth. Instead, we used reference evapotranspiration (ETO), which considers various meteorological conditions such as temperature, solar radiation, water vapor pressure, and wind speed. The Penman–Monteith method is a widely accepted method for calculating ETO, as it incorporates both physiological and meteorological parameters. We used the FAO-56 Penman–Monteith method, which is a standard and reliable approach used worldwide. To account for cumulative evapotranspiration over time, we calculated cumulative reference crop evapotranspiration (CETO) using daily ETO data and a specific equation.
where, Rn is the net radiation, MJ/m2/d; G is the soil heat flux, MJ/m2/d; \(\gamma\) is the psychrometric constant, kPa/°C; Δ represents the slope of the saturation vapor pressure versus temperature curve, kPa/°C; es-ea is the vapor pressure deficit, kPa; T is the average atmospheric temperature, °C; and u2 is the wind speed at approximately 2 m above ground level, m/s.
Thus, the logistic model with CETO as the independent variable is expressed as:
where, RCETo is relative CETO; and d1, d2, d3, e1, e2, e3, and f2 are model fitting parameters.
Model evaluation
Growth model of plant height
Plant height (H) is a useful indicator of crop growth and nutritional status49, and it is closely related to CGDD and CETO. Several studies have demonstrated that H can accurately estimate aboveground biomass and LAI of crops50,51. We analyzed the relationship between H and CGDD and CETO, using partial samples from different regions, as shown in Figs. 2 and 3. The growth curve of H for both indicators showed a similar "S" shape, indicating slow growth in the early stage, rapid growth in the middle, and slow growth in the later period. This pattern suggests that high temperatures and sufficient light promote rapid growth in the middle stage, whereas low temperatures and reduced sunshine in the later period lead to slower growth. In southern Xinjiang, H peaked at approximately 1800 ℃ CGDD and 600 mm CETO, while in northern Xinjiang, H peaked at around 1600 ℃ CGDD and 700 mm CETO. The difference in CGDD between southern and northern Xinjiang was mainly due to temperature, with low precipitation and high temperatures in the former and vice versa in the latter. In contrast, CETO reflects various meteorological conditions, and thus the difference in CETO between the two regions was smaller. This suggests that CETO is a more comprehensive indicator for regulating cotton H, as it considers multiple meteorological factors.
The characteristics of H change were similar across all regions, indicating a consistent pattern of growth regulation. To normalize the H change characteristics, we established relative logistic models of cotton RH with RCGDD and RCETo, using data from different regions. The RH change curves, along with the fitting results, are presented in Fig. 4 (P < 0.05). These models provide a useful framework for analyzing the effect of different meteorological conditions on cotton growth, and can be used to identify the optimal conditions for maximizing RH and other growth indicators. The RH model were established as follows:
Figure 4 shows the fitting results of RH of cotton based on CGDD and CETO in different regions, the R2 ≥ 0.866, indicating that the model had a good fit and high degree of precision. Moreover, it can be seen that the fitting result where RCETo was the independent variable is better than with RCGDD, and the discrete level of RCETo was smaller than that of RCGDD. Those experimental data that were not included in the modeling were used to further validate the model (Fig. 5 (A and B); R2 ≥ 0.891, RMSE ≤ 0.072, RE ≤ 0.970%). There was good agreement between the measured and calculated values of RH. These results clearly showed that the model with RCETo as the independent variable was more accurate than that with RCGDD.
Growth model characteristics of cotton leaf area index
As an important quantitative indicator of each growth stage of cotton, LAI plays a very important role in assessing growth status. The cotton LAI change processes with CGDD and CETO are shown in Figs. 6 and 7, respectively. The LAI increased with CGDD and CETO in the early cotton growth stage, but gradually decreased in the late growth period. Photothermal resources are highly important and cotton growth requires sufficient temperature and light. When the CGDD was about 1400 ℃, LAI reached its maximum value in Xinjiang. When the CGDD was about 1600 ℃, LAI reached its maximum value in Central China and North China. However, when CETO was used to describe the LAI growth process, the CETO values when the LAI reached its maximum in different regions varied greatly. This was because meteorological conditions varied greatly among regions, and while CGDD is only sensitive to temperature, CETO integrates many meteorological factors, which creates a more realistic predictor of the growth process of LAI. This further showed that replacing CGDD with CETO will improve the accuracy of a crop growth model.
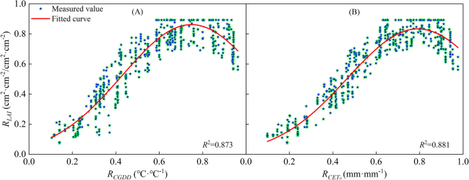
It can be seen from Figs. 6 and 7 that there were differences in the LAI among different regions due to varying conditions, such as soil fertility, irrigation, and fertilization systems. Despite these differences, the change trends in LAI remained consistent throughout the growth period. The change characteristics of the LAI were analyzed and compared in different regions to determine the universal change characteristics. Thus, logistic models of cotton RLAI related to RGDD and RCETo were established, as shown in Fig. 8. The curve's rate of change was relatively high in the early stages of cotton growth, indicating that appropriate meteorological conditions can significantly enhance leaf area growth during this period. The RLAI was fit to the models as shown in Fig. 8 (P < 0.05). The RLAI model was established as follows:
The based on CGDD and CETO model fitting and validation results are shown in Figs. 8 and 9, with R2 ≥ 0.778, RMSE ≤ 0.133, and RE ≤ 3.627%. The fitting effect when using RCETo as the independent variable was better than when using RCGDD, and the discrete level of RCETo was smaller than RCGDD. If \(\frac{{dR_{LAI} }}{{dR_{CGDD} }} = 0\), \(\frac{{dR_{LAI} }}{{dR_{{CET_{O} }} }} = 0\), we know that the RLAI maximum occurred when RCGDD and RCETo were 0.794 and 0.824, respectively. These results showed that RCGDD and RCETo were notably different when RLAI peaked, further indicating that CETO is a better indicator than CGDD.
Growth model characteristics of cotton dry matter accumulation
Crop yield is based on dry matter production, which is determined by nutrient absorption52. Dry matter accumulation is an essential indicator of cotton growth and is crucial for achieving high-quality and high-yielding cotton crops. The trends in the increase and decrease of cotton dry matter were similar among different regions. The rate of change of dry matter accumulation peaked when CGDD was between 700 and 1000 °C (Fig. 10) and CETO was between 200 and 500 mm (Fig. 11), during the budding stage, flowering stage, and boll development stage. During these stages, many leaves grew, and photosynthesis significantly increased due to sufficient temperature and light availability, leading to high cotton yields. Dry matter generally accumulated throughout the growing season, starting slowly during the seedling stage, gradually accelerating during the budding stage, peaking during the flowering to boll setting stages, and then stabilizing. However, due to the arid climate in Xinjiang, with high evaporation and little precipitation, dry matter accumulation peaked when CGDD was about 1900 °C and CETO was about 750 mm. The peak CGDD for dry matter accumulation was lower in Xinjiang than in Central China and North China, while the peak CETO was higher in Xinjiang than in Central China and North China.
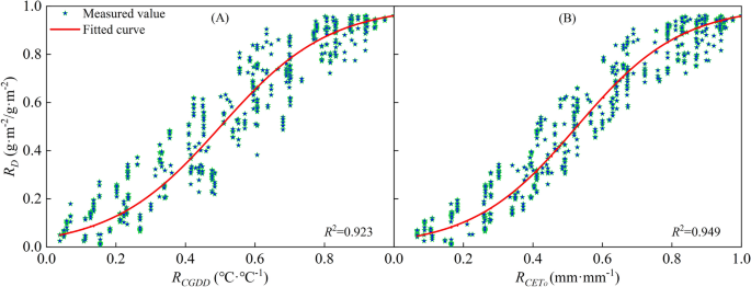
The change characteristics of the cotton D in separate regions were analyzed and compared to reveal the universal change characteristics of D. Thus, the logistic models of the change processes of cotton RD with RCGDD and RCETo were established, as shown in Fig. 12. The fitting result is shown in Fig. 12 (P < 0.05), with RD calculated using the following formulas:
The based on CGDD and CETO model fitting and validation results are shown in Figs. 12 and 13, with R2 ≥ 0.674, RMSE ≤ 0.138, and RE ≤ 4.069%. Similar to H and LAI, the fitting effect when using RCETo as the independent variable was better than that when using RCGDD, and the discrete level of the measured values was smaller than that of RCGDD. Therefore, by using RCETo as the independent variable, a cotton growth index model with more accurate fitting results can be established. Such a model reflects the cotton growth process more precisely.
Growth model comparison
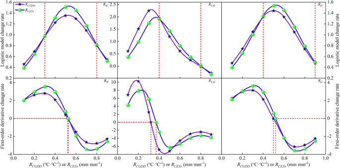
It can be seen from Fig. 14 that with the changes in RCGDD and RCETo, the rate of change in RLAI was greater than in RH and RD in the early stage of cotton growth. Conversely, the rate of change in RLAI was smaller than in RH and RD in the later stage of cotton growth. This proves that suitable meteorological conditions significantly impact the form of D in the later stages of cotton growth, during which the energy absorbed is mainly used for the growth of the cotton bolls. This growth pattern is similar to that of other crops, such as potatoes23 and rice9. The rate of change in the CETO-based model was greater than in the CGDD-based model in the middle and later stages of cotton growth. This could be attributed to the fact that cotton growth is sensitive to various meteorological conditions, such as solar radiation, temperature, humidity, etc., which are included in the CETO calculation process. This further demonstrates that CETO is preferable for describing the cotton growth process.
In addition, Eqs. (13)–(18) can be used to find the second derivative and obtain the change process of the first derivative function of the logistic model with RCGDD and RCETo. The figure shows that the change rate and inflection points based on the CGDD and CETO logistic models were different. Therefore, although the CGDD calculation is simple and the CETO calculation is complex, CETO should be used when modeling to ensure that the model reflects the impacts of meteorological conditions on cotton growth, which CGDD is unable to do.
Cotton boll growth relies on the contributions from all parts of the plant, as reflected by the growth indexes of H, LAI, and D. To comprehensively examine the effects of meteorological conditions on cotton growth and compare with traditional methods, we analyzed the impacts of CGDD and CETO on cotton H, LAI, and D. The results indicate that using CGDD alone to describe cotton growth yields a relatively simple relationship that does not fully reflect the impacts of meteorological conditions. Due to the spatial heterogeneity caused by meteorology conditions, cotton growth varies across regions, leading to spatial differences in yield. Therefore, it is crucial to consider meteorology conditions when describing the cotton growth process. Although differences in cotton H, LAI, and D, as well as irrigation water, directly affect yield, leaves are the main body for crop photosynthesis and transpiration. Therefore, further quantitative studies on the relationship between cotton LAI and yield, as well as irrigation water, are necessary.
Relationship of maximum leaf area index with cotton yield and irrigation amount
Cotton yield is determined by multiple factors, including LAI and irrigation water amount (W). Previous studies have reported that increasing leaf area contributes little towards yield, because dark respiration rate is enhanced correspondingly after leaf expansion, which was not conducive to biomass accumulation53. A suitable LAI or an suitable increase in crop LAI is required to achieve higher yields. In particular, higher yields are related to the sustained photosynthetic activity of leaves. Therefore, it is important to establish the relationship of LAImax with Y and W to understand cotton yields (Fig. 15). The LAImax range was divided into seven categories (2–3, 3–4, 4–5, 5–6, 6–7, 7–8, and 8–9), and the W range was divided into six categories (400–450, 450–500, 500–550, 559–600, 600–650, and 650–700 mm). The average LAImax and W were calculated for each category.
The relationship of LAImax with Y and W can be described by the quadratic polynomial functions:
The R2 of the fitted curves of LAImax with Y and W with LAImax were determined to be 0.888 and 0.841, respectively. The first-order derivative of Eq. (19) was 0, while Y was maximized (7171.7 kg/ha) for LAImax values of 6.043 cm2/cm2. Similarly, the first-order derivative of Eq. (20) was 0 with a LAImax of 4.938 cm2/cm2, which corresponded to a W of 573.541 mm. The results suggested that if LAImax values were close to 6.043 cm2/cm2, the cotton yield would be higher.
Figure 16 presents the validation results from the comparison of measured and calculated values. The results of the Y and LAImax validations revealed R2 values of 0.791 and 0.704; RMSE values of 82.06 kg/ha and 0.404 cm2/cm2; and RE values of 0.014% and 0.431%, respectively.
Crop irrigation water utilization efficiency (IWUE) is a comprehensive physiological ecological index used to evaluate the degree of crop growth by examining the relationship between crop irrigation amount and yield. The IWUE is calculated as follows:
We can then obtain Eq. (22) by combining Eqs. (19)–(21). Therefore, the IWUE can be calculated from W. Figure 17 presents the validation results of the measured and calculated values. The R2, RMSE, and RE were determined to be 0.701, 0.972 kg/(ha·mm), and 0.299%, respectively.
Discussion
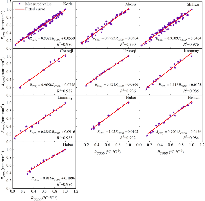
This study demonstrates the important roles that CGDD and CETO play in simulating crop growth, and highlights the need to investigate the relationship between them. Su28 conducted an analysis of CGDD trends and the correlation between CGDD and CETO in the Turpan area of China. Their findings indicate a strong correlation between RCGDD and RCETo, and suggest that a cubic polynomial function (Eq. (23), Fig. 18 (A)) can accurately describe the relationship between grape budding and maturity.
The logistic growth model can be expressed as follows:
where g, h, k, and l are model fitting parameters; y1 is cotton H or D; and y2 is cotton LAI.
However, the cubic polynomial function has many parameters and complex forms, making it difficult to calculate when performing the equation transformation. In this study, we found that the relationship between RCGDD and RCETo of different regions can be approximated using a linear function (Eq. (25), Fig. 18B). The linear function has fewer parameters, so it is simpler in form and easier to calculate. The linear relationship function between RCGDD and RCETo uses RCGDD as the independent variable as follows:
where m and n are model fitting parameters.
Combining Eqs. (6) –(8), Eqs. (10) –(12), and Eq. (25), the relationship between the model parameters d1, d2, d3, e1, e2, e3, and f2 and a1, a2, a3, b1, b2, b3, and c2 can be expressed as:
Likewise:
We used the equations to simulate the relationship between RCGDD and RCETo in each region and presented the results in Fig. 19. The fitting effect had an R2 ≥ 0.976, and we obtained the values of parameters m and n for each region. Table 2 shows the validation of parameters d1, d2, d3, e1, e2, e3, and f2, which were calculated using Eqs. (26)–(34) to fit different regions. The validation of the model parameters H and D showed a good fit with RE < 0.10. However, the LAI model parameter validation showed unsatisfactory results. We used the modified logistic model to simulate the LAI change process, but this model was not well-suited for the task due to the quadratic polynomial exponential term exp, which increased the possibility of error during equation transformation. Nonetheless, it is possible to approximately calculate parameters d, e, and f from parameters a, b, and c for convenient calculations or situations where meteorological data are lacking to simulate the crop growth process.
Climate suitability is an important ecological characteristic for crops and forms the basis of the distribution of crop production54. Cotton is sensitive to climate variability and is unable to resist damage caused by drought and cold55. Numerous studies have reported quantitative predictions of the impact of future climate change on cotton production56,57,58,59,60. These studies generally predict major changes in the trends of cotton production under future climate scenarios, and describe how cotton agricultural production can respond and adapt to climate change. However, discrepancies among research methods (such as crop models, climate models, and climate scenarios) create uncertainties regarding the extent and severity of the impacts that future climate change will have on cotton yields. Therefore, future research should focus on quantitatively exploring the relationship between climate change and cotton growth process.
Many mathematical models have been used to describe crop growth processes, such as the Logistic, Richards, Gompertz, Hoerl, and others. However, previous research has shown that the Logistic model has a better fitting effect when using time or CGDD as independent variables11,12. While many studies have quantitatively analyzed the impact of CGDD on crop growth, including for winter wheat8, rice9, cotton24, potato23, maize61, and watermelon26. It is important to note that these models have some limitations, as CGDD considers only a few meteorological factors, such as the highest daily temperature and the lowest daily temperature. However, meteorology factors such as temperature, wind, rainfall, relative humidity, and sunshine duration significantly affect the production of cotton flowers and bolls20. For instance, temperature is the most critical meteorology factor that affects cotton yield, and heat stress can lead to reduced fruit retention, delayed crop maturity, and lower lint quality. Strong winds may also cause boll shedding, thereby reducing yield. Additionally, continuous rainfall during flowering and boll opening can impair pollination and potentially reduce fiber quality31. Moreover, climate change is a crucial issue worldwide, and its negative effects on cotton growth and development can result from an increased number and severity of days with very high temperatures during the cotton season. These events can lower cotton yields by decreasing daily photosynthesis and, at times, raising respiration at night20,31,56,57. Further research is necessary to comprehensively consider these factors when simulating cotton growth. In this study, we present a new cotton growth model that try to overcomes some of these limitations and demonstrate its superiority over existing models through comparison and analysis. Specifically, we use the CETO, which comprehensively considers meteorology conditions such as local solar radiation, humidity, temperature, and wind speed. Our results showed that the CETO-based logistic model more accurately described the cotton growth process compared with the CGDD-based model. We deeply evaluated both CETO and CGDD as effective predictors when simulating crop growth processes. In future studies, we plan to make further improvements to this method and expand our research to other crops. These research results and the constructed mathematical models can provide a scientific basis for improving agricultural production efficiency while also contributing to the improvement and development of crop growth models.
Conclusion
To provide a more accurate description of the effects of climate change on cotton growth, this paper proposes a novel logistic cotton growth model that uses CETO instead of CGDD as the independent variable. Although crop growth and yields varied significantly across different regions and years, the overall trends in their developments throughout the year remained consistent. A comparison between models using CETO and CGDD as independent variables tested the precision of the former in simulating crop growth. The results showed that CETO can comprehensively reflect the impacts of meteorological factors on cotton growth and more accurately describe the cotton growth process. Additionally, this study established mathematical models relating cotton LAImax to Y and W. When cotton Y reached its maximum value of 7171.7 kg/ha, the value of LAImax was 6.043 cm2/cm2. The required W was 518.793 mm, and the IWUE was 21.153 kg/(ha·mm). In the future, more attention should be paid to the impacts of meteorological conditions and irrigation on crop growth.
Data availability
The datasets generated and/or analysed during the current study are available from the corresponding author on reasonable request.
References
Marcelis, L. F. M., Heuvelink, E. & Goudriaan, J. Modelling biomass production and yield of horticultural crops: A review. Sci. Hortic. 74, 83–111 (1998).
Ewert, F. et al. Crop modelling for integrated assessment of risk to food production from climate change. Environ. Model. Softw. 72, 287–303 (2015).
Atsushi, M. & Tsuneo, K. Coupling land surface and crop growth models to estimate the effects of changes in the growing season on energy balance and water use of rice paddies. Agric. For. Meteorol. 150, 919–930 (2020).
César Trejo Zúñiga, E., López Cruz, I. L. & García, A. R. Parameter estimation for crop growth model using evolutionary and bio-inspired algorithms. Appl. Soft Comput. 23, 474–482 (2014).
Chalabi, Z. & Zhou, W. W. Optimal control methods for agricultural system. Acta Hortic. 406, 221–228 (1996).
Akao, S. et al. Effects of cultivation period on catch crop chemical composition and potential for bioenergy production. Ind. Crops Prod. 111, 787–793 (2018).
Chen, S. L., Li, Y. R., Xu, G. Z. & Cheng, Z. S. Simulation on oil accumulation characteristics in different high-oil peanut varieties. Acta Agron. Sin. 34, 142–149 (2008).
Liu, Y. H. et al. Comprehensive and quantitative analysis of growth characteristics of winter wheat in China based on growing degree days. Adv. Agron. 159, 237–273 (2020).
Su, L. J., Liu, Y. H. & Wang, Q. J. Rice growth model in China based on growing degree days. Trans. Chin. Soc. Agric. Eng. 36, 162–174 (2020).
Pronk, A. A., Heuvelink, E. & Challa, H. Dry mass production and leaf area development of field-grown ornamental conifers: Measurements and simulation. Agric. Syst. 78, 337–353 (2003).
Villegas, D., Aparicio, N., Blanco, R. & Poyo, C. Biomass accumulation and main stem elongation of durum wheat grown under Mediterranean conditions. Annals Bot. 88, 617–627 (2001).
Wang, Y. J., Zhang, J. H., Wang, Q. J., Su, L. J. & Feng, J. Comparative analysis of growth models of aboveground dry biomass of grape. Agric. Res. Arid Areas 31, 257–263 (2013).
Elnesr, M. N., Alazba, A. A. & Alsadon, A. A. An arithmetic method to determine the most suitable planting dates for vegetables. Comput. Electron. Agric. 90, 131–143 (2013).
Cammarano, D. & Tian, D. The effects of projected climate and climate extremes on a winter and summer crop in the southeast USA. Agric. For. Meteorol. 248, 109–118 (2018).
Prabnakorn, S., Maskey, S., Suryadi, F. X. & De Fraiture, C. Rice yield in response to climate trends and drought index in the Mun River Basin Thailand. Sci. Total Environ. 621, 108–119 (2018).
Zhang, Z. et al. Nitrogen reduction in high plant density cotton is feasible due to quicker biomass accumulation. Ind. Crops Prod. 172, 114070 (2021).
Guan, B. T., Chung, C. H., Lin, S. T. & Shen, C. W. Quantifying height growth and monthly growing degree days relationship of plantation Taiwan spruce. For. Ecol. Manag. 257, 2270–2276 (2009).
Undersander, D. J. & Christiansen, S. Interactions of water variables and growing degree days on heading phase of winter wheat. Agric. For. Meteorol. 38, 169–180 (1986).
Van Delden, A., Kropff, M. J. & Haverkort, A. J. Modeling temperature and radiation-driven leaf area expansion in the contrasting crops potato and wheat. Field Crops Res. 72, 119–142 (2001).
Sawan, Z. M. Climatic variables: Evaporation, sunshine, relative humidity, soil and air temperature and its adverse effects on cotton production. Inf. Process. Agric. 5, 134–148 (2018).
Anandhi, A. Growing degree days-ecosystem indicator for changing diurnal temperatures and their impact on corn growth stages in Kansas. Ecol. Indic. 61, 149–158 (2016).
Hinchliffe, D. J., Meredith, W. R., Delhom, C. D., Thibodeaux, D. P. & Fang, D. D. Elevated growing degree days influence transition stage timing during cotton fiber development resulting in increased fiber-bundle strength. Crop Sci. 51, 1683 (2011).
Wang, Q. J., Lin, S. D. & Su, L. J. Quantitative analysis of response of potato main growth index to growing degree days. Trans. Chin. Soc. Agric. Mach. 51, 306–316 (2020).
Wang, K., Su, L. J. & Wang, Q. J. Cotton growth model under drip irrigation with film mulching: A case study of Xinjiang China. Agron. J. 113, 2417–2436 (2021).
Wang, Q. J., Liu, Y. H. & Su, L. J. Relative leaf area index of typical crops based on single parameter logistic model. Trans. Chin. Soc. Agric. Mach. 51, 210–219 (2020).
Zhen, J., Cai, H.J., Wang, J. & Wang, Y. (2011) Study on greenhouse mini-watermelon biomass accumulation model based on logistic model. Water Saving Irrigation. 12−14
Jung, M. et al. Recent decline in the global land evapotranspiration trend due to limited moisture supply. Nature 467, 951–954 (2010).
Su, L. J., Wang, Q. J. & Bai, Y. G. An analysis of yearly trends in growing degree days and the relationship between growing degree day values and reference evapotranspiration in Turpan area China. Theor. Appl. Climatol. 113, 711–724 (2013).
Allen, R.G., Pereira, L.S., Raes, D. & Smith, M. Crop evapotranspiration-guideline for computing crop water requirement-FAO irrigation and drainage paper No. 56. food and agriculture organisation, Italy (1998).
Penman, H. L. Natural evaporation from open water, bare soil and grass. Proceed. R. Soc. London 193, 120–145 (1948).
Cetin, O. & Basbag, S. Effects of climatic factors on cotton production in semi-arid regions-A review. Res. Crops 11, 785–791 (2010).
Gao, H. Y. et al. Improving boll capsule wall, subtending leaves anatomy and photosynthetic capacity can increase seed cotton yield under limited drip irrigation systems. Ind. Crops Prod. 161, 113214 (2021).
Bange, M. P., Caton, S. J. & Milroy, S. P. Managing yields of high fruit retention in transgenic cotton (Gossypium hirsutum L) using sowing date. Aust. J. Agric. Res. 59, 733–741 (2008).
Luo, Q., Michael, B. & Loretta, C. Cotton crop phenology in a new temperature regime. Ecol. Model. 285, 22–29 (2014).
Blanc, E., Quirion, P. & Strobl, E. The climatic determinants of cotton yields: Evidence from a plot in West Africa. Agric. For. Meteorol. 148, 1093–1100 (2018).
Li, N. et al. Impact of climate change on cotton growth and yields in Xinjiang China. Field Crops Res. 247, 107590 (2019).
Han, Q. C. et al. Effects of different tillage methods on the growth and development of cotton. J. Hebei Agric. Sci. 18, 7–9 (2014).
He, K. L. et al. Effect of cotton planting density on the estimation of leaf area index using the LAI-2200 plant canopy analyzer. Crops 5, 123–127 (2015).
Ma, Z. B. et al. Effects of split nitrogen fertilization on physiological characteristics of leaves, dry matter accumulation and yield of cotton cultivated in the Yellow River bottomland. J. Plant Nutr. Fertil. 19, 1092–1101 (2013).
Si, Z. Y. et al. Effects of water and nitrogen fertilizer on growth characteristics and yield of fertigated-summer cotton. J. Irrig. Drain. 35, 19–25 (2016).
Jin, Y.N. et al. Effects of soil potassium level on photosynthesis and yield of different maturity cotton varieties. Soil Fertil. Sci. China 212–219 (2021).
Yan, M., Wang, H.H., Wang, Z.S. & Zhong, K. Effects of different interlanguage patterns on cotton and peanut growth and development. Liaon. Agric. Sci. 15–18 (2014).
Meng, Q. Z., Song, Z. H., Zhang, T., Zhang, S. X. & Li, G. R. Effects of different cultivation patterns on physiological characters and yield of KB02F1. Hubei Agric. Sci. 53, 5943–5945 (2014).
Xu, D., Wang, P., Chu, S. H. & Li, R. H. Effects of wheat straws under high dosage on growth and yield formation of cotton. J. South. Agric. 52, 1191–1197 (2021).
Keremu, G. & Menglaishi, K.A. Effect of high temperature weather on cotton flowering and boll period in Yuli county in 2015 and its preventive measures. Xinjiang Agric. Sci. Technol. 30−31 (2016).
Liu, W., Wang, E.L. & Han, X.L. Preliminary study on computer simulation model of cotton growth and development. Chin. J. Agrometeorol. 10−16 (1992).
Liu, Q. C., Qian, H. S., Ren, Y. H. & Jiao, S. X. Temperature suitability of cotton and its changes in Henan province resources science. Res. Sci. 26, 51–56 (2004).
McMaster, G. S. & Wilhelm, W. W. Growing degree-days: One equation, two interpretations. Agric. For. Meteorol. 87, 291–300 (1997).
Watanabe, K. et al. High-throughput phenotyping of sorghum plant height using an unmanned aerial vehicle and its application to genomic prediction modeling. Front. Plant Sci. 8, 421 (2017).
Niu, Q. L. et al. Monitoring plant height and leaf area index of maize breeding material based on UAV digital images. Trans. Chin. Soc Agric. Eng. 34, 73–82 (2018).
Tao, H. L. et al. Estimation of plant height and leaf area index of winter wheat based on UAV hyperspectral remote sensing. Trans. Chin. Soc. Agric. Mach. 51, 193–201 (2020).
Watt, M. S. et al. Above-ground biomass accumulation and nitrogen fixation of broom (Cytisus scoparius L.) growing with juvenile Pinus radiata on a dryland-site. For. Ecol. Manag. 184, 93–104 (2003).
Lichtenthaler, H. K. & Wellburn, A. R. Determinations of total carotenoids and chlorophylls a and b of leaf extracts in different solvents. Anal. Peach 11, 591–592 (1983).
Chemura, A., Schauberger, B. & Gornott, C. Impacts of climate change on agro-climatic suitability of major food crops in Ghana. PLoS ONE 15, e0229881 (2020).
Abdelraheem, A., Esmaeili, N., O’Connell, M. & Zhang, J. F. Progress and perspective on drought and salt stress tolerance in cotton. Ind. Crops Prod. 130, 118–129 (2019).
Adhikari, P. et al. Simulating future climate change impacts on seed cotton yield in the Texas high plains using the CSM-CROPGRO-cotton model. Agric. Water Manag. 164, 317–330 (2016).
Anwar, M. R., Wang, B., Liu, D. L. & Waters, C. M. Late planting has great potential to mitigate the effects of future climate change on Australian rain-fed cotton. Sci. Total Environ. 714, 136806 (2020).
Chen, X. P. et al. Simulating impacts of climate change on cotton yield and water requirement using RZWQM2. Agric. Water Manag. 222, 231–241 (2019).
Kurukulasuriya, P. & Mendelsohn, R. A ricardian analysis of the impact of climate change on African cropland. Soc. Sci. Electron. Publ. 68, 1–36 (2007).
Modala, N.R., Ale, S., Rajan, N., Munster, C. & Thorp, K. Simulating the impacts of future climate variability and change on cotton production in the Texas rolling plains. In: 2015 beltwide cotton conferences (2015).
Cai, J. B. et al. Simulation of maize dry matter accumulation in normalized logistic model with different effective accumulated temperatures in field. Trans. Chin. Soc. Agric. Mach. 51, 263–271 (2020).
Acknowledgements
This study was jointly supported by the National Natural Science Foundation of China (No. 41830754, 52179042), the Major Science and Technology Projects of the XPCC (2021AA003−2), and the Major Science and Technology Projects of the Autonomous Region (2020A01003−3).
Author information
Authors and Affiliations
Contributions
L., S.D. formal analysis, investigation, resources, writing-original draft; D., M.J. methodology, conceptualization, supervision; W., K. formal analysis, resources, data curation; W., Q.J. methodology, visualization, supervision, writing-review & editing; S., L.J. methodology.
Corresponding author
Ethics declarations
Competing interests
The authors declare no competing interests.
Additional information
Publisher's note
Springer Nature remains neutral with regard to jurisdictional claims in published maps and institutional affiliations.
Rights and permissions
Open Access This article is licensed under a Creative Commons Attribution 4.0 International License, which permits use, sharing, adaptation, distribution and reproduction in any medium or format, as long as you give appropriate credit to the original author(s) and the source, provide a link to the Creative Commons licence, and indicate if changes were made. The images or other third party material in this article are included in the article's Creative Commons licence, unless indicated otherwise in a credit line to the material. If material is not included in the article's Creative Commons licence and your intended use is not permitted by statutory regulation or exceeds the permitted use, you will need to obtain permission directly from the copyright holder. To view a copy of this licence, visit http://creativecommons.org/licenses/by/4.0/.
About this article
Cite this article
Lin, S., Deng, M., Wei, K. et al. A new regional cotton growth model based on reference crop evapotranspiration for predicting growth processes. Sci Rep 13, 7368 (2023). https://doi.org/10.1038/s41598-023-34552-7
Received:
Accepted:
Published:
Version of record:
DOI: https://doi.org/10.1038/s41598-023-34552-7





















