Abstract
Water stress poses a significant challenge for carrot cultivation, leading to decreased yield and inefficient water use efficiency. Therefore, it is crucial to provide plants with suitable supplements that enhance their stress resistance. In this study, we investigated the effectiveness of humic and potassium applications on carrot growth, yield characteristics, root quality, and water use efficiency under varying irrigation levels. A split-split plot experiment was conducted, with two levels of gross water requirements (GWR) (100% and 80%) assigned to the main plots. The subplots were treated with humic acid through foliar application (Hsp) or soil drenching (Hgd). The sub-subplots were further divided to assess the impact of foliar potassium sources (potassium humate, Kh) and mineral applications (potassium sulfate, K2SO4). The results revealed a substantial reduction in carrot yield under limited irrigation, reaching about 32.2% lower than under GWR100%. Therefore, under limited irrigation conditions, the combined application of Hgd and K2SO4 resulted in a significant yield increase of 78.9% compared to the control under GWR80%. Conversely, under GWR100%, the highest average yield was achieved by applying either Hsp and Kh or Hsp and K2SO4, resulting in yields of 35,833 kg ha−1 and 40,183 kg ha−1, respectively. However, the combination of Hgd and Kh negatively affected the yield under both GWR100% and GWR80%. Nonetheless, applying Kh in combination with Hgd under GWR80% led to improved nitrogen, phosphorus, potassium, potassium/sodium ratio, and total sugar concentrations, while reducing sodium content in carrot roots. Based on this study, it is recommended to adopt GWR80% and treat plants with a combination of Hgd and foliar K2SO4. This approach can help plants overcome the negative effects of water stress, improve yield and root quality, and achieve optimal water use efficiency.
Similar content being viewed by others
Introduction
Climate change, rapid population growth, and soil degradation pose significant challenges to the agriculture sector1. Addressing these challenges requires the development of water-saving agricultural practices and improvements in water use efficiency to ensure global food security2. Water stress adversely affects nutrient balance, primary and secondary metabolism, and turgor regulation in plants3,4 resulting in reduced crop yield and quality5. To mitigate the negative impacts of water stress, the use of organic materials has been considered as an agronomic solution6.
Humic acid, a key component of plant nutrition, is widely used to supplement synthetic and organic fertilizers. It is a naturally occurring polymeric-heterocyclic organic compound that contains carboxylic (COOH−), phenolic (OH−), alcoholic, and carbonyl fractions7,8. Humic substances are generally classified into humic acids, fulvic acids, and humins9. While humins have a non-degrading fraction and have received less attention, researchers have focused on humic and fulvic acids due to their ability to rapidly improve soil fertility and health10. Numerous studies have reported that humic acid applications offer several benefits, including enhanced plant growth, cell permeability, photosynthetic rate, cell elongation, soil structure, water use efficiency, and nutrient transport and availability11,12,13,14,15. Furthermore, humic acid has been found to promote root growth and nutrient absorption, making it an excellent foliar fertilizer that positively influences leaf, root, and fruit development16,17,18.
Given these properties, the adoption of humic acid in carrot plants is expected to increase productivity and improve crop quality. Carrot roots (Daucus carota L.) are an important vegetable known for their high content of carbohydrates, carotene, minerals, fiber, and vitamin C19,20. However, conflicting results have been reported in the literature regarding the effects of humic acid application on plant growth and yield21,22, Some studies found no significant effects, while others observed negative effects on yield traits and quality23,24. In this concern, Ampong et10 demonstrated that it is essential to test the effects of humic acid under specific conditions before reliable recommendations can be made. Therefore, we hypothesized that the adoption of potassium applications could lead to a kind of nutritional balance with humic, improving yield quality, in particular under water stress conditions.
In this regard, potassium applications play a crucial role in plant-water relations as they catalyze metabolic functions, promote starch transformation into soluble sugars, enhance enzyme activity, and improve protein, carbohydrate, and fat synthesis. Potassium applications also contribute to the translocation of photosynthetic products and enhance plants' ability to resist pests, diseases, and environmental stress25,26. Moreover, they have a positive impact on preventing and mitigating the adverse effects of sodium toxicity by modulating the antioxidant system27. The combined application of humic acid and mineral fertilizers forms complexes that release nutrients slowly, facilitating nutrient uptake. The interaction effects between humic acid and potassium applications depend on the source of humic acid, application rate, and crop type28.
While previous studies have examined the positive effects of combined potassium and humic acid applications on plant growth and yield in crops such as potatoes, sugar beet, wheat, peanuts, and peas16,29,30,31,32 few studies have investigated their combined influences on carrot plant growth and yield.
Therefore, the application of humic on carrot plants was investigated. Whereas that humic usage not generating an environmental advertising impact. In addition, it can also play a vital role in enhancing yield and can be used as a substance of natural origin to decrease the use of chemical fertilizers. On the other hand, little information is available regarding its effects as a sole and combined application with potassium sources on the carrot yield and water use efficiency under two irrigation levels. Thus, their applications in different methods and enrichment with different potassium substances can have different impacts which have not been previously investigated in such an approach and thus contribute to the novelty of this study.
Materials and methods
Experimental site and growth conditions
An open field experiment was conducted at the experimental farm of the National Water Research Center's water studies and research complex station, Egypt, Aswan, Toshka city, which is located in the southern of Egypt at the latitude of 22°, 24`0.11` N longitude of 31°,35`0.43` E and of altitude 188 m. The experiment was implemented through two successive winter seasons of 2019/2020 and 2020/2021, to study the effect of humic and potassium applications under full and limited irrigation on nitrogen (N), phosphorus (P), potassium (K), yield and water use efficiency (Iwue) of carrot plants. The studied area lies in an arid climatic province, Table 1 presented the averages of meteorological data, which have been collected from the Toshka weather station during the growing seasons. The main source of irrigation water is groundwater through a well that was dug in the studied area. Irrigation water samples were collected during cultivation three times (before, mid of the growing season, and at harvest) for the analysis. The average of the chemical properties of these samples during the two seasons of 2019/2020 and 2020/2021 are given in Table 2. Regarding the water quality as mentioned by Zaman et al.33, it was classified as C2S1. According to USDA Soil Survey Staff34, the selected soil has a loamy sand texture. While the remaining physical and chemical properties of the experimental soil are given in Table 3. All physical and chemical of soil and irrigation water are determined by following standardized methods Zaman et al.33, Estefan et al.35, and Vaz et al.36.
Experimental details
In order to achieve the objective of the current study, a split-split plot design was used with three replicates. In the main plots, two irrigation water levels were allocated, i.e., 100 and 80% GWR for carrots. In this concern, before the experiment began, soil water parameters were measured, and allowed for a reduction in soil moisture to 60% of the available water, which was the critical limit on carrot development based on previous studies. Therefore, based on this knowledge, irrigation is carried out every two days. Moreover, the irrigation amounts applied to carrot plants under 80% GWR level were proportionally obtained from 100% GWR, as will be handled later. A set sprinkler irrigation system was used to irrigate carrots and each irrigation plot was equipped with a manometer valve to maintain the operating pressure at 2.5 bar and a flow emitter which was used to control the quantity of the targeted irrigation water at each irrigation level. The distance between the sprinklers was 10 m, and the distance between the lines was 9 m. Furthermore, there were buffer zones between the experimental units to avoid interactions (9 m width). While humic (H) application methods were assigned in the subplots (control, Hgd, and Hsp). In the Hgd treatment, H was applied at a rate of 30 L ha−1 as soil applications in three equal portions initiated after 30 days of cultivation, 60 and 90 days. On the other hand, Hsp took the same previous dates for applying H as foliar applications at a rate of 3 g L−1. While, sub-sub plots were divided into three parts to apply K applications, namely (control, Kh, and K2SO4). In the control treatments, carrot plants were sprayed with distilled water. While in Kh and K2SO4 treatments, 2 g L−1 of K as foliar spraying was applied in a Kh and K2SO4 form, initiated after 30 days from cultivation then four times every 15 days interval. The net space (10.0 m long × 4.5 m width) of each experimental unit, accordingly, the experimental work involved 54 plots {2 irrigations levels × 3 H treatments × 3 K treatments × 3 replicates}.
Agronomic practices
Seeds of carrot (Daucus carota L., cv. Kuroda Max), were sown on the 2 of November 2019 and the 4 of November 2020 in the first and second seasons, respectively. The experimental site was well prepared and soil tillage. All agricultural practices required for carrot production were followed as commonly used in the region and the Egyptian Ministry of Agriculture recommendations for newly reclaimed soil. Carrot seeds were sown on ridges, with a 75 cm spacing between rows and 8 cm between plants. Carrot seeds were purchased from Takii Seed Co. This cultivar is recommended as a highly yielding-commercial cultivar. Furthermore, this cultivar and the implemented methods in the current study complied with international, national, and institutional guidelines and legislation. The harvest was on the 29 of February 2020 and 5 of March 2021, with a total growing season of 120 and 122 days during the first and second seasons, respectively.
H and Kh properties: H was purchased from Egyptian Canadian for humate Co, H products had 65.0% humic substances (involving 13.0% active H and 3% fulvic acid), and 5.0% potassium. While KH was purchased from Zain Fert Co. (it contains 75% H + 4% fulvic acid + 2% iron (Fe) + 10% K2O).
Calculations related to irrigation
Calculations of reference evapotranspiration
The reference evapotranspiration (ETo) was determined by directly entering specific data that were obtained from the Toshka agrometeorological station, in the CROPWAT package, version 8.0, and ETo was calculated by Penman–Monteith equation as indicated by37, which can be calculated as:
where:
ETo = Reference evapotranspiration (mm day−1).
Rn = Net radiation (MJm−2d−1).
G = Soil heat flux (MJm−2d−1).
Δ = Slope vapor pressure and temperature curve (kPa oC−1).
γ = Psychrometric constant (kPa °C−1).
U2 = Wind speed at 2 m height (ms−1).
es-ea = Vapor pressure deficit (kPa).
T = Mean daily air temperature at 2 m height (°C).
Calculations of crop evapotranspiration
The crop evapotranspiration of carrot (ETc) was calculated according to38 as the following equation:
where.
ETc = Crop evapotranspiration (mm day−1).
ETo = Reference evapotranspiration (mm day−1).
Kc = Crop coefficient (which was equaled 0.7, 1.05, and 0.95 for Kc mid, Kc mid, and Kc end according to39.
Calculations of water requirement
Then the GWR100 was calculated according to40,41
where.
GWR = The gross water requirement (m3 ha−1).
Se = The evapotranspiration area percentage.
LR = Leaching water requirement 10 %.
Ea = Irrigation system efficiency, 0.78.
Etc = Crop evapotranspiration (m3).
Accordingly, during the two growing seasons of 2019/2020 and 2020/2021, the average total seasonal amounts of GWR were 9660 and 5785 m3 ha−1 for the GWR100 and GWR80, respectively.
The chemical measurements
After the harvest (with an average of 121 days), the carrot roots were chopped into small pieces, air-dried, and oven dried at 70°C for five days then ground using stainless steel equipment. Additionally, soil samples were taken from the root ridges in each treatment to measure (total dissolved solids, available K, and organic matter) according to Estefan et al.35, while the macronutrients {N, P, K, calcium (Ca)}, and sodium (Na) in carrot roots were estimated according to42,43. The total carotenoids and carbohydrates (%) in the roots were determined according to the method described by Boadi et al.44, total sugar (%) was determined according to the method described by Yusuf et al.45. While the total chlorophyll in leaves at harvest was determined according to Molina et al.46.
Yield and yield components
At the harvest, ten plants were randomly taken from each plot to record the average of the following measurements were recorded: plant height (cm), number of leaves, root length and root diameter (cm), leaves plant fresh weight (g), weight of root (g), and root yield (kg m−2) were recorded for each plot and then converted to kg ha−1.
The calculation of Iwue
The Iwue was calculated as the following equation of47
where.
Iwue = irrigation water use efficiency (kg m−3).
Y = Yield (kg ha−1) and.
GWR = The gross water requirement (m3 ha−1).
Statistical analysis
Means of variance (ANOVA) were analyzed in all data to determine any statistically significant differences. Statistical analysis was determined by using the statistical package Costat version 6.303. The least significant difference (LSD) for the average data of the two growing seasons was used to test the differences between treatments (at the p ≤ 0.05 level) as per48.
Ethical approval and consent to participate
This manuscript is an original paper and has not been published in other journals. The authors agreed to keep the copyright rule.
Results
The analysis of (TDS, available K, and organic matter) in the soil at the end of the experiment
Data of the average (TDS, available K, and organic matter) values in the soil under two levels of gross water requirements (100 and 80%) at the end of the experiment are tabulated in Table 4. While Table 5 showed the analysis of variance results for individual and interaction impacts on the investigated parameters. In general, by comparing the impacts of examined treatments on TDS, by adopting the examined treatments, there were significant differences in TDS values. Likewise for available K, where the results showed that there were no significant differences in available K due to irrigation levels, while there were significant differences as a consequence of the other individual and combined interactions. Also, the statical analysis demonstrated that there were no significant differences in available K due to irrigation levels, the combined interaction of irrigation × K sources, or due to the combined interaction of irrigation × H applications on organic matter; contrary to the remaining interactions.
Relative to full irrigation (GWR100%), TDS of the control treatment fell by 2.2, 1.1, 3.2, 4.9, 2.7, 5.3, and 6.7% for Kh, K2SO4, Hgd, Hgd + Kh, Hgd + K2SO4, Hsp, Hsp + Kh, Hsp + K2SO4, respectively. Likewise, available K in the soil samples decreased by 21.4% (Kh), 13.1% (K2SO4), 32.2% (Hgd), 42.5% (Hgd + Kh), 26.1% (Hgd + K2SO4), 42.5% (Hsp), 52.8 (Hsp + Kh), and 43.9% (Hsp + K2SO4). Finally, relative to full irrigation (GWR100%), soil organic matter in the control treatment attained a greater increase by 266.7, 233.3, and 200% for Hgd + Kh, Hgd, and Hgd + K2SO4, respectively.
On the other hand, relative to limited irrigation (GWR80%), TDS of the control treatment fell by 0.8, 0.3, 4.8, 11.0, 8.7, 2.0, and 4.3% for Kh, K2SO4, Hgd, Hgd + Kh, Hgd + K2SO4, Hsp, Hsp + Kh, Hsp + K2SO4, respectively. Likewise, available K in the soil samples decreased by 8.3% (Kh), 3.3% (K2SO4), 18.1% (Hgd), 30.0% (Hgd + Kh), 25.7% (Hgd + K2SO4), 6.6% (Hsp), 14.0 (Hsp + Kh), and 10.9% (Hsp + K2SO4). Finally, relative to full irrigation (GWR100%), soil organic matter in control treatment was attained the greater increase by 600 and 500% for Hgd + Kh and Hgd + K2SO4, respectively.
TDS levels attained higher increases by 18.8% (Hsp) 17.6% (Hsp + Kh) and 16.4% (Kh) under limited irrigation conditions (GWR80%), respectively, compared with those under well-watered conditions. On the other side, available K in the soil samples achieved fluctuating results, where it attained greater increases values at (Hsp + Kh) and (Hsp) under limited irrigation conditions by 47.0% and 31.1%, respectively, compared with those under well-watered conditions. Similarly, soil organic matter either achieved fluctuating results, where it attained greater decreases values at (Hsp) and (Hsp + Kh) under limited irrigation conditions by 50.2% and 50.0%, respectively, compared with those under full irrigation (GWR100%).
Impacts of the H and K applications on (N, P, K, Ca, Na, Ca/ Na ratio, and K/ Na ratio) of the carrot roots under full and limited irrigation levels
Table 5 showed the individual and interaction impacts of the examined irrigation levels, K, and H on the investigated parameters. The impacts of irrigation levels (100 and 80% GWR), H applications as (Hgd and Hsp), and K as (Kh and K2SO4) on carrots N are presented in (Fig. 1A). According to the obtained results of variance analysis, the effects of various individual and combination treatments on N contents were obvious. In general, the obtained results showed that by comparing the sole applications of K2SO4 and control (Hsp), The adoption of GWR80% led to a decrease in N contents of 31.9 and 22.9%, respectively, compared to GWR100%. However, when adopting GWR80%, N content was enhanced than GWR100% by applying sole soil applications of Hgd or a combined application of Hgd + Kh by 17.5 and 11.0%, respectively. While there was a non-significant effect by applying the combined applications of Hgd + K2SO4 and adopting GWR80% than GWR100%. On the other side, adopting GWR100% and applying the combined foliar applications of Hsp + Kh attained the maximum increase of N content (668 mg kg−1), although that significantly equaled the adoption of GWR100% x combined application of Hsp + K2SO4 (645 mg kg−1).
Influence of the sole or combined application of humic acid & potassium sources in the carrot plants under full and limited irrigation levels on N- Nitrogen (A), P- Phosphorus (B), and K- Potassium (C). The illustrated values in the figures are the average of the two growing seasons of 2019/2020 and 2020/2021. Vertical bars represent ± standard error (SE) of the means. Bars with different letters are statistically significant at p ≤ 0.05. Abbreviations: Control (spray with pure water); Hgd (applying humic acid as soil application); Hsp (applying humic acid as foliar spray applications); Kh (applying potassium humate as foliar spray applications); K2SO4 (applying potassium sulfate as foliar spray applications); 100 (applying 100% of gross irrigation water requirements); 80 (applying 80% of gross irrigation water requirements).
By comparing the examined applications under GWR100%, P content increased when applying combined applications of Hgd x foliar applications of K as (Kh or K2SO4), as can be seen in (Fig. 1B). Relative to control full irrigation treatment (GWR100%), P content increased by 23.0, 28.2,15.4, 63.6, 70.2, 28.5, and 45.4% for Kh, K2SO4, Hgd, Hgd + Kh, Hgd + K2SO4, Hsp + Kh, Hsp + K2SO4, respectively, while it was decreased by 4.5% under Hsp. Likewise, relative to control limited irrigation treatment (GWR80%), P contents increased by 48.9, 29.8, 36.2, 85.9, 93.5, 14.8, 57.9, and 80.2% for Kh, K2SO4, Hgd, Hgd + Kh, Hgd + K2SO4, Hsp, Hsp + Kh, Hsp + K2SO4, respectively. The results demonstrated that the highest P contents (53.4 mg kg−1), were obtained with GWR100% and applying combined foliar applications of Hgd + Kh, however, that significantly equaled the adoption of the combined application of Hgd + K2SO4 under the same irrigation level.
The results demonstrated that K has a unique role that can prevent serious injury to carrot plants under stressful conditions by increasing plant tolerance. Where, by comparing the control in (Fig. 1C), it was found that the adoption of GWR 80% had a significant difference in K contents compared to GWR100%. Therefore, when the limited irrigation was adopted, K contents increased by 27.7, 25.0, 18.2, 47.7, 37.5, 27.1, 43.0, and 45.0% for Kh, K2SO4, Hgd, Hgd + Kh, Hgd + K2SO4, Hsp, Hsp + Kh, Hsp + K2SO4, respectively, indicating that a limited irrigation water in these conditions increased K uptake. Additionally, it was found that the combined foliar applications of Hsp x foliar applications of K as (Kh or K2SO4) significantly increased K contents when adopting GWR100. Furthermore, GWR100% was pronounced with combined applications of Hsp + K2SO4 or GWR80% with combined applications of Hgd + Kh, for attaining the highest K content in the carrot root. However, applied combined applications of Hgd + Kh under water-limited treatment caused the greatest increase in K content to 735,4 (mg kg−1), an increase of 10.70% compared with that in Hgd + Kh under GWR100%.
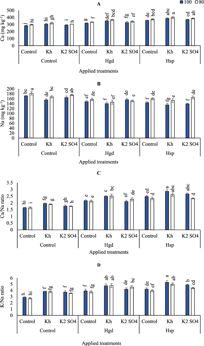
The Ca content in carrot root increased from 281 (mg kg−1) for the control to 385 (mg kg−1) in GWR100% treatment and applying Hsp + Kh (Fig. 2A). Likewise, adopting GWR80% of irrigation level and applying combined applications of Hsp + Kh or Hsp + K2SO4 were significantly equaled in attaining the greatest increase in Ca content under these stressful conditions, reaching about 399 and 385 (mg kg−1), respectively.
Influence of the sole or combined application of humic acid & potassium sources in the carrot plants under full and limited irrigation levels on Ca- calcium (A), Na- sodium (B), Ca/ Na ratio (C), and K/ Na ratio (D). The illustrated values in the figures are the average of the two growing seasons of 2019/2020 and 2020/2021. Vertical bars represent ± standard error (SE) of the means. Bars with different letters are statistically significant at p ≤ 0.05. Abbreviations: Control (spray with pure water); Hgd (applying humic acid as soil application); Hsp (applying humic acid as foliar spray applications); Kh (applying potassium humate as foliar spray applications); K2SO4 (applying potassium sulfate as foliar spray applications); 100 (applying 100% of gross irrigation water requirements); 80 (applying 80% of gross irrigation water requirements).
Based on the results of variance analysis, the individual and interaction impacts of examined irrigation levels, K, and H obviously affected Na content mainly by regulating water status. However, the dual interaction effects of K applications and irrigation were insignificant. The content of Na in carrot root was increased by adopting GWR80% compared to GWR100%, (Fig. 2B). Although foliar applications of K2SO4 in combination with Hgd increased Na content when adopting GWR100%. However, when adopting GWR80%, Na content attained the greatest increase by applying the sole foliar applications of K2SO4 (175 mg kg−1), which significantly equaled applying tap water (control). Compared irrigation levels under different examined applications, Na content was increased under GWR80% by 4.0, 8.4, 6.1, 6.1, 3.6, 11.1, 13.3, and 18.7% for control, Kh, K2SO4, Hgd, Hgd + Kh, Hsp, Hsp + Kh, Hsp + K2SO4, respectively.
The impacts of irrigation levels (100 and 80% GWR), H applications as (Hgd and Hsp), and K as (Kh and K2SO4) on the Ca /Na ratio in carrots are presented in (Fig. 2C). Depending on the results of variance analysis, the individual and interaction impacts of examined irrigation levels, K, and H obviously affected Ca /Na ratio. However, the individual impact of irrigation or the dual interaction effects of K applications and irrigation were insignificant. By comparing the examined treatments, occurred that Ca /Na ratio reached the peak by applying the combined foliar applications of Hsp + Kh by 2.86 and 2.61 under GWR100&80%, respectively. While those in the Hsp + K2SO4 treatment mostly reached a peak either (2.66), under GWR100%.
To maximize K /Na ratio in the carrot root, either Hgd combined with Kh or Hsp + Kh was applied to provide a protracted, under both irrigation levels (Fig. 2D). According to the results of variance analysis, the individual and interaction impacts of examined irrigation levels, K, and H obviously affected K /Na ratio. However, the individual impact of irrigation levels or the dual interaction effects of K applications and irrigation were insignificant. The results indicated that applied tap water under GWR100&80% led to a lower K /Na ratio (2.87 and 2.74, respectively). The highest K /Na ratio was obtained with GWR100&80% irrigation levels and applying foliar applications of Hsp + Kh. The following highest K /Na ratio was seen with the same irrigation level by using a combined application of Hgd + Kh.
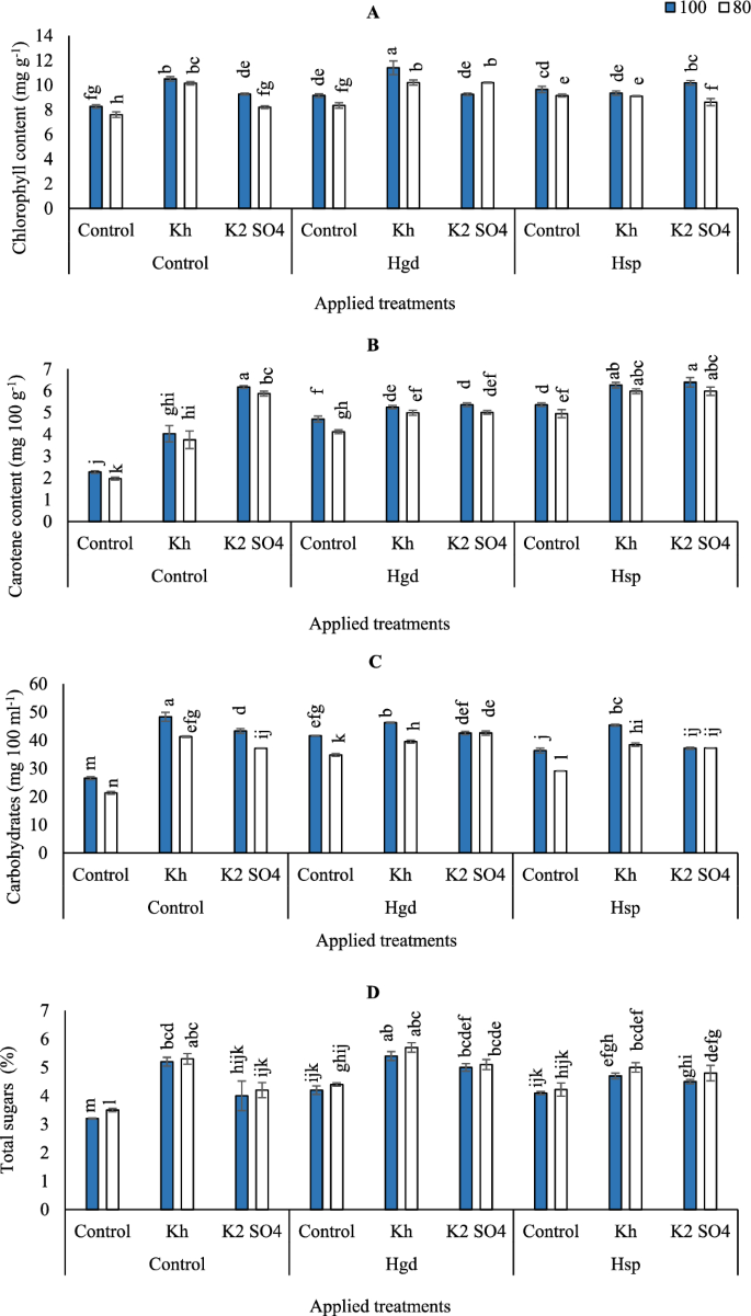
To increase the content of chlorophyll during the whole growth period, the carrot plant significantly influenced its chlorophyll formation and metabolic functions depending on irrigation quantities and K nutrition source. Therefore, chlorophyll content in the carrot leaves was enhanced by adopting GWR 100% compared to GWR 80%, (Fig. 3A). Although the sole applications of Hgd + Kh significantly improved chlorophyll content when adopting GWR80%, indicating the crucial role that K combined with humic play in plant-water relations under limited irrigation conditions. In the full irrigation (GWR100%) under different examined applications treatments, chlorophyll content increased compared to GWR 80% by 8.8, 3.5, 13.1, 9.7, 11.8, 5.5, 2.8, and 18.1% for control, Kh, K2SO4, Hgd, Hgd + Kh, Hsp, Hsp + Kh, Hsp + K2SO4, respectively. While it was increased under GWR80% compared to GWR100% by 10.3% for Hgd + Kh treatment. Generally, full irrigation level (GWR100%) was pronounced with the combined soil Hgd x foliar applications of Kh for attaining the highest chlorophyll content (11.4 mg g−1).
Influence of the sole or combined application of humic acid & potassium sources in the carrot plants under full and limited irrigation levels on chlorophyll (A), carotene (B), carbohydrates (C), and total sugar (D). The illustrated values in the figures are the average of the two growing seasons of 2019/2020 and 2020/2021. Vertical bars represent ± standard error (SE) of the means. Bars with different letters are statistically significant at p ≤ 0.05. Abbreviations: Control (spray with pure water); Hgd (applying humic acid as soil application); Hsp (applying humic acid as foliar spray applications); Kh (applying potassium humate as foliar spray applications); K2SO4 (applying potassium sulfate as foliar spray applications); 100 (applying 100% of gross irrigation water requirements); 80 (applying 80% of gross irrigation water requirements).
On the other hand, compared to the control treatments in (Fig. 3B), the contents of the carotene were significantly increased by adopting GWR100% compared to GWR80%, except for the applications of Kh, Hgd + Kh, Hgd + K2SO4, Hsp + Kh, and Hsp + K2SO4. The highest carotene contents were recorded by applying combined foliar applications of Hsp + (Kh or K2SO4) and adopting GWR100&80%, although that significantly equaled GWR100% x sole application of K2SO4. While the lowest carotene content was obtained under control GWR80% irrigation level (1.97 mg 100 g−1).
According to the results of variance analysis (Table 5), the individual and interaction impacts of examined irrigation levels, K, and H obviously affected carbohydrate content. However, the dual interaction effects of H applications and irrigation were insignificant. As can be seen in (Fig. 3C), adopting GWR80% of irrigation level decreased the carbohydrate content in the carrot root compared to GWR100%, except for the combined applications of Hgd + K2SO4 or Hsp + K2SO4. Moreover, the maximum increase of carbohydrates was obtained for the sole foliar applications of Kh when adopting GWR100%. The highest carbohydrate contents (48.3 mg 100 mL−1) were obtained by applying sole foliar applications of Kh and adopting GWR100. Likewise, adopting GWR80% without any auxiliary applications attains the lowest carbohydrate content (21.3 mg 100 mL−1).
Relative to control full irrigation treatment (GWR100%), total sugars in the carrot root in (Fig. 3D) increased by 62.5, 25.0, 31.3, 68.8, 56.3, 28.1,46.9 and 40.6% for Kh, K2SO4, Hgd, Hgd + Kh, Hgd + K2SO4, Hsp, Hsp + Kh, Hsp + K2SO4, respectively. Likewise, relative to control GWR80%, total sugars increased by 51.4, 20.0, 25.7, 62.9, 45.7, 20.6, 42.9, and 37.1% for Kh, K2SO4, Hgd, Hgd + Kh, Hgd + K2SO4, Hsp, Hsp + Kh, Hsp + K2SO4, respectively. Collectively, spraying Kh applied as combined with soil application of Hgd under GWR100& 80%, resulted in significantly higher values than the other treatments (5.4 and 5.7%, respectively), although that significantly equaled GWR80% x sole application of Kh (5.3%).
Impacts of the H and K applications on carrots agronomic traits under full and limited irrigation levels.
Based on the results of variance analysis, the individual and interaction impacts of examined irrigation levels, K, and H obviously affected plant height. However, the dual interaction effects of H applications and irrigation or K applications and irrigation were insignificant. The results in (Fig. 4A) indicated that the adoption of GWR80% led to a decrease in carrot plant height. Therefore, when the limited irrigation was adopted, plant height values decreased by 35.3, 18.2, 26.7, 22.2, 15.8, 25.7, 30.4,20.6 and 32.3% for control, Kh, K2SO4, Hgd, Hgd + Kh, Hgd + K2SO4, Hsp, Hsp + Kh, Hsp + K2SO4, respectively, indicating that apply full irrigation water under these conditions increased plant height. The highest plant height was obtained with GWR100% irrigation level and applying the applications of Hgd or Hsp applied as combined with foliar applications of (Kh or K2SO4). The lowest plant height was seen under control at GWR80%.
Influence of the sole or combined application of humic acid & potassium sources in the carrot plants under full and limited irrigation levels on carrot pants height (A), number of leaves per plant (B), root diameter (C), root length (D), shoot fresh weight (E), and weight of root (F). The illustrated values in the figures are the average of the two growing seasons of 2019/2020 and 2020/2021. Vertical bars represent ± standard error (SE) of the means. Bars with different letters are statistically significant at p ≤ 0.05. Abbreviations: Control (spray with pure water); Hgd (applying humic acid as soil application); Hsp (applying humic acid as foliar spray applications); Kh (applying potassium humate as foliar spray applications); K2SO4 (applying potassium sulfate as foliar spray applications); 100 (applying 100% of gross irrigation water requirements); 80 (applying 80% of gross irrigation water requirements).
By comparing the control in (Fig. 4B), it was found that the adoption of GWR80% irrigation level had a significant difference in the number of carrot leaves compared to GWR100%. Additionally, this impact has remained unchanged under the various examined treatments, except for the sole foliar applications of Kh or under Hgd + Kh treatment. In addition, the maximum increase in the number of carrot leaves was obtained for the sole foliar applications of K2SO4 when adopting GWR100% (14), that were significantly equaled GWR100% x the combined applications of Hsp + K2SO4 (11).
As can be seen in (Fig. 4C), it was found that the combined foliar applications of Hgd x foliar applications of Kh significantly decreased the diameter of carrot root when adopting GWR100& 80%, although that significantly equaled the control GWR100& 80% without any auxiliary applications. On the other side, both combined applications of Hsp + K2SO4 or Hgd + K2SO4 were pronounced for attaining the highest root diameter values under GWR100&80%.
On the other hand, the superiority of Hgd applications with limited irrigation (GWR80%) is still pronounced compared to Hsp causing increases in carrot root length, shoot fresh weight and the weight of carrot roots as can be seen in (Fig. 4D,E,F). According to the results of variance analysis, the individual and interaction impacts of the examined irrigation levels, K, and H on root length were significant; however, the interaction impacts of irrigation + K or irrigation + H were not significant. Similarly, the individual and interaction impacts of the examined irrigation levels, K, and H on shoot fresh weight were significant, however, the individual impacts of irrigation or the interaction impacts of irrigation + K on the weight of carrot roots were not significant. The results indicated that the highest increase in the carrot root length (20 cm), was obtained for the combined application of Hgd + Kh when adopting GWR80%. Likewise, the adoption of combined application of Hgd + Kh applications under GWR80% attained the highest shoot fresh weight (1207 g plant−1), although that significantly equaled GWR100% x combined application of Hgd + Kh (1177 g plant−1). Moreover, the adoption of combined application of Hgd + K2SO4 applications under GWR80% attaining the highest weight of carrot roots (142 g plant−1), although that significantly equaled GWR100% x combined application of Hgd + K2SO4 (121 g plant−1).
Impacts of the H and K applications on carrots yield and Iwue under full and limited irrigation levels
According to the results of variance analysis, the individual and interaction impacts of examined irrigation levels, K, and H obviously affected carrot yield. Compared to the examined irrigation level in control treatment without any auxiliary applications, carrot yield was increased by adopting GWR100% of irrigation level compared to GWR80%, (Fig. 5A). Although there was an improvement by applying auxiliary applications as sole or combined forms when adopting GWR80%. Relative to control full irrigation treatment (GWR100%), carrot yield increased by 105.0, 30.0, 104.8, 2.7, 163.1, 54.1, 208.9, and 246.4% for Kh, K2SO4, Hgd, Hgd + Kh, Hgd + K2SO4, Hsp, Hsp + Kh, Hsp + K2SO4, respectively. Likewise, relative to control limited irrigation treatment (GWR80%), carrot yield increased by 222.2, 89.2, 261.4, 178.0, 374.0, 144.3, 349.9, and 292.3% for Kh, K2SO4, Hgd, Hgd + Kh, Hgd + K2SO4, Hsp, Hsp + Kh, Hsp + K2SO4, respectively. The highest carrot yield was observed by applying the foliar applications of Hsp + K2SO4 under GWR100% (40,183 kg ha−1). Likewise, when adopting the GWR80% irrigation level without any auxiliary applications, the carrot yield attained the lowest recorded value (7865 kg ha−1). Furthermore, the combined applications of Hgd + Kh were found to have decreased carrot yield, particularly under GWR 100%.
Influence of the sole or combined application of humic acid & potassium sources in the carrot plants under full and limited irrigation levels on carrot yield (A) and Iwue- irrigation water use efficiency (B). The illustrated values in the figures are the average of the two growing seasons of 2019/2020 and 2020/2021. Vertical bars represent ± standard error (SE) of the means. Bars with different letters are statistically significant at p ≤ 0.05. Abbreviations: Control (spray with pure water); Hgd (applying humic acid as soil application); Hsp (applying humic acid as foliar spray applications); Kh (applying potassium humate as foliar spray applications); K2SO4 (applying potassium sulfate as foliar spray applications); 100 (applying 100% of gross irrigation water requirements); 80 (applying 80% of gross irrigation water requirements).
As can be seen in (Fig. 5B), under limited irrigation water, Iwue slightly decreased significantly in control treatment by 2.4 kg m−3, a decrease of 14.2% compared to that in GWR100%. By adopting the GWR80% irrigation level, Iwue increased from 2.4 (kg m−3) for the control GWR80% without any auxiliary applications to 11.4 (kg m−3) for Hgd + K2SO4. Additionally, by adopting GWR80% Iwue increased by 137.0% in Hgd + Kh and by 57.9% in Hgd + K2SO4 compared with that in GWR100%. The lowest Iwue values 2.81 (kg m−3) were recorded by applying combined foliar applications of Hgd + Kh and adopting GWR100%, although that significantly equaled the control of GWR100& 80% without any auxiliary applications. The lowest Iwue values were in control GWR80%, followed by control GWR100% (2.81 kg m−3) or under the same irrigation level (GWR100%) × (Hgd + Kh) at 2.81 kg m−3.
Discussion
Efficient water management has become imperative for water conservation in many regions worldwide. Implementing appropriate irrigation scheduling and fertigation techniques can help reduce water loss and increase Iwue.
In our study, we observed significant yield reductions in carrot crops subjected to limited irrigation at GWR80%. This indicates that under GWR80%, the available water for carrot plants is critically reduced, resulting in decreased solubility and uptake of essential macronutrients such as N and P (Fig. 1A,B), and an increase in Na uptake (Fig. 2B). Notably, P plays a crucial role in root growth and architecture49,50,51. While N and P are essential for chlorophyll and carbohydrate synthesis, as depicted in (Fig. 3A,C). The limited availability of these nutrients leads to root elongation in search of water and nutrients, which subsequently results in reduced plant height, root diameter, root length, shoot fresh weight, and weight of carrot roots. Ultimately, this decreases the efficiency of the carrot plant and reflects in reduced yield and Iwue under these conditions. These findings align with previous studies, such as that of Ali52, which identified the sensitivity of carrot plants to water stress, especially during the initial and developmental stages. Additionally, Abdel-manly53 suggested avoiding water stress during the carrot growing season and, at worst, setting an irrigation threshold of 40% soil water deficiency to mitigate the severe impacts of water stress on carrot yield.
Based on this premise, our study hypothesized that providing plants with supplemental applications would enable them to overcome and improve their defense mechanisms against the adverse effects of water stress.
Regarding these supplemental applications, our results indicate that under full irrigation, adopting combined applications of humic acid through foliar applications (Hsp) along with either Kh or K2SO4 was beneficial. Conversely, under limited irrigation at GWR80%, sole and combined applications of humic acid through soil drenching (Hgd) with K2SO4 showed better results in increasing carrot yield. We postulated that under GWR100% irrigation, there is a higher stomatal opening in plant leaves54,55. Therefore, applying foliar applications of Hsp in conjunction with potassium applications, either as Kh or K2SO4, enhances nutrient absorption due to the synergistic benefits of potassium and humic acid applications. Particularly, Hsp facilitates the direct delivery of sufficient nutrients to the production sites (plant leaves), compensating for the reduced efficiency of the carrot roots under these conditions47, which subsequently leads to increased nutrient absorption as shown in (Figs. 1A,C and 2A,C,D). Furthermore, this results in improvements in physiological processes such as transpiration and water storage in carrot leaves, ultimately leading to improved carrot yield (Fig. 4A) under these conditions. On the other hand, under GWR80%, the sole application of Hgd was more effective in increasing carrot yield compared to Hsp. In this scenario, we hypothesized that plants tend to reduce their activities, including decreased transpiration rates and increased stomatal closure, as a protective mechanism to cope with water stress and maintain their water status. Under these conditions, the root system becomes the controller of plant activities47. Hence, the application of Hgd offers several benefits, including improved soil water retention capacity, enhanced nutrient uptake in both shoots and roots, increased vegetative growth, and yield, as well as carbohydrate and carotenoid content, which is consistent with the findings of previous studies14,56.
In contrast, we observed negative effects on carrot yield when adopting the combined applications of Hgd + Kh, especially under full irrigation conditions. We attribute this to the high doses of humic substances resulting from the simultaneous application of Hgd + Kh under favorable conditions. To clarify, the foliar application of Kh appeared to provide significant amounts of plant nutrient requirements, compensating for the reduced efficiency of the carrot roots, particularly under GWR100%. On the other hand, while the application of Hgd improved soil organic matter contents (Table 4) and soil physical properties10,57, formed chelate components with cationic metals58,59, and enhanced nutrient metabolism and photosynthesis8,60, it seemed to primarily promote rapid growth of vegetative plant organs rather than reproductive plant organs. This led to a shortened storage period compared to the vegetative period, resulting in reduced root diameter and weight (Fig. 4C,F), but increased plant height, number of leaves, and shoot fresh weight (Fig. 4A,B,E). These outcomes align with the findings of previous studies61 indicating that high doses of humic substances can improve soil physical characteristics but have uncertain effects on chemical soil characteristics and crops28. Furthermore, Raheem et al.62 demonstrated that increasing the application rate of humic acid resulted in the lowest total yield of lettuce, and Maibodi et al.63 found that only 100 mg l−1 of humic acid improved various characteristics of perennial ryegrass. Asri et al.64 showed that tomato fruit weight, diameter, and yield increased with increasing rates of humic acid up to a certain threshold, beyond which negative effects emerged. Similar findings have been reported by10,65 highlighting the variability of organic amendments' impact on crop yield, which is influenced by environmental factors, soil conditions, the composition of the amendment, and crop type. Therefore, our results emphasize the importance of careful fertigation management, particularly when applying organic amendments under full irrigation conditions. This approach promotes accelerated production and storage processes over vegetative processes, resulting in increased carrot yield.
Based on our findings, the adoption of combined applications of Hgd + K2SO4 under GWR80% improved carrot yield and achieved the highest Iwue values. We hypothesize that when implementing limited irrigation, plants experience some degree of water stress, which triggers a series of physiological responses. These reductions in water availability seem to enhance root efficiency47. While negatively impacting yield under control treatments. However, applying Hgd improves soil water and nutrient status by increasing nutrient availability, leading to improved water and nutrient absorption from the rhizosphere, as observed in available K values (Table 4). This, in turn, increases agronomic traits (Fig. 4C,F), carrot yield (Fig. 5A), and enhances plant tolerance to water stress. These findings align with previous studies14,66, which have shown the indirect effects of humic acids on soil properties such as aggregation, aeration, permeability, water-holding capacity, micronutrient transport, and availability67,68,69 , as well as the direct effects on photosynthesis, plant growth, crop performance, and nutrient uptake rate10,70. Furthermore, the foliar application of K2SO4 provides significant amounts of potassium, which contributes to cell membrane integrity through osmotic adjustment, regulates stomatal movement, catalyzes cell division, enhances yield and quality, facilitates carbohydrate transformation, and promotes sugar synthesis71,72,73,74. Additionally, humic substances and K2SO4 enhance the exudation of organic acids by plant roots (Table 4), influencing root length, carrot size, and membrane integrity through osmotic adjustment, thus affecting root fresh weight and yield14,75. These findings are consistent with Rose et al.28, who demonstrated that the combined application of humic and mineral fertilizers forms complexes that release nutrients slowly, leading to increased yield. Consequently, the combined applications result in higher yields with reduced irrigation quantities, leading to the highest Iwue for carrots under these conditions.
Conclusion
This research highlights the positive effects of supplying stressed carrot plants with auxiliary foliar applications of potassium and humic amendments, leading to improved nutrient uptake and carrot yield. However, the combined application of foliar potassium humate and soil amendments of humic resulted in a decrease in carrot yield, regardless of whether full or limited irrigation levels were applied. These findings challenge the notion that organic applications always enhance yield and suggest that the impact is influenced by factors such as the specific fertigation technique and the quantities of humic substances applied. Further studies are needed to explore this impact on other crops.
For regions facing water scarcity, it is recommended to adopt combined foliar applications of potassium sulfate and soil amendments of humic at 80% of the gross irrigation water requirements as auxiliary treatments for water-stressed carrot plants. These combined applications have shown the potential to improve nutrient uptake, carrot yield, and mitigate the effects of water stress. Furthermore, they enable a higher increase in water use efficiency for carrot crops.
Data availability
The presented datasets during the current study available from the corresponding author on reasonable request.
References
IPCC Climate change 2019: The physical science basis. Contribution of working group I to the fifth assessment report of the intergovernmental panel on climate change (2019).
Kadiresan, K. & Khanal, P. R. Rethinking irrigation for global food security. Irrig. Drain. 67, 8–11. https://doi.org/10.1002/ird.2219 (2018).
Abaza, A. S. D. et al. Impact of different sowing dates and irrigation levels on NPK absorption, yield and water use efficiency of maize. Sci. Rep. 13, 12956. https://doi.org/10.1038/s41598-023-40032-9 (2023).
Anjum, S. A. et al. Effect of progressive drought stress on growth, leaf gas exchange, and antioxidant production in two maize cultivars. Environ. Sci. Pollut. Res. 23, 17132–17141. https://doi.org/10.1007/s11356-016-6894-8 (2016).
Merwad, A. M. A., Desoky, E. M. & Rady, M. M. Response of water deficit- stressed Vigna unguiculata performances to silicon, proline or methionine foliar application. Sci. Hortic. 228, 132–144. https://doi.org/10.1016/j.scienta.2017.10.008 (2018).
Heidarzadeh, A., Modarres-Sanavy, S. A. M. & Mokhtassi-Bidgoli, A. Changes in yield and essential oil compositions of dracocephalum kotschyi boiss in response to azocompost, vermicompost, nitroxin, and urea under water deficit stress. J. Soil Sci. Plant Nutr. 22, 896–913. https://doi.org/10.1007/s42729-021-00700-z (2022).
Khan, R. U. et al. Effect of humic acid on growth and crop nutrient status of wheat on two different soils. J. Plant Nut. 4, 453–460. https://doi.org/10.1080/01904167.2017.1385807 (2018).
Nardi, S., Schiavon, M. & Francioso, O. Chemical structure and biological activity of humic substances define their role as plant growth promoters. Molecules 26, 2256. https://doi.org/10.3390/molecules26082256 (2021).
De Melo, B. A. G., Motta, F. L. & Santana, M. H. A. Humic acids: Structural properties and multiple functionalities for novel technological developments. Mater. Sci. Eng. 62, 967–974. https://doi.org/10.1016/j.msec.2015.12.001 (2016).
Ampong, K., Thilakaranthna, M. S. & Gorim, L. Y. Understanding the role of humic acids on crop performance and soil health. Front. Agron. 4, 848621. https://doi.org/10.3389/fagro.2022.848621 (2022).
Muscolo, A., Sidari, M., Francioso, O., Tugnoli, V. & Nardi, S. The auxin-like activity of humic substances is related to membrane interactions in carrot cell cultures. J. Chem. Ecol. 33, 115–129. https://doi.org/10.1007/s10886-006-9206-9 (2007).
Zhang, L. et al. Role of exogenous glycinebetaine and humic acid in mitigating drought stress-induced adverse effects in Malus robusta seedlings. Turk. J. Bot. 37, 920–929 (2013).
Olk, D. C., Dinnes, D. L., Scoresby, J. R., Callaway, J. W. & Darlington, C. R. Humic products in agriculture: Potential benefits and research challenges—a review. J. Soil Sedimen 18, 2881–2891. https://doi.org/10.1007/s11368-018-1916-4 (2018).
Omar, M. M. & Ramadan, A. Y. Response of carrot (Daucus carota L.) to foliar application of potassium fertilizers and some soil amendments under clay soil conditions. J. Soil Sci. Agric. Eng. Mansoura Univ. 9, 197–202 (2018).
Yildiztekin, M., Tuna, A. L. & Kaya, C. Physiological effects of the brown seaweed (Ascophyllum nodosum) and humic substances on plant growth, enzyme activities of certain pepper plants grown under salt stress. Acta Biol. Hung. 69, 325–335. https://doi.org/10.1556/018.68.2018.3.8 (2018).
Dinçsoy, M. & Sönmez, F. The effect of potassium and humic acid applications on yield and nutrient contents of wheat (Triticum aestivum L. var. Delfii) with same soil properties. J. Plant Nutr. 42, 2757–2772. https://doi.org/10.1080/01904167.2019.1658777 (2019).
Albayrak, S. & Camas, N. Effects of different levels and application times of humic acid on root and leaf yield and yield components of forage turnip (Brassica rapa L.). J. Agrono. 4, 130–133 (2005).
Fouda, K. F. Effect of foliar application of humic acid, Em and mineral fertilization on yield and quality of carrot under organic fertilization. J. Soil. Sci. Agric. Eng. 12, 1–7. https://doi.org/10.21608/jssae.2021.152002 (2021).
Chantaro, P., Devahastin, S. & Chiewchan, N. Production of antioxidant high dietary fiber powder from carrot peels. Food Sci. Technol. 41, 1987–1994. https://doi.org/10.1016/j.lwt.2007.11.013 (2008).
Sharma, K. D., Karki, S., Thakur, N. S. & Attri, S. Chemical composition, functional properties and processing of carrot -a review. J. Food Sci. Tech. 49, 22–32. https://doi.org/10.1007/s13197-011-0310-7 (2012).
El-Bassiouny, H. S. M., Bakry, B. A., Attia, A.A.E.-M. & Allah, M. M. A. Physiological role of humic acid and nicotinamide on improving plant growth, yield, and mineral nutrient of wheat (<i>Triticum durum</i>) grown under newly reclaimed sandy soil. Agric. Sci. 05(08), 687–700. https://doi.org/10.4236/as.2014.58072 (2014).
Mohammed, M., Meawad, A., El-Mogy, E. & Abdelkader, M. Growth, yield components and chemical constituents of Stevia rebaudiana Bert. as affected by humic acid and npk fertilization rates. Zagazig J. Agric. Res. 46, 13–26. https://doi.org/10.21608/zjar.2019.40172 (2019).
Hemati, A. et al. Effects of foliar application of humic acid extracts and indole acetic acid on important growth indices of canola (Brassica napus L.). Sci. Rep. 12, 20033. https://doi.org/10.1038/s41598-022-21997-5 (2022).
Rostami, M., Shokouhian, A. & Mohebodini, M. Effect of humic acid, nitrogen concentrations and application method on the morphological, yield and biochemical characteristics of strawberry ‘Paros’. Int. J. Fruit Sci. 22, 203–214. https://doi.org/10.1080/15538362.2021.2022566 (2022).
Abou Zeid, S. T. & Abd El-Latif, A. L. Evaluation of potassium sources and rates on the yield and quality of fertigated potato grown in sandy soil. Egypt. J. Soil Sci. 57(1), 15–21. https://doi.org/10.21608/ejss.2017.3413 (2017).
Ibrahim, M. F. M. et al. Regulation of agronomic traits, nutrient uptake, osmolytes and antioxidants of maize as influenced by exogenous potassium silicate under deficit irrigation and semiarid conditions. Agronomy 10(8), 1212. https://doi.org/10.3390/agronomy10081212 (2020).
Zhang, L. J. et al. Potassium silicate combined with glycine betaine improved salt tolerance in Dalbergia odorifera. Biol. Plant. 65, 323–332. https://doi.org/10.32615/bp.2021.044 (2021).
Rose, M. T. et al. A meta-analysis and review of plant-growth response to humic substances: Practical implications for agriculture. Adv. Agron. 124, 37–89. https://doi.org/10.1016/B978-0-12-800138-7.00002-4 (2014).
Radwan, E. A., El-Shall, Z. S. A. & Ali, R. A. M. Effect of potassium fertilization and humic acid application on plant growth and productivity of potato plants under clay soil. J. Plant Prod. 2, 877–890 (2011).
Enan, S. A. A. M., Aly, E. F. A. & Badr, A. I. Effect of humic acid and potassium on yield and quality of some sugar beet varieties in sandy soil. J. Plant Prod. Mansoura Univ. 7, 289–297. https://doi.org/10.21608/jpp.2016.45342 (2016).
Elshamly, A. M. S. Cobalt combined with potassium humate as beneficial applications in alleviating water stress impacts on groundnut during sensitive growth stages. J. Soil Sci. Plant Nutr. https://doi.org/10.1007/s42729-023-01367-4 (2023).
Basha, D. M. A., Hellal, F. & El-Sayed, S. Effects of potassium and humic acid on amelioration of soil salinity hazardous on pea plants. Asian J. Soil Sci. Plant Nutr. 5, 1–10. https://doi.org/10.9734/ajsspn/2019/v5i430073 (2020).
Zaman, M., Shahid, S. A. & Heng, L. Irrigation water quality. In Guideline for salinity assessment, mitigation and adaptation using nuclear and related techniques (eds Zaman, M. et al.) 113–131 (Springer International Publishing, 2018). https://doi.org/10.1007/978-3-319-96190-3_5.
Soil Survey Staff Keys to soil taxonomy, 12thedn.United States Department of Agriculture, Natural Resources Conservation Service, Washington, p 360. (2014).
Estefan, G., Sommer, R. & Ryan, J. Methods of soil, plant, and water analysis: a manual for the west, Asia and North Africa region. ICARDA, Beirut, Lebanon. (2013).
Vaz, C. M. P., Jones, S., Meding, M. & Tuller, M. Evaluation of standard calibration functions for eight electromagnetic soil moisture sensors. Vadose Zone J. 12, 1–16. https://doi.org/10.2136/vzj2012.0160 (2013).
Khan, W. A., Rahman, J. U., Mohammed, M., Al Hussain, Z. A. & Elbashir, M. K. Topological sustainability of crop water requirements and irrigation scheduling of some main crops based on the Penman–Monteith Method. J. Chem. https://doi.org/10.1155/2021/8552547 (2021).
Elshamly, A. M. S. Interaction effects of sowing date, irrigation levels, chitosan, and potassium silicate on yield and water use efficiency for maize grown under arid climate. Gesunde Pflanzen https://doi.org/10.1007/s10343-023-00836-1 (2023).
Allen, R., Pereira, L. S., Raes, D., & Smith, M. Chapter 6-ETc-Single crop coefficient (KC). In: Crop evapotranspiration—guidelines for computing crop water requirements—FAO irrigation and drainage paper 56. FAO-Food and Agriculture Organization of the United Nations. Rome, Italy. (1998).
Al-Omran, A., Eid, S. & Alshammari, F. Crop water requirements of date palm based on actual applied water and penman–monteith calculations in Saudi Arabia. Appl. Water Sci. 9, 69–78. https://doi.org/10.1007/s13201-019-0936-6 (2019).
El Namas, A. E. Effect of deficit irrigation and biochar application on growth, yield components, water use efficiency and water productivity of banana (Musa sapientum) grown in sandy soil under drip irrigation. J. Soil Sci. Agric. Eng. 11, 163–175 (2020).
Abdelkader, M. M. & Elsayed, H. M. Biodiversity of photosynthetic pigments, macronutrients uptake and fruit quality of tomato genotypes. Russ. J. Plant Physiol. 69, 50. https://doi.org/10.1134/S1021443722030025 (2022).
Kumssa, D. B. et al. Cereal grain mineral micronutrient and soil chemistry data from Geo Nutrition surveys in Ethiopia and Malawi. Sci. Data 9, 443. https://doi.org/10.1038/s41597-022-01500-5 (2022).
Boadi, N. O. et al. Nutritional composition and antioxidant properties of three varieties of carrot (Daucus carota). Sci. African 12, e00801. https://doi.org/10.1016/j.sciaf.2021.e00801 (2021).
Yusuf, E., Tkacz, K., Turkiewicz, I. P., Wojdyło, A. & Nowicka, P. Analysis of chemical compounds content in different varieties of carrots, including qualification and quantification of sugars, organic acids, minerals, and bioactive compounds by UPLC. Eur. Food Res. Technol. 247, 3053–3062. https://doi.org/10.1007/s00217-021-03857-0 (2021).
Molina, A. K. et al. Extraction of chlorophylls from Daucus carota L. and Solanum lycopersicum var. cerasiforme crop by-products. Food Chem. Adv. 1, 100048. https://doi.org/10.1016/j.focha.2022.100048 (2022).
Elshamly, A. M. S. Minimizing the adverse impact of drought on corn by applying foliar potassium humate combined with chitosan. J. Soil Sci. Plant Nutr. 23, 1913–1929. https://doi.org/10.1007/s42729-023-01146-1 (2023).
Casella, G. Statistical Design 1st edn. (Springer, Gainesville, 2008).
Heydari, M. M., Brook, R. M. & Jones, D. L. The role of phosphorus sources on root diameter, root length and root dry matter of barley (Hordeum vulgare L.). J. Plant Nutr. 42, 1–15 (2019).
Huang, W. et al. Phosphorus deficiency promotes the lateral root growth of Fraxinus mandshurica seedlings. J. Soil Sci. Plant Nutr. 182, 552–559. https://doi.org/10.1002/jpln.201800465 (2019).
Bechtaoui, N. et al. Phosphate-dependent regulation of growth and stresses management in plants. Front. Plant Sci. 12, 2357. https://doi.org/10.3389/fpls.2021.679916 (2021).
Ali, A. A. Effect of deficit irrigation during growth stages on water use efficiency of carrot under El-Ismailia conditions. Egypt. J. Soil Sci. 57, 393–406. https://doi.org/10.21608/ejss.2017.612.1076 (2017).
Abdel-mawly, S. E. Growth, yield, N uptake and water use efficiency of carrot (Daucus carota L.) plants as influenced by irrigation level and nitrogen fertilization rate. Assiut Univ. Bull Environ Res. 7, 111–122 (2004).
Buckley, T. N. How do stomata respond to water status?. New Phytol. 224, 21–36. https://doi.org/10.1111/nph.15899 (2019).
Driesen, E., Van den Ende, W., De Proft, M., De Proft, M. & Saeys, W. Influence of environmental factors light, CO2, temperature, and relative humidity on stomatal opening and development: A review. Agronomy 10, 1975–2002. https://doi.org/10.3390/agronomy10121975 (2020).
Abdel Naby, H. M. E., Dawa, K. K., El-Gamily, E. E. & El-Hameed, S. M. A. Effect of organic, bio and mineral fertilization on yield and quality of carrot plants. J. Plant Prod. 4, 335–349 (2013).
Sible, C. N., Seebauer, J. R. & Below, F. E. Plant biostimulants: A categorical review, their implications for row crop production, and relation to soil health indicators. Agronomy 11, 1297. https://doi.org/10.3390/agronomy11071297 (2021).
Yamaguchi, T. et al. Effect of humic acid, sodium, and calcium additions on the formation of water-stable aggregates in Western Australian wheatbelt soils. Aust. J. Soil Res. 42, 435–439. https://doi.org/10.1071/SR03053 (2004).
Billingham, K. L. Humic products-potential or presumption for agriculture? Can humic products improve my soil?. In 27th Annual Conference (Orange, NSW: Grassland Society of NSWInc.). https://uknowledge.uky.edu/cgi/viewcontent.cgi?article=1613&context=igc (2012). (accessed 12 July 2023)
Canellas, L. P., Canellas, N. O. A., Luiz Eduardo, L. E. S., Olivares, F. L. & Piccolo, A. Plant chemical priming by humic acids. Chem. Biol. Technol. Agric. 7, 12. https://doi.org/10.1186/s40538-020-00178-4 (2020).
Gollenbeek, L. & Van Der Weide, R. Prospects for humic acid products from digestate in the Netherlands. Report WPR-867, 5–40 https://doi.org/10.18174/541280 (2020).
Raheem, S., Ibrahum Al-Jaf, H., Raheem, S. M., Al-Jaf, H. I. & Tofiq, G. K. Influence of foliar and soil application of humic acid on growth and yield of lettuce. Euphrates J. Agric. Sci. 10, 199–204 (2018).
Maibodi, D. M., Kafi, N. M., Nikbakht, A. & Rejali, F. Effect of foliar applications of humic acid on growth, visual quality, nutrients content and root parameters of perennial ryegrass (Lolium perenne L.). J. Plant Nutr. 38, 224–236. https://doi.org/10.1080/01904167.2014.939759 (2015).
Asri, F. O., Demirtas, E. I. & Ari, N. Changes in fruit yield, quality and nutrient concentrations in response to soil humic acid applications in processing tomato. Bulgarian J. Agric. Sci. 21, 585–591 (2015).
Iacomino, G. et al. Biochar and compost application either alone or in combination affects vegetable yield in a volcanic mediterranean soil. Agronomy 12, 1996. https://doi.org/10.3390/agronomy12091996 (2022).
Salim, B., Taha, N. & Abou El-Yazied, A. Stimulating the growth, storage root yield and quality of carrot plant by phosphoric acid, potassium and boric acid foliar applications. Sci. J. Agric. Sci. 1, 12–22. https://doi.org/10.21608/sjas.2022.111487.1175 (2022).
Saruhan, V., Kusuran, A. & Babat, S. The effect of different humic acid fertilization on yield and yield components performances of common millet (Panicum miliaceum L). Sci. Res. Ess. 6, 663–669 (2011).
Daur, I. & Bakhashwain, A. A. Effect of humic acid on growth and quality of maize fodder production. Pak. J. Bot. 45, 21–25 (2013).
Kumar Sootahar, M. et al. The effect of fulvic acids derived from different materials on changing properties of albic black soil in the northeast plain of China. Molecules 24, 1535. https://doi.org/10.3390/molecules24081535 (2019).
Noroozisharaf, A. & Kaviani, M. Effect of soil application of humic acid on nutrients uptake, essential oil and chemical compositions of garden thyme (Thymus vulgaris L.) under greenhouse conditions. Physiol. Mol. Biol. Plants. 24, 423–431. https://doi.org/10.1007/s12298-018-0510-y (2018).
El-Tohamy, W. A., El-Abagy, H. M., Badr, M. A., Abou-Hussein, S. D. & Helmy, Y. I. The influence of foliar application of potassium on yield and quality of carrot (Daucus carota L.) plants grown under sandy soil conditions. Aust. J. Basic Appl. Sci. 5, 171–174 (2011).
El-Nasr, A. & Ibrahim, E. A. Effect of different potassium fertilizer rates and foliar application with some sources of potassium on growth, yield and quality of carrot plants (Daucus carota L.). J. Plant Prod. 2, 559–569. https://doi.org/10.21608/jpp.2011.85591 (2011).
Banerjee, H. et al. Fertilization impacts on productivity and profitability of potato. Better Crops Plant Food 100, 7–9 (2016).
Hasanuzzaman, M. et al. Potassium: A vital regulator of plant responses and tolerance to abiotic stresses. Agronomy 8, 31. https://doi.org/10.3390/agronomy8030031 (2018).
Canellas, L. P. et al. Humic acids cross interactions with root and organic acids. Ann. Appl. Biol. 153, 157–166. https://doi.org/10.1111/j.1744-7348.2008.00249.x (2008).
Acknowledgements
The authors would like to thank the Water Studies and Research Complex (WSRC) Station and National Water Research Center (NWRC) for their financial support to conduct this work.
Funding
Open access funding provided by The Science, Technology & Innovation Funding Authority (STDF) in cooperation with The Egyptian Knowledge Bank (EKB).
Author information
Authors and Affiliations
Contributions
All authors contributed to the study conception and design. Material preparation, data collection was performed by [A.M.S.E.]; S.M.A.N. contributed to the section Statistical analysis. The first draft of the manuscript was written by [A.M.S.E.] and all authors commented on previous versions of the manuscript. All authors read and approved the final manuscript.
Corresponding author
Ethics declarations
Competing interests
The authors declare no competing interests.
Additional information
Publisher's note
Springer Nature remains neutral with regard to jurisdictional claims in published maps and institutional affiliations.
Rights and permissions
Open Access This article is licensed under a Creative Commons Attribution 4.0 International License, which permits use, sharing, adaptation, distribution and reproduction in any medium or format, as long as you give appropriate credit to the original author(s) and the source, provide a link to the Creative Commons licence, and indicate if changes were made. The images or other third party material in this article are included in the article's Creative Commons licence, unless indicated otherwise in a credit line to the material. If material is not included in the article's Creative Commons licence and your intended use is not permitted by statutory regulation or exceeds the permitted use, you will need to obtain permission directly from the copyright holder. To view a copy of this licence, visit http://creativecommons.org/licenses/by/4.0/.
About this article
Cite this article
Elshamly, A.M.S., Nassar, S.M.A. Stimulating growth, root quality, and yield of carrots cultivated under full and limited irrigation levels by humic and potassium applications. Sci Rep 13, 14260 (2023). https://doi.org/10.1038/s41598-023-41488-5
Received:
Accepted:
Published:
Version of record:
DOI: https://doi.org/10.1038/s41598-023-41488-5
This article is cited by
-
Genome-wide association study to dissect the genetic architecture of bolting-related traits in carrot (Daucus carota)
Scientific Reports (2025)
-
Synergistic effect of ammonium and potassium on carrot growth, physio-biochemical mechanisms, and water use efficiency under varying irrigation regimes
Scientific Reports (2025)
-
Fulvic Acid and Potassium Application to Mitigate Drought Effects on Sweet Potato
Journal of Plant Growth Regulation (2025)
-
Precise partial root-zone irrigation technique and potassium-zinc fertigation management improve maize physio-biochemical responses, yield, and water use in arid climate
BMC Plant Biology (2024)
-
Chitosan combined with humic applications during sensitive growth stages to drought improves nutritional status and water relations of sweet potato
Scientific Reports (2024)







