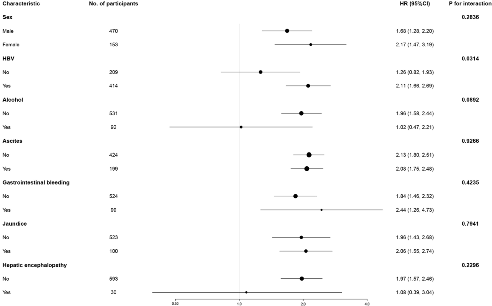
Figure 3
From: Prognostic value of neutrophil count to albumin ratio in patients with decompensated cirrhosis

Effect size of NAR on 90-day mortality in prespecified and exploratory subgroups in Each Subgroup. Adjusted for sex, Hepatic encephalopathy, ascites, jaundice, HBV, alcohol, CRP, PLT, ALT, AST, serum sodium, TB and INR except the subgroup variable. ALT alanine transaminase, AST aspartate aminotransferase, CRP c-reactive protein, HBV hepatitis B virus, INR International normalized ratio, PLT platelets, TB total bilirubin, NAR neutrophil count to albumin ratio.