Abstract
Our study aimed to investigate the prognostic value of neutrophil count to albumin ratio (NAR) in predicting short-term mortality of patients with decompensated cirrhosis (DC). A total of 623 DC patients were recruited from a retrospective observational cohort study. They were admitted to our hospital from January 2014 to December 2015. NAR of each patient was calculated and analyzed for the association with 90-day liver transplantation-free (LT-free) outcome. The performance of NAR and the integrated model were tested by a receiver-operator curve (ROC) and C-index. The 90-day LT-free mortality of patients with DC was 10.6%. NAR was significantly higher in 90-day non-survivors than in survivors (The median: 1.73 vs 0.76, P < 0.001). A threshold of 1.40 of NAR differentiated patients with a high risk of death (27.45%) from those with a low risk (5.11%). By multivariate analysis, high NAR was independently associated with poor short-term prognosis (high group: 5.07 (2.78, 9.22)). NAR alone had an area under the ROC curve of 0.794 and C-index of 0.7789 (0.7287, 0.8291) in predicting 90-day mortality. The integrated MELD–NAR (iMELD) model had a higher area under the ROC (0.872) and C-index (0.8558 (0.8122, 0.8994)) than the original MELD in predicting 90-day mortality. NAR can be used as an independent predictor of poor outcomes for patients with DC during short-term follow-up.
Similar content being viewed by others
Introduction
Liver cirrhosis is one of the major disease burdens worldwide. In the last decade, the natural course of cirrhosis has been further understood and two distinct stages of the disease have been identified: compensated and decompensated cirrhosis (DC)1,2,3,4,5,6. Decompensated cirrhosis, causing about 1 million deaths annually, ranks 14th among the leading causes of death in adults7. It is estimated that 1.5–5% of patients progress from compensated cirrhosis to decompensated cirrhosis annually, with a 5-year mortality of 85% without liver transplantation8. For patients with end-stage liver cirrhosis, liver transplantation (LT) remains the only treatment option9. However, LT was limited due to the lack of liver donors, death on the waiting list and high medical expenses10. Thus, it is of paramount significance to identify DC patients who would benefit from early LT in clinical practice.
The main non-invasive methods used to assess the prognosis of cirrhosis at this stage are the Model for End-Stage Liver Disease (MELD) and Child–Pugh scores. But the application of Child–Pugh score is limited by the fact that the scoring criteria contain some subjective indicators. In contrast, the MELD score is more reproducible and accurate than the Child–Pugh score11. Hence, it is necessary to find and develop simple, reproducible and non-invasive indicators to predict the prognosis of patients with LC.
Systemic inflammation (SI) has been identified as a key pathogenic mechanism exacerbating the short-term prognosis of DC12. A variety of serum-based indicators of SI have been explored to assess the potential prognostic utility in patients with DC. For example, international normalized ratio to albumin ratio13, hemoglobin-to-red cell distribution width ratio14, and C-reactive protein-to-albumin ratio15 were proven to be used for disease severity stratification and prognosis prediction in patients with DC. Neutrophil count to albumin ratio (NAR) has been identified as a novel inflammatory biomarker predicting prognosis in patients with end-stage pancreatic cancer, rectal cancer and COVID-1916,17,18.
However, the influence of NAR on the prognosis of patients with decompensated cirrhosis remains to be established. Therefore, this study aimed to investigate the prognostic value of NAR in predicting short-term mortality of patients with decompensated cirrhosis.
Methods and materials
Data source
We retrospectively investigated data from DC patients aged ≥ 18 years who were admitted to The First Affiliated Hospital, Zhejiang University School of Medicine from January 2014 to December 2015. For patients with recurrent hospitalizations, we only included the first admission.
The exclusion criteria were as follows: (1) age less than 18 or greater than 80 years; (2) hospitalization equal or longer than 2 weeks; (3) all malignancies including hepatocellular carcinoma (HCC); (4) receiving liver transplantation; (5) human immunodeficiency virus (HIV) infection; (6) receiving any type of immunosuppressant medication (including steroids and other immunosuppressive agents) within 1 month prior to admission. Cirrhosis was diagnosed in patients with chronic liver disease who have endoscopic signs of portal hypertension, radiological evidence of liver nodularity, or clinical evidence of previous hepatic decompensation (including hepatic encephalopathy, ascites, and upper gastrointestinal bleeding). Decompensated cirrhosis is defined as the progression of cirrhosis beyond the compensatory capacity of liver function, with symptoms such as portal hypertension, ascites, hepatic encephalopathy, or upper gastrointestinal bleeding. Acute decompensated (AD) was defined by the development of at least one among complications such as ascites, variceal bleeding, hepatic encephalopathy, or non-obstructive jaundice (≥ 5 mg/dL) in the recent 2 weeks19. Written consent for our study was obtained from each participant or their legal representative. The study was conducted in accordance with the Declaration of Helsinki, and approved by the Ethics Committee of the First Affiliated Hospital, School of Medicine, Zhejiang University (2015157). All participants or legal representatives provided written informed consent prior to enrolment in the study.
Patient management
Six hundred and twenty-three patients met the inclusion/exclusion criteria. Management of complications of different etiologies for cirrhosis is in accordance with current international guidelines1,20.
Data collection and follow-up
The following demographic information and laboratory data were collected at the time of admission: age, sex, causes of cirrhosis, acute decompensation, c-reactive protein [CRP], total bilirubin [TB], albumin, white blood cell [WBC], neutrophil, creatinine [Cr], aspartate aminotransferase [AST], alanine aminotransferase [ALT], international normalized ratio [INR], hemoglobin, platelets [PLT] and serum sodium. All patients were followed up for at least 90 days to identify their 90-day survival status, which was verified by medical records, telephone contact, or visiting.
Assessment of NAR
NAR was defined as neutrophil (109/L) divided by albumin (g/dL). Neutrophil was analyzed by the automatic flow cytometer, while albumin level was generated by the biochemical analyzer.
Statistical analysis
All continuous variables were expressed as mean ± SD or median (IQR), and categorical data were calculated as percentages. Differences between variables were weighted using analysis of the Student t-test or Mann–Whitney U-test, respectively. Categorical data were evaluated by the χ2 test or Fisher’s exact test.
Cox proportional hazards models were used to examine the relationship between NAR and 90-day adverse outcomes.
The results were presented as Hazard ratio (HR) with 95% confidence interval (CI). In multivariate analyses, we computed one unadjusted and two adjusted models. The confounders selected in our models were based on their associations with the outcomes of interest or a change in effect estimate of more than 10%. In the model I, we adjusted covariates for sex, jaundice, HBV, ALT and TB. In model II, covariates were adjusted further for sex, Hepatic encephalopathy, ascites, jaundice, HBV, alcohol, CRP, PLT, ALT, AST, serum sodium, TB and INR. We then applied a generalized additive model to estimate the independent relationship between NAR and 90-day mortality, adjusted for potential confounders (Fig. 2). We further applied a two-piece-wise linear regression model to test the threshold effect of NAR on 90-day mortality according to the smoothing plot (Table 4).
In addition, we performed stratification analysis on causes of cirrhosis and decompensation events to confirm whether the effect of NAR differs in each of the subgroups.
Area under the receiver operating characteristic curve (AUROC) was measured to estimate and compare the discrimination abilities of NAR and MELD score. The areas under the curve (AUCs) of the scoring systems were compared using the DeLong test21. The optimal cut-off values for ROC curves were established using the Youden index.
The statistical analyses were carried out using SPSS 26.0, EmpowerStats V.4.1 (http://www.empow-erstats.com/cn/) and R software V.4.2.0 for all statistical analysis. For all statistical analyses, P < 0.05 was considered to indicate statistical significance.
The NAR scores were regrouped into two categories (relatively low risk and high risk) using X-tile software (Version 3.6.1, Yale University, USA) to calculate the optimal cut-off values.
The statistical principle behind X-tile softwared is "enumeration method", that is, statistical test is carried out by grouping different values as cut-off values. The result with the smallest P-value of test result can be regarded as the best cut-off value, that is, the result of learning from data.
Results
Study population
Finally, 623 patients with acute decompensated cirrhosis were enrolled (470 males, age ± SD: 54.6 ± 11.6) (Fig. 1). As shown in Table 1, the etiology of cirrhosis was hepatitis B virus (HBV) in 414 (66.5%), alcohol related in 92 (14.8%), mixed (alcohol plus HBV) in 6 (1.0%), and of other origins in the remaining 117 (18.8%). The decompensation events for hospitalization were ascites in 199 patients (31.9%), jaundice in 100 patients (16.1%), gastrointestinal bleeding in 99 patients (15.9%), infection in 91 patients (14.6%) and hepatic encephalopathy in 30 patients (4.8%).
Flow diagram of the participants enrolled.
A total of 66 patients (10.6%) died within 90 days. Of note, none of the patients received a liver transplant during the entire 90-day follow-up period. The death group had significantly higher incidence of ascites, jaundice, and higher CRP, ALT, AST, TB, INR, WBC, Neutrophil, NAR, Serum sodium and MELD score than the survival group.
Association of NAR with 90-day mortality
The median NAR ratios were 0.76 (0.87) and 1.73 (2.28) for the survival and death groups, respectively (P < 0.001) (Table 1). The X-Tile software was used to classify patients into low-risk (NAR < 1.40) and high-risk (NAR ≥ 1.40) groups with 90-day mortality rates of 5.11% (24/470) and 27.45% (42/153), respectively (Table 2).
Clinical and laboratory findings associated with NAR Levels
The optimal cut-off levels of NAR were 1.40. Baseline demographic and clinical characteristics stratified by NAR are summarized in Table 2. The participants were divided into two groups based on the cutoff value of NAR: a low group (NAR < 1.40) and a high group (NAR ≥ 1.40). Patients with NAR ≥ 1.40 had higher mortality than those with NAR < 1.40. The NAR ≥ 1.40 group had a significantly higher proportion of male, a higher incidence of infection, ascites, jaundice, and higher CRP, ALT, AST, TB, INR, WBC, Neutrophil, NAR, Cr, PLT, and MELD scores, but lower serum sodium and albumin than the NAR < 1.40 group (Table 2).
NAR independently associated with 90-day mortality
As shown in Table 3, multivariate analysis demonstrated that NAR remained an independent factor of the 90-day outcome after adjustment for other confounders. We found that a higher NAR was associated with a higher risk of death for the primary outcome of 90-day mortality. For the sensitivity analysis, we considered the NAR as a categorical variable (binary group) and observed the same trend. The HR (95% CI) values of the high group (NAR ≥ 1.40) were 6.21 (3.76, 10.25) when compared with the reference (NAR < 1.40). After adjusted for sex, HBV, ALT and TB in model I, an increasing trend was still observed, with the adjusted HR (95% CI) values of 4.99 (2.93, 8.53) for 90-day mortality at NAR ≥ 1.40. After adjusted for possible confounding risk factors in model II, the upward trend is still statistically significant. (High group: 5.07 (2.78, 9.22)).
Nonlinear relationship between NAR and 90-day mortality
The smoothing plot showed a clear relationship between NAR and 90-day mortality (Fig. 2). Therefore, a threshold analysis was performed using piecewise linear regression, and the results indicated that 0.93 was the optimal inflection point. After adjusting for potential confounders, the threshold effect of NAR on 90-day mortality was significant. The regression coefficient was 74.06 (95% CI 5.34, 1027.98) for Log RR for 90-day mortality (NAR < 0.93) while 1.61 (95% CI 1.27, 2.05) for Log RR for 90-day mortality (NAR ≥ 0.93) (Table 4).
The correlation between NAR and 90 days of mortality. A nonlinear threshold link between NAR and 90-day mortality was found in the general additive model (GAM). The solid rad line shows the balanced curve between the variables. Blue bands show the 95% confidence interval from the adaptation. All adjusted for sex, Hepatic encephalopathy, ascites, HBV, alcohol, CRP, PLT, ALT, AST, serum sodium, TB and INR.
Subgroup analysis
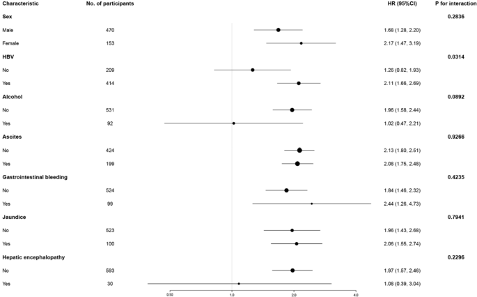
As shown in Fig. 3, a subgroup analysis of patients with decompensated cirrhosis was performed to determine the concordance between NAR and 90-day mortality. The effect of all subgroup factors on 90-day mortality was not significant, except for the etiology “HBV” (P = 0.0314). NAR particularly showed significant interactions in patients with HBV-related decompensated cirrhosis. Patients with HBV had a significant higher 90-day mortality risk (HR (95% CI) 2.11 (1.66, 2.69)) compared to those without (HR (95% CI) 1.26 (0.82, 1.93)).
Effect size of NAR on 90-day mortality in prespecified and exploratory subgroups in Each Subgroup. Adjusted for sex, Hepatic encephalopathy, ascites, jaundice, HBV, alcohol, CRP, PLT, ALT, AST, serum sodium, TB and INR except the subgroup variable. ALT alanine transaminase, AST aspartate aminotransferase, CRP c-reactive protein, HBV hepatitis B virus, INR International normalized ratio, PLT platelets, TB total bilirubin, NAR neutrophil count to albumin ratio.
The utility of NAR in predicting the 90-day outcome of DC
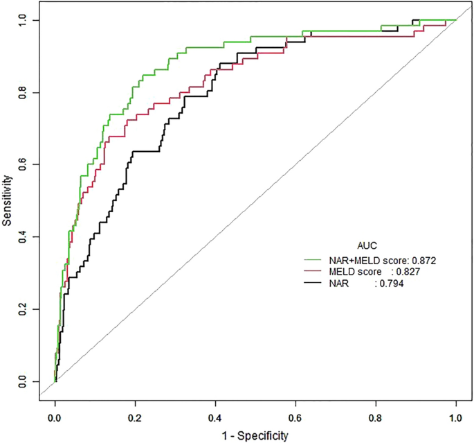
Receiver operating characteristic (ROC) curve analyses were conducted to assess the abilities of NAR and MELD score to predict poor outcomes in DC patients (Fig. 4). The cutoff values were 15.8 for MELD score (sensitivity, 72.3%; specificity, 81.9%) and 0.87 for NAR (sensitivity, 87.7%; specificity, 58.6%). For the prediction of mortality, the AUC of the NAR was 0.794, slightly lower than the AUC value of the MELD score. (0.827; Z = 0.896; P = 0.371). The C statistic for NAR was also lower than the MELD score (0.7789 (0.7287, 0.8291) vs 0.8123 (0.7577, 0.8668)).
The ROC curve for mortality of 90 days of patients with decompensated cirrhosis. AUC area under the curve, NAR neutrophil count to albumin ratio, MELD model for end-stage liver disease, ROC receiver operator characteristic curve.
Addition of NAR improved the prognostic accuracy of MELD score
However, when NAR and MELD score were combined, the AUC increased to 0.872. Similarly, the C statistic increased to 0.8558 (0.8122, 0.8994).
Comparison between NAR and other systemic inflammation-related markers
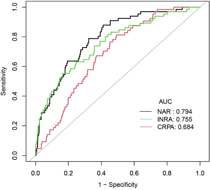
The results of ROC curve analysis (Fig. 5) revealed the area under the curve (AUC) for NAR for predicting mortality to be 0.794, which was superior to both international normalized ratio to albumin ratio (INRA) (0.755) and C-reactive protein-to-albumin ratio (CRPA) (0.684).
The ROC curve for mortality of 90 days of patients with decompensated cirrhosis by NAR and other parameters of systemic inflammation. AUC area under the curve, NAR neutrophil count to albumin ratio, INRA international normalized ratio to albumin ratio, CRPA C-reactive protein-to-albumin ratio, ROC receiver operator characteristic curve.
Discussion
In the present study, we found a substantial positive association between NAR and 90-day mortality in patients with DC. Our study showed that elevated NAR was associated with increased 90-day mortality. Multivariate Cox analysis showed that NAR was an independent risk factor predicting adverse outcomes in these patients. Especially in HBV-associated decompensated cirrhosis patients, the effect was particularly obvious. This finding was consistent with that of Han22 who found that elevated NAR is associated with poor survival in patients with HBV-DC and has potential clinical application22.Recently, the MELD score is the most common scoring system used to classify disease severity and assess prognosis for patients with end-stage liver disease. The MELD score contains three laboratory metrics (total bilirubin, INR and creatinine), which require complex calculations and are not conducive to clinical practice23. Both the MELD score and NAR demonstrated comparable predictive power in our study. Moreover, the combination of NAR and MELD can increase prognostic accuracy to 0.872. Therefore, we hypothesized that the relationship between NAR and short-term mortality in DC patients may not be independent, but combined with MELD score. The reason why NAR combined with MELD score is more accurate than NAR and MELD score alone in predicting 90-day mortality in DC patients may be that NAR is introduced into the inflammatory response index based on MELD score. Inflammatory reaction plays an important role in the occurrence and development of liver cirrhosis and affects the prognosis.
There are several possible reasons why NAR could be a new independent risk factor for predicting 90-day mortality in patients with DC.
First, our study revealed that neutrophils were increased in nonsurvivors compared with survivors. Moreover, the neutrophils in the high NAR group were much higher than that in the low group. A critical lot of research supports the significance of systemic inflammation in the development of cirrhosis. Systemic inflammation is related to the disease progression and patient mortality in liver cirrhosis, accompanied by the transition from compensated to decompensated cirrhosis. Systemic inflammatory response syndrome (SIRS) is an exaggerated defense response of the body to a noxious stressor to localize and then eliminate the endogenous or exogenous source of the insult24,25. Although the pathophysiology of Acute-on-chronic liver failure (ACLF) remains to be studied. Some studies have shown that SIRS may play an important role in the occurrence and development of ACLF26,27,28. Unlike patients with acute decompensation but no organ failure, patients with ACLF have severe systemic inflammation and oxidative stress. Studies of ACLF have shown that systemic inflammation is directly related to the severity of the syndrome; the greater the intensity of systemic inflammation, the greater the number of organ failures, and the higher the short-term mortality rate27. The systemic inflammatory response is often accompanied by excessive release of proinflammatory cytokines. These inflammatory cytokines stimulate and activate neutrophils and promote their phagocytosis and bactericidal efficacy29. In return, neutrophils promote inflammation by secreting a range of cytokines such as IL-1 or IL-8 and by releasing a number of enzymes containing particles such as oxidants, proteases and antimicrobial proteins that mediate liver inflammation, apoptosis and hepatocyte necrosis30. After the onset of an acute infection, neutrophils are the predominant immune cells driving the early inflammatory response, and neutrophil count can be used as a significant indicator of systemic infection. Therefore, neutrophils can be rapidly recruited in the acute inflammatory response and can be used as a marker of tissue inflammation and disease severity30.
In addition, this study also found that in our cohort, although there was no significant difference in serum albumin between 90-day dead patients and surviving patients, after stratifying NAR, it was found that the serum albumin level in the high NAR group was significantly lower than that in the low NAR group. Serum albumin levels represent systemic inflammation because albumin synthesis decreases with the response to the inflammatory cytokine IL-631,32. Some studies revealed that decreased albumin was related to adverse outcomes in acutely ill patients33,34,35. In addition to inflammatory status, serum albumin has been reported to reflect an individual’s nutrition status36,37. Albumin is produced in the liver, and hypoalbuminemia is a common complication in patients with cirrhosis and can lead to ascites or edema, leading to increased mortality38,39. Our findings suggest that the increased NAR is mainly caused by increased neutrophils and decreased albumin. Therefore, in our opinion, the predictive value of NAR for short-term mortality in patients with cirrhosis may be related to inflammatory response and liver insufficiency. From what has been discussed above, we believe that NAR is valuable for predicting the prognosis of patients with DC.
It is worth mentioning that in this study, we found that the high NAR group had significantly higher proportion of male, a higher incidence of infection, ascites, jaundice, and higher CRP, ALT, AST, TB, INR, WBC, Neutrophil, Cr, PLT, and MELD scores, but lower serum sodium than the low NAR group. This suggests that gender may be a factor in prognosis, although there is a bias here, since men make up about three-quarters of our total study population. Second, a higher rate of cirrhosis complications was associated with an increased risk of death, which was also consistent with previous studies. Furthermore, the association of higher NAR with higher short-term mortality may be related to higher levels of inflammation, poorer systemic organ function, poorer homeostasis, and lower liver compensation in patients with high NAR.
In a subgroup analysis, stratification of patients according to potential confounders revealed a statistically significant interaction of the etiologic factor of hepatitis B cirrhosis. Patients with hepatitis B-related cirrhosis may have a higher 90-day mortality rate. This may be due to the large population base of patients with hepatitis B-related cirrhosis in our study cohort, suggesting that the clinical application of NAR may be more valuable in the context of hepatitis B, which is the main cause of cirrhosis in China. However, the true mechanism remains unclear.
One interesting finding was that the risk of death increased rapidly with increasing NAR at NAR < 0.93, while the risk of death increased more slowly at NAR ≥ 0.93. Why this difference occurs is not well understood, and more research may be needed to explore its clinical significance.
It is worth exploring that the AUC of NAR is higher than that of INRA and CRPA, which may be because the difference between follow-up CRP level and initial CRP level better reflects its correlation with short-term mortality40. Similarly, INR is likely to be the same. We estimate that if the follow-up NAR level can be obtained, its prediction accuracy may be further improved.
In this study, we explored for the first time the relationship between NAR and the short-term prognosis of patients with cirrhosis in the decompensated phase. Inevitably, our research had some limitations. First, this is a retrospective cohort study in a single center. Retrospective studies have their own drawbacks and our study is subject to selection bias. Therefore, a further multicenter prospective study is necessary. Second, the actual inflammatory status of a participant may not be measured by the level of NAR alone. Thus, it is advisable to evaluate systemic inflammatory markers or pro-inflammatory cytokines such as tumor necrosis factor-alpha and interleukin 6, which may help elucidate the mechanism of outcome. Third, NAR was only measured at when patients first admitted to our hospital and not serially, this may cause some bias. Therefore, it is not known whether NAR increases progressively as a patient's condition worsens. It is possible that dynamic assessment of NAR levels during hospitalization may reveal different findings. Fourth, unfortunately, our study did not involve data on ACLF and organ failure, which is incomplete to some extent. It is necessary to explore the relevant situation of ACLF subgroups in further in-depth research. Finally, the lack of a validation cohort is one of the limitations of this study. Further validation of the clinical significance of NAR is necessary to determine whether it can be used as a prognostic biomarker in patients with decompensated cirrhosis.
Conclusions
In summary, NAR is associated with mortality in patients with DC. NAR is a potential biomarker for predicting short-term mortality in these people. As a simple and inexpensive measure, the prognostic value of NAR is similar to the MELD score. Our findings may improve the ability to monitor patients with decompensated cirrhosis. However, our findings need to be corroborated by further studies.
Data availability
The original contributions presented in the study are included in the article, further inquiries can be directed to the corresponding authors.
Change history
18 December 2023
A Correction to this paper has been published: https://doi.org/10.1038/s41598-023-49813-8
References
Laleman, W., European Association for the Study of the Liver. EASL clinical practice guidelines for the management of patients with decompensated cirrhosis. J. Hepatol. 69, 406–460. https://doi.org/10.1016/j.jhep.2018.03.024 (2018).
D’Amico, G., Garcia-Tsao, G. & Pagliaro, L. Natural history and prognostic indicators of survival in cirrhosis: A systematic review of 118 studies. J. Hepatol. 44, 217–231 (2006).
D’Amico, G. et al. Competing risks and prognostic stages of cirrhosis: A 25-year inception cohort study of 494 patients. Aliment. Pharmacol. Ther. 39, 1180–1193. https://doi.org/10.1111/apt.12721 (2014).
de Franchis, R. Expanding consensus in portal hypertension: Report of the baveno VI consensus workshop: Stratifying risk and individualizing care for portal hypertension. J. Hepatol. 63, 743–752. https://doi.org/10.1016/j.jhep.2015.05.022 (2015).
Garcia-Tsao, G., Abraldes, J. G., Berzigotti, A. & Bosch, J. Portal hypertensive bleeding in cirrhosis: Risk stratification, diagnosis, and management: 2016 practice guidance by the American association for the study of liver diseases. Hepatology 65, 310–335. https://doi.org/10.1002/hep.28906 (2017).
Zipprich, A. et al. Prognostic indicators of survival in patients with compensated and decompensated cirrhosis. Liver Int. 32, 1407–1414. https://doi.org/10.1111/j.1478-3231.2012.02830.x (2012).
Marcellin, P. & Kutala, B. K. Liver diseases: A major, neglected global public health problem requiring urgent actions and large-scale screening. Liver Int. 38(Suppl 1), 2–6. https://doi.org/10.1111/liv.13682 (2018).
Wang, S.-B., Wang, J.-H., Chen, J., Giri, R. K. & Chen, M.-H. Natural history of liver cirrhosis in south China based on a large cohort study in one center: A follow-up study for up to 5 years in 920 patients. Chin. Med. J. (Engl.) 125, 2157–2162 (2012).
Qiu, R., Murata, S., Oshiro, K., Hatada, Y. & Taniguchi, H. Transplantation of fetal liver tissue coated by ultra-purified alginate gel over liver improves hepatic function in the cirrhosis rat model. Sci. Rep. 10, 8231. https://doi.org/10.1038/s41598-020-65069-y (2020).
Hou, Y. et al. Artificial neural network-based models used for predicting 28- and 90-day mortality of patients with hepatitis B-associated acute-on-chronic liver failure. BMC Gastroenterol. 20, 75. https://doi.org/10.1186/s12876-020-01191-5 (2020).
Peng, Y., Qi, X. & Guo, X. Child–Pugh versus MELD score for the assessment of prognosis in liver cirrhosis: A systematic review and Meta-analysis of observational studies. Medicine (Baltimore) 95, e2877. https://doi.org/10.1097/MD.0000000000002877 (2016).
Cazzaniga, M. et al. The systemic inflammatory response syndrome in cirrhotic patients: Relationship with their in-hospital outcome. J. Hepatol. 51, 475–482. https://doi.org/10.1016/j.jhep.2009.04.017 (2009).
Cai, M., Han, Z., He, X. & Zhang, J. Usefulness of international normalized ratio to albumin ratio for evaluation of mortality in hepatitis B virus-associated decompensated cirrhosis. Biomed. Res. Int. 2021, 6664574. https://doi.org/10.1155/2021/6664574 (2021).
Yu, Z., Zhang, T. & Shen, J. Low hemoglobin-to-red cell distribution width ratio is associated with mortality in patients with HBV-related decompensated cirrhosis. Biomed. Res. Int. 2022, 5754790. https://doi.org/10.1155/2022/5754790 (2022).
Huang, S. S. et al. C-reactive protein-to-albumin ratio is a predictor of hepatitis B virus related decompensated cirrhosis: Time-dependent receiver operating characteristics and decision curve analysis. Eur. J. Gastroenterol. Hepatol. 29, 472–480. https://doi.org/10.1097/MEG.0000000000000807 (2017).
Tawfik, B., Mokdad, A. A., Patel, P. M., Li, H. C. & Huerta, S. The neutrophil to albumin ratio as a predictor of pathological complete response in rectal cancer patients following neoadjuvant chemoradiation. Anticancer Drugs 27, 879–883. https://doi.org/10.1097/CAD.0000000000000411 (2016).
Tingle, S. J., Severs, G. R., Goodfellow, M., Moir, J. A. & White, S. A. NARCA: A novel prognostic scoring system using neutrophil-albumin ratio and Ca19-9 to predict overall survival in palliative pancreatic cancer. J. Surg. Oncol. 118, 680–686. https://doi.org/10.1002/jso.25209 (2018).
Varim, C. et al. Neutrophil count to albumin ratio as a new predictor of mortality in patients with COVID-19 ınfection. Rev. Assoc. Med. Bras. 66Suppl2, 77–81. https://doi.org/10.1590/1806-9282.66.S2.77 (2020).
Ginès, P. et al. Liver cirrhosis. The Lancet 398, 1359–1376. https://doi.org/10.1016/s0140-6736(21)01374-x (2021).
Ge, P. S. & Runyon, B. A. Treatment of patients with cirrhosis. N. Engl. J. Med. 375, 767–777. https://doi.org/10.1056/NEJMra1504367 (2016).
DeLong, E. R., DeLong, D. M. & Clarke-Pearson, D. L. Comparing the areas under two or more correlated receiver operating characteristic curves: A nonparametric approach. Biometrics 44, 837–845 (1988).
Han, Z., He, X. & Peng, S. Neutrophil count to albumin ratio as a prognostic indicator for HBV-associated decompensated cirrhosis. J. Clin. Lab. Anal. 35, e23730. https://doi.org/10.1002/jcla.23730 (2021).
Freeman, R. B. et al. The new liver allocation system: Moving toward evidence-based transplantation policy. Liver Transpl. 8, 851–858 (2002).
Giron-Gonzalez, J. A. et al. Implication of inflammation-related cytokines in the natural history of liver cirrhosis. Liver Int. 24, 437–445. https://doi.org/10.1111/j.1478-3231.2004.0951.x (2004).
Mahassadi, A. K. et al. Systemic inflammatory response syndrome and model for end-stage liver disease score accurately predict the in-hospital mortality of black African patients with decompensated cirrhosis at initial hospitalization: A retrospective cohort study. Clin. Exp. Gastroenterol. 11, 143–152. https://doi.org/10.2147/CEG.S140655 (2018).
Bernsmeier, C. et al. Patients with acute-on-chronic liver failure have increased numbers of regulatory immune cells expressing the receptor tyrosine kinase MERTK. Gastroenterology 148, 603-615.e614. https://doi.org/10.1053/j.gastro.2014.11.045 (2015).
Clària, J. et al. Systemic inflammation in decompensated cirrhosis: Characterization and role in acute-on-chronic liver failure. Hepatology 64, 1249–1264. https://doi.org/10.1002/hep.28740 (2016).
Fernández, J. et al. Bacterial and fungal infections in acute-on-chronic liver failure: Prevalence, characteristics and impact on prognosis. Gut 67, 1870–1880. https://doi.org/10.1136/gutjnl-2017-314240 (2018).
Balkwill, F. & Mantovani, A. Inflammation and cancer: Back to Virchow?. Lancet 357, 539–545 (2001).
Kolaczkowska, E. & Kubes, P. Neutrophil recruitment and function in health and inflammation. Nat. Rev. Immunol. 13, 159–175. https://doi.org/10.1038/nri3399 (2013).
Moshage, H. J., Janssen, J. A., Franssen, J. H., Hafkenscheid, J. C. & Yap, S. H. Study of the molecular mechanism of decreased liver synthesis of albumin in inflammation. J. Clin. Invest. 79, 1635–1641 (1987).
McMillan, D. C. The systemic inflammation-based Glasgow prognostic score: A decade of experience in patients with cancer. Cancer Treat. Rev. 39, 534–540. https://doi.org/10.1016/j.ctrv.2012.08.003 (2013).
Akirov, A., Masri-Iraqi, H., Atamna, A. & Shimon, I. Low albumin levels are associated with mortality risk in hospitalized patients. Am. J. Med. 130(1465), e1411-1465.e1419. https://doi.org/10.1016/j.amjmed.2017.07.020 (2017).
Mani Mishra, P., Uversky, V. N. & Nandi, C. K. Serum albumin-mediated strategy for the effective targeting of SARS-CoV-2. Med. Hypotheses 140, 109790. https://doi.org/10.1016/j.mehy.2020.109790 (2020).
Koh, Y. W. & Lee, H. W. Prognostic impact of C-reactive protein/albumin ratio on the overall survival of patients with advanced nonsmall cell lung cancers receiving palliative chemotherapy. Medicine (Baltimore) 96, e6848. https://doi.org/10.1097/MD.0000000000006848 (2017).
Fuhrman, M. P., Charney, P. & Mueller, C. M. Hepatic proteins and nutrition assessment. J. Am. Diet. Assoc. 104, 1258–1264 (2004).
Yoshida, R. et al. Onodera’s prognostic nutritional index correlates with tumor immune environment and survival in patients with oral squamous cell carcinoma undergoing chemoradiotherapy. Transl. Oncol. 13, 100850. https://doi.org/10.1016/j.tranon.2020.100850 (2020).
Bernardi, M., Ricci, C. S. & Zaccherini, G. Role of human albumin in the management of complications of liver cirrhosis. J. Clin. Exp. Hepatol. 4, 302–311. https://doi.org/10.1016/j.jceh.2014.08.007 (2014).
Romanelli, R.-G. et al. Long-term albumin infusion improves survival in patients with cirrhosis and ascites: An unblinded randomized trial. World J. Gastroenterol. 12, 1403–1407 (2006).
Ha, Y. E. et al. Usefulness of C-reactive protein for evaluating clinical outcomes in cirrhotic patients with bacteremia. Korean J. Intern. Med. 26, 195–200. https://doi.org/10.3904/kjim.2011.26.2.195 (2011).
Funding
This research was funded by Fundamental Research Funds for the Central Universities (No.226-2023-00127, 2021FZZX001-41), the National Key Research and Development Program of China (No. 2021YFC2301800 and 2022YFC2304501) and Medical Health Science and Technology Project of Zhejiang Provincial Health Commission (No. 2022490480).
Author information
Authors and Affiliations
Contributions
J.Y., X.Y., Y.S., and J.S. designed the research study. J.Y., X.X., X.Y., K.G., H.T., Y.L., S.Y., and H.W. performed the study and collected the data. JY analyzed the data and wrote the manuscript. Z.X. was a great help in the revision of the manuscript. All authors have read and approved the final manuscript.
Corresponding author
Ethics declarations
Competing interests
The authors declare no competing interests.
Additional information
Publisher's note
Springer Nature remains neutral with regard to jurisdictional claims in published maps and institutional affiliations.
The original online version of this Article was revised: The Funding section in the original version of this Article was omitted. Full information regarding the correction made can be found in the correction for this Article.
Rights and permissions
Open Access This article is licensed under a Creative Commons Attribution 4.0 International License, which permits use, sharing, adaptation, distribution and reproduction in any medium or format, as long as you give appropriate credit to the original author(s) and the source, provide a link to the Creative Commons licence, and indicate if changes were made. The images or other third party material in this article are included in the article's Creative Commons licence, unless indicated otherwise in a credit line to the material. If material is not included in the article's Creative Commons licence and your intended use is not permitted by statutory regulation or exceeds the permitted use, you will need to obtain permission directly from the copyright holder. To view a copy of this licence, visit http://creativecommons.org/licenses/by/4.0/.
About this article
Cite this article
Yao, J., Xu, X., Gong, K. et al. Prognostic value of neutrophil count to albumin ratio in patients with decompensated cirrhosis. Sci Rep 13, 20759 (2023). https://doi.org/10.1038/s41598-023-44842-9
Received:
Accepted:
Published:
Version of record:
DOI: https://doi.org/10.1038/s41598-023-44842-9
This article is cited by
-
Nutritional-inflammatory balance assessed by advanced lung cancer inflammation index and its association with all-cause mortality in coronary heart disease : a retrospective cohort study
Journal of Health, Population and Nutrition (2025)
-
Association between neutrophil-albumin ratio and ultrasound-defined metabolic dysfunction-associated fatty liver disease in U.S. adults: evidence from NHANES 2017–2018
BMC Gastroenterology (2025)
-
Neutrophil-albumin ratio serves as a superior prognostic biomarker for traumatic brain injury
Scientific Reports (2024)







