Abstract
The California bearing ratio (CBR) is one of the basic subgrade strength characterization properties in road pavement design for evaluating the bearing capacity of pavement subgrade materials. In this research, a new model based on the Gaussian process regression (GPR) computing technique was trained and developed to predict CBR value of hydrated lime-activated rice husk ash (HARHA) treated soil. An experimental database containing 121 data points have been used. The dataset contains input parameters namely HARHA—a hybrid geometrical binder, liquid limit, plastic limit, plastic index, optimum moisture content, activity and maximum dry density while the output parameter for the model is CBR. The performance of the GPR model is assessed using statistical parameters, including the coefficient of determination (R2), mean absolute error (MAE), root mean square error (RMSE), Relative Root Mean Square Error (RRMSE), and performance indicator (ρ). The obtained results through GPR model yield higher accuracy as compare to recently establish artificial neural network (ANN) and gene expression programming (GEP) models in the literature. The analysis of the R2 together with MAE, RMSE, RRMSE, and ρ values for the CBR demonstrates that the GPR achieved a better prediction performance in training phase with (R2 = 0.9999, MAE = 0.0920, RMSE = 0.13907, RRMSE = 0.0078 and ρ = 0.00391) succeeded by the ANN model with (R2 = 0.9998, MAE = 0.0962, RMSE = 4.98, RRMSE = 0.20, and ρ = 0.100) and GEP model with (R2 = 0.9972, MAE = 0.5, RMSE = 4.94, RRMSE = 0.202, and ρ = 0.101). Furthermore, the sensitivity analysis result shows that HARHA was the key parameter affecting the CBR.
Similar content being viewed by others
Introduction
The mechanical index of geomaterials must be accurately predicted for robust pavement design1. The subgrade soil's strength is commonly measured by its California Bearing Ratio (CBR). CBR is a static strength and bearing capacity index that can be measured in the laboratory or in situ2,3. The CBR is an important input parameter for predicting the stiffness modulus of the subgrade soil, which is an essential pavement design index when cyclic loading is considered4,5. The CBR value is used to indirectly estimate the thickness of subgrade materials in large infrastructure projects. Consequently, precise and timely estimation of this parameter is extremely important to the design process and construction schedule.
The CBR test is a simple strength test that compares the bearing capacity of a material to that of well-graded crushed stone (a high-quality crushed stone material should have a CBR of 100%). It is intended for, but not limited to, evaluating the cohesiveness of materials with particle sizes of less than 19 mm (0.75 in). In accordance with current American Association of State Highway and Transportation Officials 2003 requirements, the laboratory CBR test entails soil mass penetration utilizing a circular 50 mm plunger applied at a rate of 1.25 mm/min6 into a compacted soil specimen with the optimum moisture content. The CBR test is an indirect measure of soil strength based on the resistance to penetration by a standardized piston moving at a standardized rate over a specified distance. CBR values are frequently used for highway, airport, parking lot, and other pavement designs based on empirical local or agency-specific methods. Additionally, CBR has been empirically correlated with resilient modulus and a number of other engineering soil properties.
Several studies were conducted to assess the performance of various materials, including fly ash, coarse sand, river bed material, and stone dust, that could be used to improve soft subgrades in highway construction7,8,9,10,11. For example, fly ash use in soil stabilization decreased the liquid limit and plasticity index and increased CBR12. Similarly, interaction between soil and waste plastic strips which causes the resistance to penetration of the plunger resulting into higher CBR values13.
Developing machine learning (ML) models for CBR prediction may be a viable option in this context14, as obtaining representative CBR values for design purposes is difficult due to insufficient soil investigations and a limited budget in determining the CBR value. In contrast, the laboratory CBR test is time-consuming and laborious. Artificial intelligence models can simulate highly nonlinear relationships between numerous input and output parameters, resulting in more precise predictions than simple and multiple regression analysis15,16,17. Several artificial intelligence model techniques have been used in engineering18,19,20,21,22,23,24 and many other disciplines25,26,27,28, including CBR value prediction using artificial neural network (ANN)29, and gene and multi expression programming30. As a result, this field is still being researched and investigated.
Gaussian process regression (GPR) has primarily been used in various domains of geotechnical engineering e.g.31,32,33,34,35,36,37,38,39,40,41. A critical review of the existing literature, however, indicates that, despite the successful implementation of GPR in various domains, their application to predict CBR value has not been thoroughly investigated. The purpose of this paper is to develop a new model for predicting the CBR value of expansive soil treated with hydrated lime-activated rice husk ash using the GPR computing technique. The viability and acceptability of the CBR prediction using the GPR computing method are also addressed in this paper. The dataset for this study includes seven input parameters for predicting CBR value: hydrated lime-activated rice husk ash (HARHA), liquid limit (LL), plastic limit (PL), plasticity index (PI), optimum moisture content (OMC), clay activity (CA), and maximum dry density (MDD). To compare the accuracy of the current model with that of previously developed models, several performance indexes were used, including coefficient of determination (R2), mean absolute error (MAE), root mean square error (RMSE), relative root mean square error (RRMSE), and performance indicator (ρ), as well as objective function (OF) to determine whether the model is overfitted or not.
The rest of the paper is structured as follows. Section “Materials and methods” presents information about the dataset, Pearson's correlation analysis, and a brief literature review on Gaussian process regression for estimating the CBR and the performance measure. Section “Results and discussion” presents the developed model's results and discussion, and Section “Limitations and future works” discusses the limitations and prospects for the future. Last Section presents the conclusions of this study.
Materials and methods
Dataset
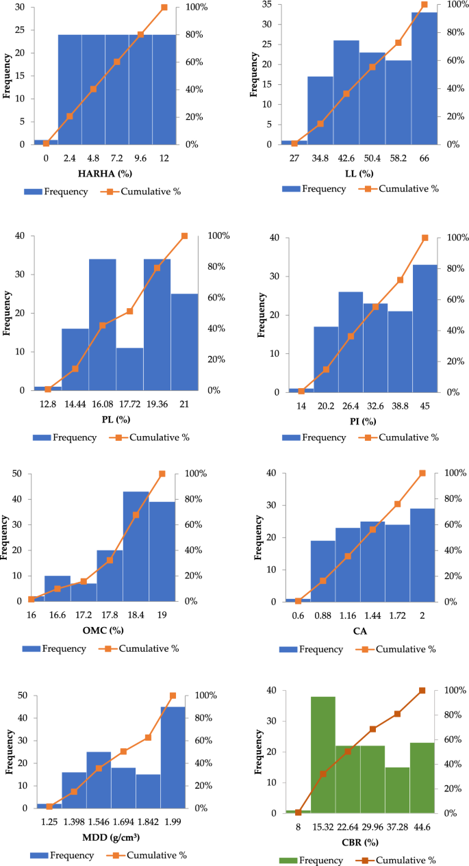
In this study, the dataset was obtained from Onyelowe et al.29, which consist of 121 observations (see Appendix A, Table A1 in supplementary information file). Researchers have used a different percentage of the available data as the training set for different problems. For instance, Ahmad et al.34 used 70% for training and remaining 30% was equally divided into testing and validation sets. In this study, training dataset contains 85 (70%) observations while testing and validation comprises of 18 (15%) observations each. The CBR is a function of hydrated lime-activated rice husk ash (HARHA), liquid limit (LL), plastic limit (PL), plasticity index (PI), optimum moisture content (OMC), clay activity (CA), and maximum dry density (MDD)29. HARHA, a hybrid geometrical binder, was made by mixing rice husk with 5% hydrated lime and leaving it for 24 h to activate. Hydrated lime activates alkali, and rice husk comes from rice mills. Rice husk is agro-industrial waste. Direct combustion produces rice husk ash (RHA)42. Therefore, these input parameters were utilized in this study to develop the desired model. The parameters' maximum (Max), minimum (Min), mean, standard deviation (SD), and coefficient of variation (COV) were chosen in such a way that they were consistent throughout training, testing, and validation data sets (Table 1). Figure 1 illustrates the cumulative percentage and frequency distributions for all input and output parameters utilized in the CBR modeling from the aforementioned database. The cumulative percentage distribution can be used to determine what proportion of the data falls below or equals a given value. For example, if the cumulative percentage at an LL (50.4–58.2%) is 60%, then 60% of the data points are less than or equal to 20. The frequency distribution explains how data is spread across several categories or intervals. It aids in the identification of the most common or frequent values, as well as any patterns or trends. For example, if the frequency of a specific category, such as OMC (17.8–18.4%), is higher than others, it suggests that the data is concentrated in that particular region. Furthermore, readers can refer to Onyelowe et al.29 for additional information on carrying out the tests.
Distribution histograms for inputs (in blue) and outputs (in green).
Pearson’s correlation analysis
To determine the relationships between each pair wise variable, the Pearson correlation coefficient (ξ)43 was utilized. Table 2 detailed the relationship of all the variables based on the ξ. A Pearson correlation coefficient > 0.8 indicates a strong association between each pair wise variable, values range from 0.3 to 0.8 indicate a medium relationship, and |ξ| < 0.30 indicates a weak relationship44. The rank correlation coefficient (|ξ|) was used to determine the associations between each pair of variables based on the distribution of the data. The parameters were determined to have a generally acceptable degree of correlation. It is evident from Table 2 that the PI is strongly correlated with CBR (|ξ| = 0.99514), but the OMC is weakly correlated with CBR (|ξ| = 0.09768) and the same is reported by Onyelowe et al.29. Certain variables that have a considerable amount of deviation have the potential to have an effect on prediction models45.
Gaussian processes regression (GPR)
According to Rasmussen46, the assumption that the GPR model operates under is that nearby observations should exchange information. Any finite number of the random variables in a Gaussian process has a joint multivariate Gaussian distribution. Let a × b stand to represent the input and output domains, respectively, from which n pairs (ai, bi) are randomly and uniformly distributed. For regression, let \(b \subseteq \Re\); then, a Gaussian process on a is distinct by the mean function \(\mu :a \to \Re\) and a covariance function \(k:a \times a \to \Re\). The main supposition of GPR is that y is given as \(b = f\left( a \right) + \zeta\), where \(\zeta \sim N\left( {0,\sigma^{2} } \right)\). For each input x, there is a random variable f(a) that corresponds to the value of the stochastic function f at that location. In this study, it is assumed that the observational error n is normal, independent, and identically distributed, with a mean of zero \(\mu \left( a \right) = 0\), a variance of \(\sigma^{2}\), and f(a) drawn from the Gaussian process on a specified k. The following is,
where Kij = k(ai, aj) and I is the identity matrix. As \(B/A\sim N\left( {0,K + \sigma^{2} I} \right)\) is normal, so is the conditional distribution of test labels given the training and test data of \(p\left( {B/B,A,A*} \right)\). Then, one has \(B*/B,A,A*\sim N\left( {\mu ,\sum } \right)\) where
where A and A* represent the vectors of the training and test data respectively. The n × n* matrix of covariance, which is assessed at all pairs of training and test datasets, is represented by K(A, A*) if there are n training data and n* test data. Readers can get more detail information on GPR and different covariance functions from Kuss47.
Evaluation measures of GPR model
To assess the GPR model's effectiveness, the evaluation measures such as coefficient of determination (R2), mean absolute error (MAE), root mean square error (RMSE), relative root mean square error (RRMSE), and performance indicator (ρ) are used in this study. In addition, the objective function (OF) is utilized to determine if the model has been overfitted. The mathematical expressions are given in Eqs. (4)–(9) 30,34,48,49,50,51,52,53,54,55,56,57.
where \(e_{i}\) and \(m_{i}\) are the nth measured and predicted output of the \({i}^{th}\) sample, respectively. \(\overline{e}_{i}\) and \(\overline{m}_{i}\) represents the average values of the measured and predicted output, respectively. The total number of datasets is shown by n while the training and validation datasets are shown by the subscripts T and V respectively. If a model's R2 values are higher than 0.8 and close to 1, it is considered as being effective31. The RMSE criterion measures the mean squared difference between predicted and actual output, whereas the MAE criterion measures the mean magnitude of the error. RRMSE is calculated by dividing RMSE by the measured data's mean value. To improve the performance of the model, RMSE, RRMSE and MAE should be relatively close to zero. This value cannot be 0 in practice, but the smaller it is, the more accurate the model's performance. Performance indicator (ρ) is the function of RRMSE and the coefficient of correlation (R) value58. The closeness of OF to zero indicates that the model is not overfit.
Results and discussion
In order to increase the accuracy and capability of the trained model Furthermore, the parameters are divided into three parts based on similar statistical characteristics, such as the mean value and coefficient of variation (COV). Model overfitting has been controlled by the mentioned validation set. The Pearson VII universal kernel known as PUK kernel function was scrutinized after multiple iteration of trial-and-error method among different function. In GPR model, the hyperparameters were fixed according to the best possible results. Hyperparameters such as noise, omega and sigma values were iterated through trial-and-error method until the desired results were achieved. Noise value was fixed at 0.3 while omega and sigma were fixed at 0.4 each listed in the following table. Figure 2 represents the flow chart of the proposed methodology in this study.
Flowchart illustrating the application of GPR to predict the CBR value.
To verify the effectiveness of learned models in the field of ML, models need to be assessed. Different evaluation methodologies are used with various types of models. The analysis of the built machine-learning model's predictive impact comes after the development of the machine-learning model for CBR prediction. This study verified the GPR model's CBR prediction by comparing the predicted and actual values. Figure 3 shows that there is a strong correlation between the training set's predicted value and the actual value. Although some of the data points in the test set's and validation set’s predicted value have high errors compared to the actual CBR value e.g. sample 9 (see Fig. 3b) and samples 1, 2 and 3 (see Fig. 3c) respectively, overall, the predicted value is found accurate. The findings demonstrate how well the GPR model predicts the CBR.
The accuracy of the GPR model in predicting CBR value in (a) training, (b) testing, and (c) validation sets.
Figure 4, a scatter diagram of the predicted and actual values of the training, test, and validation sets, illustrates the effect of fitting. A few points in the test set and validation set have large errors, such as in the test set, where the measure value of CBR was about 8.5% and the predicted value was as high as 10.6%; however, the small differences in individual data points have no impact on the GPR model. In addition, the CBR value is in the range of 8.2–44.5%, and predicted and actual values of the training, test, and validation sets fit well. The R2 value of the training set is 0.9999, the MAE value is 0.0920, the RMSE value is 0.13907, the RRMSE value is 0.0078, the ρ value is 0.00391, the R2 value of the test set 0.9997, the MAE value is 0.2099, the RMSE value is 0.51819, the RRMSE value is 0.0155, the ρ value is 0.00775, and the R2 value of the validation set 0.9996, the MAE value is 0.0719, the RMSE value is 0.1070, the RRMSE value is 0.0025, the ρ value is 0.00125. Consequently, the R2, MAE, RMSE, RRMSE, and ρ values of the training, test, and validation sets have common characteristics—namely, their R2 value is high, and their MAE, RSME, RRMSE values are low. It demonstrates that the GPR model accurately predicts the CBR value and that there is no overfitting.
Measured and predicted CBR in the (a) training, (b) testing, and (c) validation sets.
The GPR model was compared to artificial neural network (ANN) and gene expression programming (GEP) models from the literature in this study. Table 3 displays the performance indexes. The summary of statistical performance in the training, testing, and validation phases shows that the MAE, RMSE, RRMSE, ρ, and OF values of the GPR model are significantly lower while the R2 value is larger for the CBR value. For example, in the validation stage, the analysis of the R2 together with MAE, RMSE, RRMSE, and ρ values for the CBR shows that the GPR model achieved better prediction results with R2 = 0.9996, MAE = 0.0719, RMSE = 0.1070, RRMSE = 0.0025 and ρ = 0.00125 as compared to the ANN model with R2 = 0.9994, MAE = 0.1649, RMSE = 1.19, RRMSE = 0.05, and ρ = 0.028) and GEP model with R2 = 0.9932, MAE = 0.5, RMSE = 5.49, RRMSE = 0.167 and ρ = 0.084 proposed in literature. The results indicate that the proposed model to predict CBR value using GPR was more reliable and improved for practical applications.
Sensitivity analysis is used to analyze the individual effect of input factors on CBR value. In this present study, the cosine amplitude method was used to determine the sensitivity analysis of the problem59,60. This method has been utilized in numerous studies61,62. To construct data array (X), data pairs are used, as follows:
where xi is a m length vector, a variable in the X array, which may be expressed as:
The co-relation among strength of relation \({R}_{ij}\), \({x}_{i}\) and \({x}_{j}\) dataset expressed as follows:
where n is the number of values (in this case, 85), and \({x}_{im}\) and \({x}_{om}\) are the input and output variables, respectively. The strength of the relationship (\({r}_{ij}\)) varies from zero to one for each input parameter. The higher the value of \({r}_{ij}\), the stronger the effect of that specific input variable on CBR value. The \({r}_{ij}\) scores for all input parameters are shown in Fig. 5. Figure 5 shows that HARHA (\({r}_{ij}\) = 0.988) has the largest influence in predicting CBR value, whereas PI (\({r}_{ij}\) = 0.847) has the least influence.
Sensitivity analysis of input variables.
Limitations and future works
It is a common fact that ML studies have always included several limitations and difficulties. One of the limitations of this study is related to the number of data samples used in the analysis, which are 121. The proposed model in this research is effective with the expected accuracy if the same input parameters are used in the future. In addition, if the same inputs are used but out of the range of our inputs, there is a possibility of an error in the analysis. In the future, more experimental data should be collected to improve the generalization capability of the proposed model. The prediction of CBR value using sophisticated ML algorithms such as deep learning is left as a topic for future study.
Conclusions
In this research study, the GPR modeling technique was used to predict the CBR of the HARHA treated expansive soil based on the dataset characteristics. The developed GPR model's performance was evaluated using statistical metrics such as R2, MAE, RMSE, RRMSE, ρ, and OF, and compared to the available ANN and GEP recently developed models in the literature. The conclusions of this research can be summarized as follows:
-
The new propose model of CBR using GPR achieved a better prediction performance with (R2 = 0.9999, MAE = 0.0920, RMSE = 0.13907, RRMSE = 0.0078, and ρ = 0.00391) succeeded by the ANN model with (R2 = 0.9998, MAE = 0.0962, RMSE = 4.98, RRMSE = 0.20, and ρ = 0.100) and GEP model with (R2 = 0.9972, MAE = 0.5, RMSE = 4.94, RRMSE = 0.202, and ρ = 0.101) in literature. The findings indicate that the GPR model predicts the CBR value of the HARHA-treated soil slightly more accurately.
-
The new propose GPR model has the highest performance capability as compare to available ANN and GEP models developed recently in literature with less variation in the measured and predicted values in terms of errors in the training, test and validations sets.
-
The proximal value of OF in the GPR model was 0.003 as compare to the available ANN model (0.077) and the GEP model (0.028) that were developed recently in literature which concludes that GPR model OF value ~ 0, reflects that the model is not overfitted.
-
A sensitivity analysis outcome shows that HARHA was the most influential factor in predicting the CBR value.
Data availability
All data generated or analyzed during this study are included in its supplementary information file.
Change history
01 September 2023
A Correction to this paper has been published: https://doi.org/10.1038/s41598-023-41737-7
Abbreviations
- ANN:
-
Artificial neural network
- GPR:
-
Gaussian process regression
- CBR:
-
California bearing ratio
- COV:
-
Coefficient of variation
- OF:
-
Objective function
- HARHA:
-
Hydrated lime-activated rice husk ash
- LL:
-
Liquid limit
- PL:
-
Plastic limit
- PI:
-
Plasticity index
- OMC:
-
Optimum moisture content
- MDD:
-
Maximum dry density
- ML:
-
Machine learning
- Max:
-
Maximum
- Min:
-
Minimum
- CA:
-
Clay activity
- R:
-
Correlation coefficient
- SD:
-
Standard deviation
- R2 :
-
Coefficient of determination
- MAE:
-
Mean absolute error
- RMSE:
-
Root mean square error
- RRMSE:
-
Relative root mean square error
- ξ :
-
Pearson correlation coefficient
- ρ:
-
Performance indicator
- \(\overline{e}_{i}\) :
-
Mean of measured values
- \(\overline{m}_{i}\) :
-
Mean of predicted values
- n :
-
Total number of data
- \(e_{i}\) :
-
Measured value
- \(m_{i}\) :
-
Predicted value
- \({x}_{im}\) :
-
Input variable
- \({x}_{om}\) :
-
Output variables
- r ij :
-
Strength of the relation
References
Haupt, F. & Netterberg, F. Prediction of California bearing ratio and compaction characteristics of Transvaal soils from indicator properties. J. S. Afr. Inst. Civ. Eng. 63(2), 47–56 (2021).
Katte, V. Y. et al. Correlation of California bearing ratio (CBR) value with soil properties of road subgrade soil. Geotech. Geol. Eng. 37, 217–234 (2019).
Nagaraju, T. V., Prasad, C. D. & Raju, M. J. Prediction of California bearing ratio using particle swarm optimization. In Soft Computing for Problem Solving: SocProS 2018 Vol. 1 795–803 (Springer, 2019).
Mendoza, C. & Caicedo, B. Elastoplastic framework of relationships between CBR and Young’s modulus for granular material. Road Mater. Pavement Des. 19(8), 1796–1815 (2018).
Brown, S. Soil mechanics in pavement engineering. Géotechnique 46(3), 383–426 (1996).
Mousavi, F., Abdi, E. & Rahimi, H. Effect of polymer stabilizer on swelling potential and CBR of forest road material. KSCE J. Civ. Eng. 18, 2064–2071 (2014).
Kumar, P., Chandra, S. & Vishal, R. Comparative study of different subbase materials. J. Mater. Civ. Eng. 18(4), 576–580 (2006).
Moghal, A. A. B., Chittoori, B. C. & Basha, B. M. Effect of fibre reinforcement on CBR behaviour of lime-blended expansive soils: Reliability approach. Road Mater. Pavement Des. 19(3), 690–709 (2018).
Sivapullaiah, P. & Moghal, A. CBR and strength behavior of class F fly ashes stabilized with lime and gypsum. Int. J. Geotech. Eng. 5(2), 121–130 (2011).
Daraei, A. et al. Stabilization of problematic soil by utilizing cementitious materials. Innov. Infrastruct. Solut. 4, 1–11 (2019).
Blayi, R. A. et al. Strength improvement of expansive soil by utilizing waste glass powder. Case Stud. Constr. Mater. 13, e00427 (2020).
Zulkifley, M. T. M. et al. A review of the stabilization of tropical lowland peats. Bull. Eng. Geol. Environ. 73, 733–746 (2014).
Neopaney, M. et al. Stabilization of soil by using plastic wastes. Int. J. Emerg. Trends Eng. Dev. 2(2), 461–466 (2012).
Rehman, Z. et al. Prediction of CBR value from index properties of different soils. Tech. J. 22(2), 18–26 (2017).
Wang, G. & Ma, J. A hybrid ensemble approach for enterprise credit risk assessment based on support vector machine. Expert Syst. Appl. 39(5), 5325–5331 (2012).
Zeng, J. et al. Prediction of peak particle velocity caused by blasting through the combinations of boosted-CHAID and SVM models with various kernels. Appl. Sci. 11(8), 3705 (2021).
Asteris, P. G. et al. Predicting concrete compressive strength using hybrid ensembling of surrogate machine learning models. Cem. Concr. Res. 145, 106449 (2021).
Noori, A. M. et al. Feasibility of intelligent models for prediction of utilization factor of TBM. Geotech. Geol. Eng. 38(3), 3125–3143 (2020).
Dormishi, A. et al. Evaluation of gang saws’ performance in the carbonate rock cutting process using feasibility of intelligent approaches. Eng. Sci. Technol. Int. J. 22(3), 990–1000 (2019).
Mikaeil, R., Haghshenas, S. S. & Hoseinie, S. H. Rock penetrability classification using artificial bee colony (ABC) algorithm and self-organizing map. Geotech. Geol. Eng. 36(2), 1309–1318 (2018).
Mikaeil, R. et al. Performance evaluation of adaptive neuro-fuzzy inference system and group method of data handling-type neural network for estimating wear rate of diamond wire saw. Geotech. Geol. Eng. 36(6), 3779–3791 (2018).
Momeni, E. et al. Prediction of pile bearing capacity using a hybrid genetic algorithm-based ANN. Measurement 57, 122–131 (2014).
Xie, C. et al. Optimized functional linked neural network for predicting diaphragm wall deflection induced by braced excavations in clays. Geosci. Front. 13(2), 101313 (2022).
Armaghani, D. J. et al. Development of hybrid intelligent models for predicting TBM penetration rate in hard rock condition. Tunn. Undergr. Space Technol. 63, 29–43 (2017).
Guido, G. et al. Development of a binary classification model to assess safety in transportation systems using GMDH-type neural network algorithm. Sustainability 12(17), 6735 (2020).
Morosini, A. F. et al. Sensitivity analysis for performance evaluation of a real water distribution system by a pressure driven analysis approach and artificial intelligence method. Water 13(8), 1116 (2021).
Asteris, P. G. et al. Revealing the nature of metakaolin-based concrete materials using artificial intelligence techniques. Constr. Build. Mater. 322, 126500 (2022).
Hajihassani, M. et al. Prediction of airblast-overpressure induced by blasting using a hybrid artificial neural network and particle swarm optimization. Appl. Acoust. 80, 57–67 (2014).
Onyelowe, K. C. et al. Application of 3-algorithm ANN programming to predict the strength performance of hydrated-lime activated rice husk ash treated soil. Multisc. Multidiscipl. Model. Exp. Des. 4(4), 259–274 (2021).
Onyelowe, K. C. et al. Application of gene expression programming to evaluate strength characteristics of hydrated-lime-activated rice husk ash-treated expansive soil. Appl. Comput. Intell. Soft Comput. 2021, 1–17 (2021).
Ahmad, M. et al. Prediction of ultimate bearing capacity of shallow foundations on cohesionless soils: A Gaussian process regression approach. Appl. Sci. 11(21), 10317 (2021).
Ahmad, M. et al. Prediction of liquefaction-induced lateral displacements using Gaussian process regression. Appl. Sci. 12(4), 1977 (2022).
Ahmad, M. et al. Novel approach to predicting soil permeability coefficient using Gaussian process regression. Sustainability 14(14), 8781 (2022).
Ahmad, M. et al. Predicting subgrade resistance value of hydrated lime-activated rice husk ash-treated expansive soil: A comparison between M5P, support vector machine, and Gaussian process regression algorithms. Mathematics 10(19), 3432 (2022).
Mahmoodzadeh, A. et al. Tunnel geomechanical parameters prediction using Gaussian process regression. Mach. Learn. Appl. 3, 100020 (2021).
Kumar, M. & Samui, P. Reliability analysis of settlement of pile group in clay using LSSVM, GMDH, GPR. Geotech. Geol. Eng. 38, 6717–6730 (2020).
Samui, P. et al. Reliability analysis of slope safety factor by using GPR and GP. Geotech. Geol. Eng. 37, 2245–2254 (2019).
Samui, P. Determination of friction capacity of driven pile in clay using Gaussian process regression (GPR), and minimax probability machine regression (MPMR). Geotech. Geol. Eng. 37, 4643–4647 (2019).
Naik, S. P. et al. Geological and structural control on localized ground effects within the Heunghae Basin during the Pohang Earthquake (MW 5.4, 15th November 2017), South Korea. Geosciences 9(4), 173 (2019).
Deo, R. C. & Samui, P. Forecasting evaporative loss by least-square support-vector regression and evaluation with genetic programming, Gaussian process, and minimax probability machine regression: case study of Brisbane City. J. Hydrol. Eng. 22(6), 05017003 (2017).
Samui, P. & Jagan, J. Determination of effective stress parameter of unsaturated soils: A Gaussian process regression approach. Front. Struct. Civ. Eng. 7, 133–136 (2013).
Onyelowe, K., et al. Oxides of carbon entrapment for environmental friendly geomaterials ash derivation. in International Congress and Exhibition Sustainable Civil Infrastructures (Springer, 2019).
Benesty, J. et al. Pearson correlation coefficient. In Noise Reduction in Speech Processing 1–4 (Springer, 2009).
van Vuren, T. Modeling of transport demand–analyzing, calculating, and forecasting transport demand: by VA Profillidis and GN Botzoris, Amsterdam, Elsevier, 2018, 472 pp., $125 (paperback and ebook), eBook ISBN: 9780128115145, Paperback ISBN: 9780128115138. (Taylor & Francis, 2020).
Zhou, J. et al. Random forests and cubist algorithms for predicting shear strengths of rockfill materials. Appl. Sci. 9(8), 1621 (2019).
Rasmussen, C. & Williams, C. Gaussian Processes for Machine Learning Vol. 38, 715–719 (The MIT Press, 2006).
Kuss, M. Gaussian Process Models for Robust Regression, Classification, and Reinforcement Learning (Echnische Universität Darmstadt, 2006).
Asteris, P. G. et al. Prediction of cement-based mortars compressive strength using machine learning techniques. Neural Comput. Appl. 33(19), 13089–13121 (2021).
Ly, H.-B. et al. Estimation of axial load-carrying capacity of concrete-filled steel tubes using surrogate models. Neural Comput. Appl. 33(8), 3437–3458 (2021).
Asteris, P. G. et al. Soft computing techniques for the prediction of concrete compressive strength using non-destructive tests. Constr. Build. Mater. 303, 124450 (2021).
Asteris, P. G. et al. Evaluation of the ultimate eccentric load of rectangular CFSTs using advanced neural network modeling. Eng. Struct. 248, 113297 (2021).
Arora, H. C. et al. Axial capacity of FRP-reinforced concrete columns: Computational intelligence-based prognosis for sustainable structures. Buildings 12(12), 2137 (2022).
Gandomi, A. H. et al. Novel approach to strength modeling of concrete under triaxial compression. J. Mater. Civ. Eng. 24(9), 1132–1143 (2012).
Bui, X.-N. et al. Prediction of slope failure in open-pit mines using a novel hybrid artificial intelligence model based on decision tree and evolution algorithm. Sci. Rep. 10(1), 1–17 (2020).
Manouchehrian, A., Gholamnejad, J. & Sharifzadeh, M. Development of a model for analysis of slope stability for circular mode failure using genetic algorithm. Environ. Earth Sci. 71, 1267–1277 (2014).
Suman, S. et al. Slope stability analysis using artificial intelligence techniques. Nat. Hazards 84, 727–748 (2016).
Armstrong, J. & Collopy, F. The selection of error measures for generaliz-ing about forecasting methods: Empirical comparisons. Int. J. Forecast. 8(1), 69–80 (1992).
Gandomi, A. H. & Roke, D. A. Assessment of artificial neural network and genetic programming as predictive tools. Adv. Eng. Softw. 88, 63–72 (2015).
Wu, X. & Kumar, V. The Top Ten Algorithms in Data Mining (CRC Press, 2009).
Momeni, E. et al. Prediction of uniaxial compressive strength of rock samples using hybrid particle swarm optimization-based artificial neural networks. Measurement 60, 50–63 (2015).
Ahmad, M. et al. Evaluating seismic soil liquefaction potential using bayesian belief network and C4.5 decision tree approaches. Appl. Sci. 9(20), 4226 (2019).
Ahmad, M. et al. Development of prediction models for shear strength of rockfill material using machine learning techniques. Appl. Sci. 11(13), 6167 (2021).
Acknowledgements
The researchers would like to acknowledge the Deanship of Scientific Research, Taif University for funding this work.
Funding
The research is partially funded by the Ministry of Science and Higher Education of the Russian Federation under the strategic academic leadership program ‘Priority 2030’ (Agreement 075-15-2021-1333 dated 30 September 2021) and also by the Deanship of Scientific Research, Taif University.
Author information
Authors and Affiliations
Contributions
M.A.: Conceptualization, Methodology, Software, Writing—Original draft preparation. M.A.A.-Z.: Methodology, Data curation, Writing—Original draft preparation. E.K.-J.: Visualization, Investigation. A.M.: Investigation, Conceptualization. R.A.A.-M.: Investigation, Project administration. M.M.S.S.: Methodology, Formal analysis, Resources, Funding acquisition. E.A.: Software, Validation, Writing—Reviewing and Editing. J.A.N.: Methodology, Investigation. A.Y.E.: Validation, Writing—Reviewing and Editing. B.Z.: Formal analysis, Writing—Original draft preparation.
Corresponding author
Ethics declarations
Competing interests
The authors declare no competing interests.
Additional information
Publisher's note
Springer Nature remains neutral with regard to jurisdictional claims in published maps and institutional affiliations.
The original online version of this Article was revised: The Acknowledgements section in the original version of this Article was omitted. The Acknowledgements section now reads: The researchers would like to acknowledge the Deanship of Scientific Research, Taif University for funding this work.
Supplementary Information
Rights and permissions
Open Access This article is licensed under a Creative Commons Attribution 4.0 International License, which permits use, sharing, adaptation, distribution and reproduction in any medium or format, as long as you give appropriate credit to the original author(s) and the source, provide a link to the Creative Commons licence, and indicate if changes were made. The images or other third party material in this article are included in the article's Creative Commons licence, unless indicated otherwise in a credit line to the material. If material is not included in the article's Creative Commons licence and your intended use is not permitted by statutory regulation or exceeds the permitted use, you will need to obtain permission directly from the copyright holder. To view a copy of this licence, visit http://creativecommons.org/licenses/by/4.0/.
About this article
Cite this article
Ahmad, M., Al-Zubi, M.A., Kubińska-Jabcoń, E. et al. Predicting California bearing ratio of HARHA-treated expansive soils using Gaussian process regression. Sci Rep 13, 13593 (2023). https://doi.org/10.1038/s41598-023-40903-1
Received:
Accepted:
Published:
Version of record:
DOI: https://doi.org/10.1038/s41598-023-40903-1
This article is cited by
-
On the interpretability of machine and deep learning techniques for predicting CBR of stabilized soil containing agro-industrial wastes
Scientific Reports (2026)
-
Prediction of CBR of Hydrated Lime-Activated Rice Husk Ash (HARHA) Treated Soil Using Genetic and Particle Swarm Optimized ANN, LSSVM, and RVM Models
Transportation Infrastructure Geotechnology (2025)
-
Metakaolin as a soil stabilizing admixture: A comprehensive analysis of California bearing ratio and consolidation behavior using experimental and machine learning approaches
Earth Science Informatics (2025)
-
Correlative Study of Light-Weight Deflectometer, Plate Loading, and California Bearing Ratio Tests for Unbound Pavement Layers Using Genetic Algorithm
Transportation Infrastructure Geotechnology (2025)
-
Machine-Learning-Based Prediction of California Bearing Ratio (CBR) for Lateritic–Lithomargic Pavement Subgrades through the Major Index Properties
Indian Geotechnical Journal (2025)







