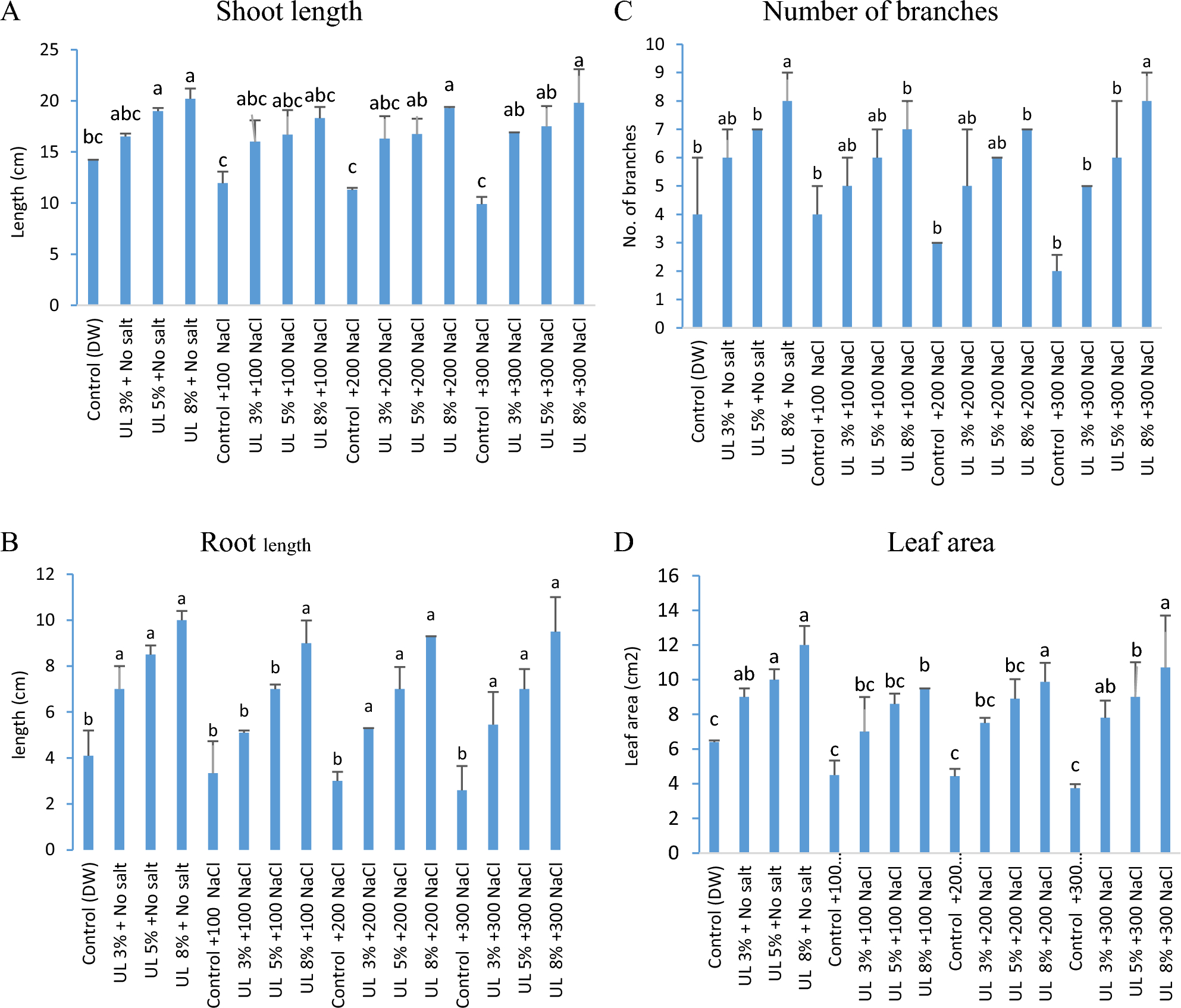
Figure 2

Effect of aqueous extract of U. lactuca (UL) on growth of C. lanatus. (A) Shoot length, (B) root length, (C) number of branches, (D) leaf area. Each column value is the mean of three/five replications ± SE. Means with the same letter are non-significantly different (p < 0.05).